基于双样本孟德尔随机法探索先天性心脏病与中风之间的因果关系。

IF 2.1 3区 医学 Q3 CARDIAC & CARDIOVASCULAR SYSTEMS
Cardiovascular diagnosis and therapy Pub Date : 2025-02-28 Epub Date: 2025-02-25 DOI:10.21037/cdt-24-422
Xiaoyong Jing, Yitian Cao, Qiang Wang
{"title":"基于双样本孟德尔随机法探索先天性心脏病与中风之间的因果关系。","authors":"Xiaoyong Jing, Yitian Cao, Qiang Wang","doi":"10.21037/cdt-24-422","DOIUrl":null,"url":null,"abstract":"<p><strong>Background: </strong>Research into common pathological mechanisms and genetic factors is essential for better understanding, prevention and management of cardiovascular disease in congenital heart disease (CHD) survivors. This study aims to explore the possible causal associations between CHD and acquired cardiovascular diseases with the help of genetic instruments.</p><p><strong>Methods: </strong>This study utilized summary data from genome-wide association studies (GWASs) of CHD (including congenital anomalies of great vessels and heart septal defect) and seven different cardiovascular diseases, employing a two-sample Mendelian randomization (MR) design. Analysis was conducted using the inverse variance weighted method (IVW), weighted median, weighted mode, and MR-Egger regression methods. Sensitivity analysis included MR-Egger, MR-PRESO, Cochran's Q, and leave-one-out.</p><p><strong>Results: </strong>In this study, 15 instrumental variables related to CHD were selected [F-statistic =23.55 (21.27, 28.84)]. The IVW MR analysis revealed potential association between genetically predicted congenital anomalies of great vessels and higher risk of atrial fibrillation [odds ratio (OR) =1.07, 95% confidence interval (CI): 1.02-1.12, P=0.004], unspecified stroke (OR =1.07, 95% CI: 1.02-1.12, P=0.008) and ischemic stroke (OR =1.07, 95% CI: 1.01-1.14, P=0.02). No significant associations were observed between other factors. The MR-Egger regression results indicated that these analyses were not affected by horizontal pleiotropy. Leave-one-out analysis showed that the causal effects were not driven by any single mutation.</p><p><strong>Conclusions: </strong>This study found a potential causal association between exposure to congenital anomalies of great vessels and higher risk of atrial fibrillation, stroke and ischemic stroke. Discussed genetic factors might potentially help to identify a higher risk of stroke and other cardiovascular diseases.</p>","PeriodicalId":9592,"journal":{"name":"Cardiovascular diagnosis and therapy","volume":"15 1","pages":"61-77"},"PeriodicalIF":2.1000,"publicationDate":"2025-02-28","publicationTypes":"Journal Article","fieldsOfStudy":null,"isOpenAccess":false,"openAccessPdf":"https://www.ncbi.nlm.nih.gov/pmc/articles/PMC11921240/pdf/","citationCount":"0","resultStr":"{\"title\":\"Exploring the causal association between congenital heart disease and stroke based on two-sample Mendelian randomization.\",\"authors\":\"Xiaoyong Jing, Yitian Cao, Qiang Wang\",\"doi\":\"10.21037/cdt-24-422\",\"DOIUrl\":null,\"url\":null,\"abstract\":\"<p><strong>Background: </strong>Research into common pathological mechanisms and genetic factors is essential for better understanding, prevention and management of cardiovascular disease in congenital heart disease (CHD) survivors. This study aims to explore the possible causal associations between CHD and acquired cardiovascular diseases with the help of genetic instruments.</p><p><strong>Methods: </strong>This study utilized summary data from genome-wide association studies (GWASs) of CHD (including congenital anomalies of great vessels and heart septal defect) and seven different cardiovascular diseases, employing a two-sample Mendelian randomization (MR) design. Analysis was conducted using the inverse variance weighted method (IVW), weighted median, weighted mode, and MR-Egger regression methods. Sensitivity analysis included MR-Egger, MR-PRESO, Cochran's Q, and leave-one-out.</p><p><strong>Results: </strong>In this study, 15 instrumental variables related to CHD were selected [F-statistic =23.55 (21.27, 28.84)]. The IVW MR analysis revealed potential association between genetically predicted congenital anomalies of great vessels and higher risk of atrial fibrillation [odds ratio (OR) =1.07, 95% confidence interval (CI): 1.02-1.12, P=0.004], unspecified stroke (OR =1.07, 95% CI: 1.02-1.12, P=0.008) and ischemic stroke (OR =1.07, 95% CI: 1.01-1.14, P=0.02). No significant associations were observed between other factors. The MR-Egger regression results indicated that these analyses were not affected by horizontal pleiotropy. Leave-one-out analysis showed that the causal effects were not driven by any single mutation.</p><p><strong>Conclusions: </strong>This study found a potential causal association between exposure to congenital anomalies of great vessels and higher risk of atrial fibrillation, stroke and ischemic stroke. Discussed genetic factors might potentially help to identify a higher risk of stroke and other cardiovascular diseases.</p>\",\"PeriodicalId\":9592,\"journal\":{\"name\":\"Cardiovascular diagnosis and therapy\",\"volume\":\"15 1\",\"pages\":\"61-77\"},\"PeriodicalIF\":2.1000,\"publicationDate\":\"2025-02-28\",\"publicationTypes\":\"Journal Article\",\"fieldsOfStudy\":null,\"isOpenAccess\":false,\"openAccessPdf\":\"https://www.ncbi.nlm.nih.gov/pmc/articles/PMC11921240/pdf/\",\"citationCount\":\"0\",\"resultStr\":null,\"platform\":\"Semanticscholar\",\"paperid\":null,\"PeriodicalName\":\"Cardiovascular diagnosis and therapy\",\"FirstCategoryId\":\"3\",\"ListUrlMain\":\"https://doi.org/10.21037/cdt-24-422\",\"RegionNum\":3,\"RegionCategory\":\"医学\",\"ArticlePicture\":[],\"TitleCN\":null,\"AbstractTextCN\":null,\"PMCID\":null,\"EPubDate\":\"2025/2/25 0:00:00\",\"PubModel\":\"Epub\",\"JCR\":\"Q3\",\"JCRName\":\"CARDIAC & CARDIOVASCULAR SYSTEMS\",\"Score\":null,\"Total\":0}","platform":"Semanticscholar","paperid":null,"PeriodicalName":"Cardiovascular diagnosis and therapy","FirstCategoryId":"3","ListUrlMain":"https://doi.org/10.21037/cdt-24-422","RegionNum":3,"RegionCategory":"医学","ArticlePicture":[],"TitleCN":null,"AbstractTextCN":null,"PMCID":null,"EPubDate":"2025/2/25 0:00:00","PubModel":"Epub","JCR":"Q3","JCRName":"CARDIAC & CARDIOVASCULAR SYSTEMS","Score":null,"Total":0}
引用次数: 0

