口腔肺动脉高压靶向治疗间质性肺疾病肺动脉高压。

IF 2 Q2 MEDICINE, GENERAL & INTERNAL
Journal of clinical medicine research Pub Date : 2025-03-01 Epub Date: 2025-03-10 DOI:10.14740/jocmr6164
Kavitha C Selvan, Krittika Teerapuncharoen, Remzi Bag
{"title":"口腔肺动脉高压靶向治疗间质性肺疾病肺动脉高压。","authors":"Kavitha C Selvan, Krittika Teerapuncharoen, Remzi Bag","doi":"10.14740/jocmr6164","DOIUrl":null,"url":null,"abstract":"<p><strong>Background: </strong>The aim of the study was to determine whether treatment with oral pulmonary arterial hypertension (PAH)-targeted therapy is associated with functional or hemodynamic improvement in patients with pulmonary hypertension due to interstitial lung disease (PH-ILD).</p><p><strong>Methods: </strong>We conducted a retrospective review of 1,507 consented patients with pulmonary hypertension (PH) from the University of Chicago PH Registry. Exclusion criteria included: enrollment in PH-related clinical trials, use of inhaled treprostinil or iloprost and prior PAH-targeted therapy initiated before consenting to registry enrollment, thus precluding baseline data. Data analyzed included demographics, interstitial lung disease (ILD) classification, PAH-targeted therapy, functional data, hemodynamics, and N-terminal pro-B-type natriuretic peptide (NT-proBNP) before and after initiation of treatment. Data were analyzed using paired <i>t</i>-test, or related-samples Wilcoxon signed rank test.</p><p><strong>Results: </strong>Of 37 patients included, 27 (73%) received treatment with one PAH-targeted therapy and nine (24%) received dual therapy. At baseline, median NT-proBNP was 1,498 ng/dL (675 - 3,208), mean pulmonary artery pressure (mPAP) was 45 ± 11 mm Hg, and pulmonary vascular resistance (PVR) of 9 ± 4 Wood units (WU). In patients with measurements both before and after treatment with PAH-targeted therapy, there was a decrease in PVR (n = 13, 8 vs. 5 WU, P < 0.001), an increase in cardiac output (n = 13, 4 vs. 5 L/min, P = 0.014), and a decrease in NT-proBNP levels (n = 26, 1,421 vs. 842 ng/dL, P = 0.045).</p><p><strong>Conclusions: </strong>In this study, use of PAH-targeted therapy in patients with PH-ILD was associated with statistically significant and clinically meaningful improvements in NT-proBNP and pulmonary hemodynamics.</p>","PeriodicalId":94329,"journal":{"name":"Journal of clinical medicine research","volume":"17 3","pages":"153-163"},"PeriodicalIF":2.0000,"publicationDate":"2025-03-01","publicationTypes":"Journal Article","fieldsOfStudy":null,"isOpenAccess":false,"openAccessPdf":"https://www.ncbi.nlm.nih.gov/pmc/articles/PMC11922630/pdf/","citationCount":"0","resultStr":"{\"title\":\"Oral Pulmonary Arterial Hypertension-Targeted Therapy in Patients With Pulmonary Hypertension due to Interstitial Lung Disease.\",\"authors\":\"Kavitha C Selvan, Krittika Teerapuncharoen, Remzi Bag\",\"doi\":\"10.14740/jocmr6164\",\"DOIUrl\":null,\"url\":null,\"abstract\":\"<p><strong>Background: </strong>The aim of the study was to determine whether treatment with oral pulmonary arterial hypertension (PAH)-targeted therapy is associated with functional or hemodynamic improvement in patients with pulmonary hypertension due to interstitial lung disease (PH-ILD).</p><p><strong>Methods: </strong>We conducted a retrospective review of 1,507 consented patients with pulmonary hypertension (PH) from the University of Chicago PH Registry. Exclusion criteria included: enrollment in PH-related clinical trials, use of inhaled treprostinil or iloprost and prior PAH-targeted therapy initiated before consenting to registry enrollment, thus precluding baseline data. Data analyzed included demographics, interstitial lung disease (ILD) classification, PAH-targeted therapy, functional data, hemodynamics, and N-terminal pro-B-type natriuretic peptide (NT-proBNP) before and after initiation of treatment. Data were analyzed using paired <i>t</i>-test, or related-samples Wilcoxon signed rank test.</p><p><strong>Results: </strong>Of 37 patients included, 27 (73%) received treatment with one PAH-targeted therapy and nine (24%) received dual therapy. At baseline, median NT-proBNP was 1,498 ng/dL (675 - 3,208), mean pulmonary artery pressure (mPAP) was 45 ± 11 mm Hg, and pulmonary vascular resistance (PVR) of 9 ± 4 Wood units (WU). In patients with measurements both before and after treatment with PAH-targeted therapy, there was a decrease in PVR (n = 13, 8 vs. 5 WU, P < 0.001), an increase in cardiac output (n = 13, 4 vs. 5 L/min, P = 0.014), and a decrease in NT-proBNP levels (n = 26, 1,421 vs. 842 ng/dL, P = 0.045).</p><p><strong>Conclusions: </strong>In this study, use of PAH-targeted therapy in patients with PH-ILD was associated with statistically significant and clinically meaningful improvements in NT-proBNP and pulmonary hemodynamics.</p>\",\"PeriodicalId\":94329,\"journal\":{\"name\":\"Journal of clinical medicine research\",\"volume\":\"17 3\",\"pages\":\"153-163\"},\"PeriodicalIF\":2.0000,\"publicationDate\":\"2025-03-01\",\"publicationTypes\":\"Journal Article\",\"fieldsOfStudy\":null,\"isOpenAccess\":false,\"openAccessPdf\":\"https://www.ncbi.nlm.nih.gov/pmc/articles/PMC11922630/pdf/\",\"citationCount\":\"0\",\"resultStr\":null,\"platform\":\"Semanticscholar\",\"paperid\":null,\"PeriodicalName\":\"Journal of clinical medicine research\",\"FirstCategoryId\":\"1085\",\"ListUrlMain\":\"https://doi.org/10.14740/jocmr6164\",\"RegionNum\":0,\"RegionCategory\":null,\"ArticlePicture\":[],\"TitleCN\":null,\"AbstractTextCN\":null,\"PMCID\":null,\"EPubDate\":\"2025/3/10 0:00:00\",\"PubModel\":\"Epub\",\"JCR\":\"Q2\",\"JCRName\":\"MEDICINE, GENERAL & INTERNAL\",\"Score\":null,\"Total\":0}","platform":"Semanticscholar","paperid":null,"PeriodicalName":"Journal of clinical medicine research","FirstCategoryId":"1085","ListUrlMain":"https://doi.org/10.14740/jocmr6164","RegionNum":0,"RegionCategory":null,"ArticlePicture":[],"TitleCN":null,"AbstractTextCN":null,"PMCID":null,"EPubDate":"2025/3/10 0:00:00","PubModel":"Epub","JCR":"Q2","JCRName":"MEDICINE, GENERAL & INTERNAL","Score":null,"Total":0}
引用次数: 0

