宫颈内膜刮除阳性的危险因素及基于原发性人乳头瘤病毒筛查的预测模型构建。

IF 2.8 4区 医学 Q3 ONCOLOGY
Technology in Cancer Research & Treatment Pub Date : 2025-01-01 Epub Date: 2025-03-20 DOI:10.1177/15330338241312573
Hangjing Gao, Guanxiang Huang, Binhua Dong, Ye Li, Hongning Cai, Xianqian Chen, Tingting Jiang, Kelvin Stefan Osafo, Dabin Liu, Jiancui Chen, Huihua Ge, Diling Pan, Huifeng Xue, Pengming Sun
{"title":"宫颈内膜刮除阳性的危险因素及基于原发性人乳头瘤病毒筛查的预测模型构建。","authors":"Hangjing Gao, Guanxiang Huang, Binhua Dong, Ye Li, Hongning Cai, Xianqian Chen, Tingting Jiang, Kelvin Stefan Osafo, Dabin Liu, Jiancui Chen, Huihua Ge, Diling Pan, Huifeng Xue, Pengming Sun","doi":"10.1177/15330338241312573","DOIUrl":null,"url":null,"abstract":"<p><p>IntroductionThe utility and application of endocervical curettage (ECC) during colposcopy remain controversial. This study optimized ECC application for primary human papillomavirus (HPV) screening in patients with high-risk (HR)-HPV.MethodsThis retrospective study included patients with HR-HPV, who underwent subsequent cervical biopsy and ECC from January 1, 2014, to December 31, 2020. Logistic regression was used to calculate the odds ratios (ORs) and 95% confidence intervals (CIs). The prediction model was presented as a nomogram and evaluated for discrimination and calibration.ResultsThe additional detection rate of cervical intraepithelial neoplasia 2 + lesions with ECC was 2.0% (77/3887) in patients with HR-HPV. In multivariate risk factor analysis, HPV 16 infection presented a high risk of positive ECC, followed by HPV 33, HPV 58, and HPV 31. Irrespective of the abnormal cytopathological results, positive ECC was significantly increased (all <i>P</i> < .001). Females with acetowhite changes on colposcopy, transformation zone (TZ) type II, TZ type III, colposcopic impression of high-grade squamous intraepithelial lesion, or cancer were at a high risk of positive ECC. The final prediction model included significant variables from risk factor analysis, and had excellent calibration and classification capabilities, with an area under the receiver operating curve of 0.902 (95% CI, 0.881-0.922). Additionally, calibration analysis suggested consistency.ConclusionAs the additional detection value of ECC is limited. A satisfactory prediction model was designed to optimize ECC application in patients with HR-HPV infection.</p>","PeriodicalId":22203,"journal":{"name":"Technology in Cancer Research & Treatment","volume":"24 ","pages":"15330338241312573"},"PeriodicalIF":2.8000,"publicationDate":"2025-01-01","publicationTypes":"Journal Article","fieldsOfStudy":null,"isOpenAccess":false,"openAccessPdf":"https://www.ncbi.nlm.nih.gov/pmc/articles/PMC11926840/pdf/","citationCount":"0","resultStr":"{\"title\":\"Risk Factors of Positive Endocervical Curettage and Predictive Model Construction Based on Primary Human Papillomavirus Screening.\",\"authors\":\"Hangjing Gao, Guanxiang Huang, Binhua Dong, Ye Li, Hongning Cai, Xianqian Chen, Tingting Jiang, Kelvin Stefan Osafo, Dabin Liu, Jiancui Chen, Huihua Ge, Diling Pan, Huifeng Xue, Pengming Sun\",\"doi\":\"10.1177/15330338241312573\",\"DOIUrl\":null,\"url\":null,\"abstract\":\"<p><p>IntroductionThe utility and application of endocervical curettage (ECC) during colposcopy remain controversial. This study optimized ECC application for primary human papillomavirus (HPV) screening in patients with high-risk (HR)-HPV.MethodsThis retrospective study included patients with HR-HPV, who underwent subsequent cervical biopsy and ECC from January 1, 2014, to December 31, 2020. Logistic regression was used to calculate the odds ratios (ORs) and 95% confidence intervals (CIs). The prediction model was presented as a nomogram and evaluated for discrimination and calibration.ResultsThe additional detection rate of cervical intraepithelial neoplasia 2 + lesions with ECC was 2.0% (77/3887) in patients with HR-HPV. In multivariate risk factor analysis, HPV 16 infection presented a high risk of positive ECC, followed by HPV 33, HPV 58, and HPV 31. Irrespective of the abnormal cytopathological results, positive ECC was significantly increased (all <i>P</i> < .001). Females with acetowhite changes on colposcopy, transformation zone (TZ) type II, TZ type III, colposcopic impression of high-grade squamous intraepithelial lesion, or cancer were at a high risk of positive ECC. The final prediction model included significant variables from risk factor analysis, and had excellent calibration and classification capabilities, with an area under the receiver operating curve of 0.902 (95% CI, 0.881-0.922). Additionally, calibration analysis suggested consistency.ConclusionAs the additional detection value of ECC is limited. A satisfactory prediction model was designed to optimize ECC application in patients with HR-HPV infection.</p>\",\"PeriodicalId\":22203,\"journal\":{\"name\":\"Technology in Cancer Research & Treatment\",\"volume\":\"24 \",\"pages\":\"15330338241312573\"},\"PeriodicalIF\":2.8000,\"publicationDate\":\"2025-01-01\",\"publicationTypes\":\"Journal Article\",\"fieldsOfStudy\":null,\"isOpenAccess\":false,\"openAccessPdf\":\"https://www.ncbi.nlm.nih.gov/pmc/articles/PMC11926840/pdf/\",\"citationCount\":\"0\",\"resultStr\":null,\"platform\":\"Semanticscholar\",\"paperid\":null,\"PeriodicalName\":\"Technology in Cancer Research & Treatment\",\"FirstCategoryId\":\"3\",\"ListUrlMain\":\"https://doi.org/10.1177/15330338241312573\",\"RegionNum\":4,\"RegionCategory\":\"医学\",\"ArticlePicture\":[],\"TitleCN\":null,\"AbstractTextCN\":null,\"PMCID\":null,\"EPubDate\":\"2025/3/20 0:00:00\",\"PubModel\":\"Epub\",\"JCR\":\"Q3\",\"JCRName\":\"ONCOLOGY\",\"Score\":null,\"Total\":0}","platform":"Semanticscholar","paperid":null,"PeriodicalName":"Technology in Cancer Research & Treatment","FirstCategoryId":"3","ListUrlMain":"https://doi.org/10.1177/15330338241312573","RegionNum":4,"RegionCategory":"医学","ArticlePicture":[],"TitleCN":null,"AbstractTextCN":null,"PMCID":null,"EPubDate":"2025/3/20 0:00:00","PubModel":"Epub","JCR":"Q3","JCRName":"ONCOLOGY","Score":null,"Total":0}
引用次数: 0