摘要

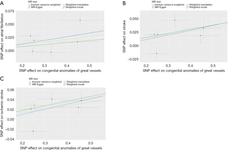
背景:研究常见的病理机制和遗传因素对于更好地了解、预防和管理先天性心脏病(CHD)幸存者的心血管疾病至关重要。本研究旨在借助遗传工具探讨冠心病与获得性心血管疾病之间可能的因果关系。方法:本研究采用双样本孟德尔随机化(MR)设计,利用冠心病(包括先天性大血管异常和心间隔缺损)和7种不同心血管疾病的全基因组关联研究(GWASs)的汇总数据。采用方差反加权法(IVW)、加权中位数法、加权模式法和MR-Egger回归法进行分析。敏感性分析包括egger、preso、Cochran’s Q和leave- 1。结果:本研究共选取了15个与冠心病相关的工具变量[F-statistic =23.55(21.27, 28.84)]。IVW MR分析显示,基因预测的先天性大血管异常与房颤高风险(优势比(OR) =1.07, 95%可信区间(CI): 1.02-1.12, P=0.004)、未明确的卒中(OR =1.07, 95% CI: 1.02-1.12, P=0.008)和缺血性卒中(OR =1.07, 95% CI: 1.01-1.14, P=0.02)之间存在潜在关联。其他因素之间无显著关联。MR-Egger回归结果表明,这些分析不受水平多效性的影响。“留一”分析表明,因果效应不是由任何单一突变驱动的。结论:本研究发现先天性大血管异常暴露与房颤、中风和缺血性中风的高风险之间存在潜在的因果关系。讨论的遗传因素可能有助于确定中风和其他心血管疾病的高风险。
本文章由计算机程序翻译,如有差异,请以英文原文为准。

Exploring the causal association between congenital heart disease and stroke based on two-sample Mendelian randomization.