摘要

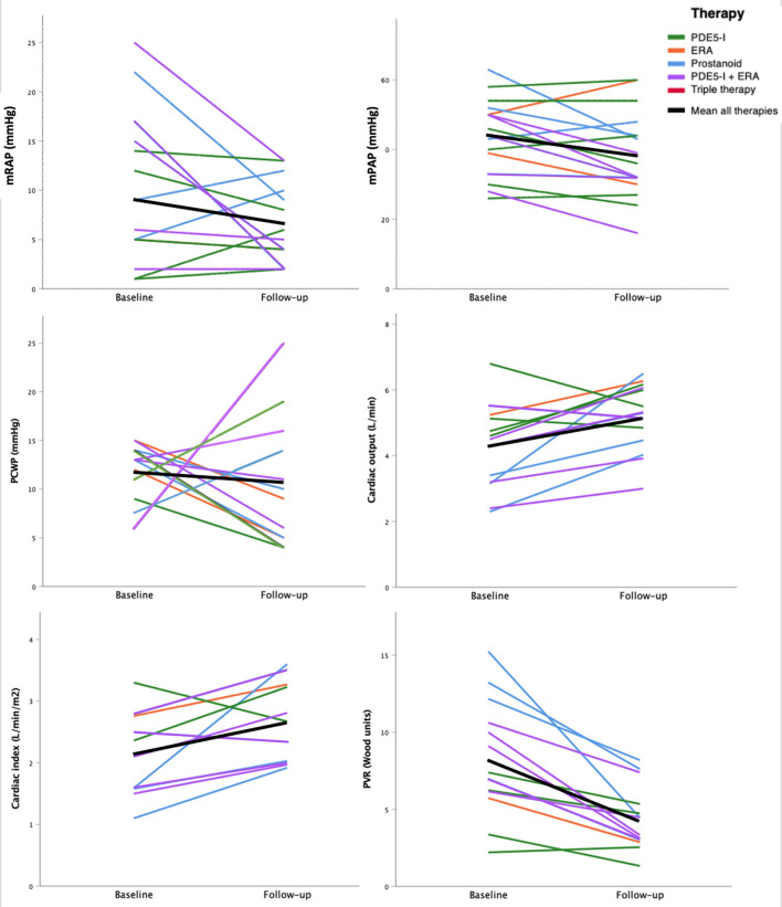
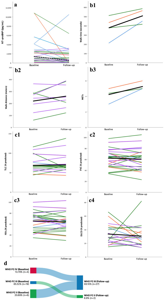
背景:本研究的目的是确定口服肺动脉高压(PAH)靶向治疗是否与间质性肺疾病(PH-ILD)所致肺动脉高压患者的功能或血流动力学改善有关。方法:我们对来自芝加哥大学肺动脉高压注册中心的1507例经同意的肺动脉高压(PH)患者进行了回顾性研究。排除标准包括:参加ph相关临床试验,使用吸入曲前列尼或伊洛前列素,以及在同意登记入组前已开始针对多环芳烃的治疗,因此排除基线数据。数据分析包括治疗前后的人口统计学、间质性肺疾病(ILD)分类、pah靶向治疗、功能数据、血流动力学和n端前b型利钠肽(NT-proBNP)。数据分析采用配对t检验或相关样本Wilcoxon符号秩检验。结果:纳入的37例患者中,27例(73%)接受了一次pah靶向治疗,9例(24%)接受了双重治疗。基线时,NT-proBNP中位数为1498 ng/dL(675 - 3,208),平均肺动脉压(mPAP)为45±11 mm Hg,肺血管阻力(PVR)为9±4 Wood units (WU)。在接受pah靶向治疗前后进行测量的患者中,PVR降低(n = 13,8 vs. 5 WU, P < 0.001),心输出量增加(n = 13,4 vs. 5 L/min, P = 0.014), NT-proBNP水平降低(n = 26,1,421 vs. 842 ng/dL, P = 0.045)。结论:在本研究中,在PH-ILD患者中使用pah靶向治疗与NT-proBNP和肺血流动力学的改善具有统计学意义和临床意义相关。
本文章由计算机程序翻译,如有差异,请以英文原文为准。