摘要

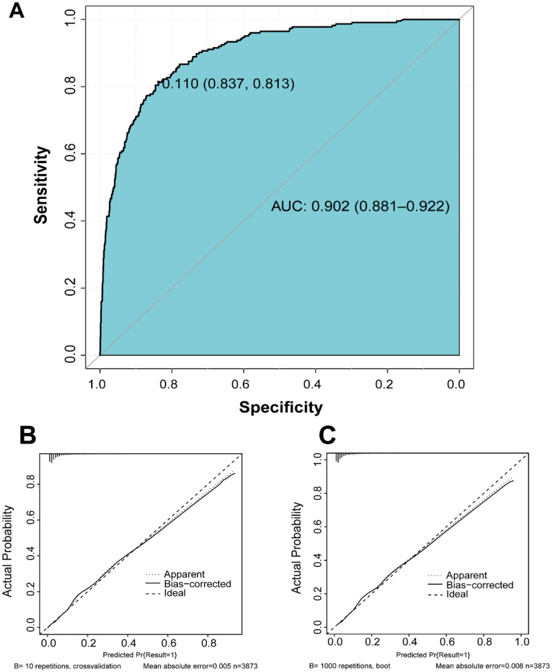
阴道镜检查中宫颈内膜刮除术(ECC)的实用性和应用仍存在争议。本研究优化了ECC在高危型人乳头瘤病毒(HR)-HPV患者原发性人乳头瘤病毒(HPV)筛查中的应用。方法回顾性研究纳入2014年1月1日至2020年12月31日期间接受宫颈活检和ECC的HR-HPV患者。采用Logistic回归计算优势比(ORs)和95%置信区间(ci)。预测模型以模态图的形式呈现,并进行了判别和校准评估。结果HR-HPV患者宫颈上皮内瘤变2 +病变伴ECC的附加检出率为2.0%(77/3887)。在多因素分析中,HPV 16感染出现ECC阳性的风险最高,其次是HPV 33、HPV 58和HPV 31。无论异常的细胞病理学结果如何,阳性ECC均显著增加(P
本文章由计算机程序翻译,如有差异,请以英文原文为准。