Exploring the causal association between congenital heart disease and stroke based on two-sample Mendelian randomization.

Exploring the causal association between congenital heart disease and stroke based on two-sample Mendelian randomization.

Exploring the causal association between congenital heart disease and stroke based on two-sample Mendelian randomization.

Background: Research into common pathological mechanisms and genetic factors is essential for better understanding, prevention and management of cardiovascular disease in congenital heart disease (CHD) survivors. This study aims to explore the possible causal associations between CHD and acquired cardiovascular diseases with the help of genetic instruments.

Methods: This study utilized summary data from genome-wide association studies (GWASs) of CHD (including congenital anomalies of great vessels and heart septal defect) and seven different cardiovascular diseases, employing a two-sample Mendelian randomization (MR) design. Analysis was conducted using the inverse variance weighted method (IVW), weighted median, weighted mode, and MR-Egger regression methods. Sensitivity analysis included MR-Egger, MR-PRESO, Cochran's Q, and leave-one-out.

Results: In this study, 15 instrumental variables related to CHD were selected [F-statistic =23.55 (21.27, 28.84)]. The IVW MR analysis revealed potential association between genetically predicted congenital anomalies of great vessels and higher risk of atrial fibrillation [odds ratio (OR) =1.07, 95% confidence interval (CI): 1.02-1.12, P=0.004], unspecified stroke (OR =1.07, 95% CI: 1.02-1.12, P=0.008) and ischemic stroke (OR =1.07, 95% CI: 1.01-1.14, P=0.02). No significant associations were observed between other factors. The MR-Egger regression results indicated that these analyses were not affected by horizontal pleiotropy. Leave-one-out analysis showed that the causal effects were not driven by any single mutation.

Conclusions: This study found a potential causal association between exposure to congenital anomalies of great vessels and higher risk of atrial fibrillation, stroke and ischemic stroke. Discussed genetic factors might potentially help to identify a higher risk of stroke and other cardiovascular diseases.

求助全文
通过发布文献求助,成功后即可免费获取论文全文。 去求助
来源期刊
Cardiovascular diagnosis and therapy
Cardiovascular diagnosis and therapy Medicine-Cardiology and Cardiovascular Medicine
CiteScore
4.90
自引率
4.20%
发文量
45
期刊介绍: The journal ''Cardiovascular Diagnosis and Therapy'' (Print ISSN: 2223-3652; Online ISSN: 2223-3660) accepts basic and clinical science submissions related to Cardiovascular Medicine and Surgery. The mission of the journal is the rapid exchange of scientific information between clinicians and scientists worldwide. To reach this goal, the journal will focus on novel media, using a web-based, digital format in addition to traditional print-version. This includes on-line submission, review, publication, and distribution. The digital format will also allow submission of extensive supporting visual material, both images and video. The website www.thecdt.org will serve as the central hub and also allow posting of comments and on-line discussion. The web-site of the journal will be linked to a number of international web-sites (e.g. www.dxy.cn), which will significantly expand the distribution of its contents.
×
引用
GB/T 7714-2015
复制
MLA
复制
APA
复制
导出至
BibTeX EndNote RefMan NoteFirst NoteExpress
×
提示
您的信息不完整,为了账户安全,请先补充。
现在去补充
×
提示
您因"违规操作"
具体请查看互助需知
我知道了
×
提示
确定
请完成安全验证×
copy
已复制链接
快去分享给好友吧!
我知道了
右上角分享
点击右上角分享
0
联系我们:info@booksci.cn Book学术提供免费学术资源搜索服务,方便国内外学者检索中英文文献。致力于提供最便捷和优质的服务体验。 Copyright © 2023 布克学术 All rights reserved.
京ICP备2023020795号-1
ghs 京公网安备 11010802042870号
Book学术文献互助
Book学术文献互助群
群 号:604180095
Book学术官方微信