Oral Pulmonary Arterial Hypertension-Targeted Therapy in Patients With Pulmonary Hypertension due to Interstitial Lung Disease.

Oral Pulmonary Arterial Hypertension-Targeted Therapy in Patients With Pulmonary Hypertension due to Interstitial Lung Disease.

Oral Pulmonary Arterial Hypertension-Targeted Therapy in Patients With Pulmonary Hypertension due to Interstitial Lung Disease.

Oral Pulmonary Arterial Hypertension-Targeted Therapy in Patients With Pulmonary Hypertension due to Interstitial Lung Disease.

Background: The aim of the study was to determine whether treatment with oral pulmonary arterial hypertension (PAH)-targeted therapy is associated with functional or hemodynamic improvement in patients with pulmonary hypertension due to interstitial lung disease (PH-ILD).

Methods: We conducted a retrospective review of 1,507 consented patients with pulmonary hypertension (PH) from the University of Chicago PH Registry. Exclusion criteria included: enrollment in PH-related clinical trials, use of inhaled treprostinil or iloprost and prior PAH-targeted therapy initiated before consenting to registry enrollment, thus precluding baseline data. Data analyzed included demographics, interstitial lung disease (ILD) classification, PAH-targeted therapy, functional data, hemodynamics, and N-terminal pro-B-type natriuretic peptide (NT-proBNP) before and after initiation of treatment. Data were analyzed using paired t-test, or related-samples Wilcoxon signed rank test.

Results: Of 37 patients included, 27 (73%) received treatment with one PAH-targeted therapy and nine (24%) received dual therapy. At baseline, median NT-proBNP was 1,498 ng/dL (675 - 3,208), mean pulmonary artery pressure (mPAP) was 45 ± 11 mm Hg, and pulmonary vascular resistance (PVR) of 9 ± 4 Wood units (WU). In patients with measurements both before and after treatment with PAH-targeted therapy, there was a decrease in PVR (n = 13, 8 vs. 5 WU, P < 0.001), an increase in cardiac output (n = 13, 4 vs. 5 L/min, P = 0.014), and a decrease in NT-proBNP levels (n = 26, 1,421 vs. 842 ng/dL, P = 0.045).

Conclusions: In this study, use of PAH-targeted therapy in patients with PH-ILD was associated with statistically significant and clinically meaningful improvements in NT-proBNP and pulmonary hemodynamics.

求助全文
通过发布文献求助,成功后即可免费获取论文全文。 去求助
来源期刊
CiteScore
5.10
自引率
0.00%
发文量
0
×
引用
GB/T 7714-2015
复制
MLA
复制
APA
复制
导出至
BibTeX EndNote RefMan NoteFirst NoteExpress
×
提示
您的信息不完整,为了账户安全,请先补充。
现在去补充
×
提示
您因"违规操作"
具体请查看互助需知
我知道了
×
提示
确定
请完成安全验证×
copy
已复制链接
快去分享给好友吧!
我知道了
右上角分享
点击右上角分享
0
联系我们:info@booksci.cn Book学术提供免费学术资源搜索服务,方便国内外学者检索中英文文献。致力于提供最便捷和优质的服务体验。 Copyright © 2023 布克学术 All rights reserved.
京ICP备2023020795号-1
ghs 京公网安备 11010802042870号
Book学术文献互助
Book学术文献互助群
群 号:604180095
Book学术官方微信