Risk Factors of Positive Endocervical Curettage and Predictive Model Construction Based on Primary Human Papillomavirus Screening.

Risk Factors of Positive Endocervical Curettage and Predictive Model Construction Based on Primary Human Papillomavirus Screening.

Risk Factors of Positive Endocervical Curettage and Predictive Model Construction Based on Primary Human Papillomavirus Screening.

Risk Factors of Positive Endocervical Curettage and Predictive Model Construction Based on Primary Human Papillomavirus Screening.

IntroductionThe utility and application of endocervical curettage (ECC) during colposcopy remain controversial. This study optimized ECC application for primary human papillomavirus (HPV) screening in patients with high-risk (HR)-HPV.MethodsThis retrospective study included patients with HR-HPV, who underwent subsequent cervical biopsy and ECC from January 1, 2014, to December 31, 2020. Logistic regression was used to calculate the odds ratios (ORs) and 95% confidence intervals (CIs). The prediction model was presented as a nomogram and evaluated for discrimination and calibration.ResultsThe additional detection rate of cervical intraepithelial neoplasia 2 + lesions with ECC was 2.0% (77/3887) in patients with HR-HPV. In multivariate risk factor analysis, HPV 16 infection presented a high risk of positive ECC, followed by HPV 33, HPV 58, and HPV 31. Irrespective of the abnormal cytopathological results, positive ECC was significantly increased (all P < .001). Females with acetowhite changes on colposcopy, transformation zone (TZ) type II, TZ type III, colposcopic impression of high-grade squamous intraepithelial lesion, or cancer were at a high risk of positive ECC. The final prediction model included significant variables from risk factor analysis, and had excellent calibration and classification capabilities, with an area under the receiver operating curve of 0.902 (95% CI, 0.881-0.922). Additionally, calibration analysis suggested consistency.ConclusionAs the additional detection value of ECC is limited. A satisfactory prediction model was designed to optimize ECC application in patients with HR-HPV infection.

求助全文
通过发布文献求助,成功后即可免费获取论文全文。 去求助
来源期刊
CiteScore
4.40
自引率
0.00%
发文量
202
审稿时长
2 months
期刊介绍: Technology in Cancer Research & Treatment (TCRT) is a JCR-ranked, broad-spectrum, open access, peer-reviewed publication whose aim is to provide researchers and clinicians with a platform to share and discuss developments in the prevention, diagnosis, treatment, and monitoring of cancer.
×
引用
GB/T 7714-2015
复制
MLA
复制
APA
复制
导出至
BibTeX EndNote RefMan NoteFirst NoteExpress
×
提示
您的信息不完整,为了账户安全,请先补充。
现在去补充
×
提示
您因"违规操作"
具体请查看互助需知
我知道了
×
提示
确定
请完成安全验证×
copy
已复制链接
快去分享给好友吧!
我知道了
右上角分享
点击右上角分享
0
联系我们:info@booksci.cn Book学术提供免费学术资源搜索服务,方便国内外学者检索中英文文献。致力于提供最便捷和优质的服务体验。 Copyright © 2023 布克学术 All rights reserved.
京ICP备2023020795号-1
ghs 京公网安备 11010802042870号
Book学术文献互助
Book学术文献互助群
群 号:604180095
Book学术官方微信