pcdbt:力场参数化与分子动力学模拟。

IF 2.9 2区 化学 Q3 CHEMISTRY, PHYSICAL
The Journal of Physical Chemistry B Pub Date : 2025-04-03 Epub Date: 2025-03-20 DOI:10.1021/acs.jpcb.4c08393
Konstantinos Kordos, Konstantinos Kaklamanis, Maria Andrea, Dimitrios G Papageorgiou
{"title":"pcdbt:力场参数化与分子动力学模拟。","authors":"Konstantinos Kordos, Konstantinos Kaklamanis, Maria Andrea, Dimitrios G Papageorgiou","doi":"10.1021/acs.jpcb.4c08393","DOIUrl":null,"url":null,"abstract":"<p><p>Conjugated polymers are indispensable building blocks in a variety of organic electronics applications such as solar cells, light-emitting diodes, and field-effect transistors. Poly[<i>N</i>-9'-heptadecanyl-2,7-carbazole-<i>alt</i>-5,5-(4',7'-di-2-thienyl-2',1',3'-benzothiadiazole)] (PCDTBT) is a carbazole-benzothiadiazole-based copolymer with a donor-acceptor structure, consisting of electron-donating and electron-withdrawing subunits and featuring a low band gap. In this work, the General Amber Force Field is extended in two ways, specifically for modeling PCDTBT. First, a set of partial atomic charges is derived that mimic a long chain and adequately describe different conformations that may be encountered in a bulk environment. Second, torsional terms are reparametrized for all dihedral angles in the backbone via ab initio computations. Subsequently, a series of large-scale Molecular Dynamics simulations are employed to construct and equilibrate bulk ensembles of three PCDTBT oligomers using different starting conformations of the oligomer chains. Several structural properties are computed, namely mass density, chain stiffness (through persistence length and Kuhn segment length), and glass transition temperature. Our results are in good agreement with available literature data, demonstrating the suitability of the new parametrization.</p>","PeriodicalId":60,"journal":{"name":"The Journal of Physical Chemistry B","volume":" ","pages":"3492-3501"},"PeriodicalIF":2.9000,"publicationDate":"2025-04-03","publicationTypes":"Journal Article","fieldsOfStudy":null,"isOpenAccess":false,"openAccessPdf":"https://www.ncbi.nlm.nih.gov/pmc/articles/PMC11973877/pdf/","citationCount":"0","resultStr":"{\"title\":\"PCDTBT: Force Field Parameterization and Properties by Molecular Dynamics Simulation.\",\"authors\":\"Konstantinos Kordos, Konstantinos Kaklamanis, Maria Andrea, Dimitrios G Papageorgiou\",\"doi\":\"10.1021/acs.jpcb.4c08393\",\"DOIUrl\":null,\"url\":null,\"abstract\":\"<p><p>Conjugated polymers are indispensable building blocks in a variety of organic electronics applications such as solar cells, light-emitting diodes, and field-effect transistors. Poly[<i>N</i>-9'-heptadecanyl-2,7-carbazole-<i>alt</i>-5,5-(4',7'-di-2-thienyl-2',1',3'-benzothiadiazole)] (PCDTBT) is a carbazole-benzothiadiazole-based copolymer with a donor-acceptor structure, consisting of electron-donating and electron-withdrawing subunits and featuring a low band gap. In this work, the General Amber Force Field is extended in two ways, specifically for modeling PCDTBT. First, a set of partial atomic charges is derived that mimic a long chain and adequately describe different conformations that may be encountered in a bulk environment. Second, torsional terms are reparametrized for all dihedral angles in the backbone via ab initio computations. Subsequently, a series of large-scale Molecular Dynamics simulations are employed to construct and equilibrate bulk ensembles of three PCDTBT oligomers using different starting conformations of the oligomer chains. Several structural properties are computed, namely mass density, chain stiffness (through persistence length and Kuhn segment length), and glass transition temperature. Our results are in good agreement with available literature data, demonstrating the suitability of the new parametrization.</p>\",\"PeriodicalId\":60,\"journal\":{\"name\":\"The Journal of Physical Chemistry B\",\"volume\":\" \",\"pages\":\"3492-3501\"},\"PeriodicalIF\":2.9000,\"publicationDate\":\"2025-04-03\",\"publicationTypes\":\"Journal Article\",\"fieldsOfStudy\":null,\"isOpenAccess\":false,\"openAccessPdf\":\"https://www.ncbi.nlm.nih.gov/pmc/articles/PMC11973877/pdf/\",\"citationCount\":\"0\",\"resultStr\":null,\"platform\":\"Semanticscholar\",\"paperid\":null,\"PeriodicalName\":\"The Journal of Physical Chemistry B\",\"FirstCategoryId\":\"1\",\"ListUrlMain\":\"https://doi.org/10.1021/acs.jpcb.4c08393\",\"RegionNum\":2,\"RegionCategory\":\"化学\",\"ArticlePicture\":[],\"TitleCN\":null,\"AbstractTextCN\":null,\"PMCID\":null,\"EPubDate\":\"2025/3/20 0:00:00\",\"PubModel\":\"Epub\",\"JCR\":\"Q3\",\"JCRName\":\"CHEMISTRY, PHYSICAL\",\"Score\":null,\"Total\":0}","platform":"Semanticscholar","paperid":null,"PeriodicalName":"The Journal of Physical Chemistry B","FirstCategoryId":"1","ListUrlMain":"https://doi.org/10.1021/acs.jpcb.4c08393","RegionNum":2,"RegionCategory":"化学","ArticlePicture":[],"TitleCN":null,"AbstractTextCN":null,"PMCID":null,"EPubDate":"2025/3/20 0:00:00","PubModel":"Epub","JCR":"Q3","JCRName":"CHEMISTRY, PHYSICAL","Score":null,"Total":0}
引用次数: 0

摘要

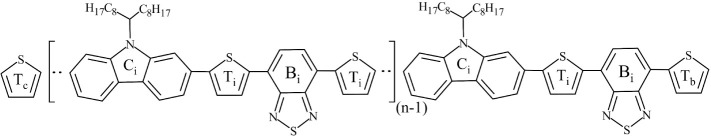
共轭聚合物是各种有机电子应用中不可缺少的组成部分,如太阳能电池、发光二极管和场效应晶体管。聚[N-9'-庚烷-2,7-咔唑-氨基-5,5-(4',7'-二-2-噻唑-2',1',3'-苯并噻唑)](pcdbt)是一种基于咔唑-苯并噻唑的共聚物,具有给电子亚基和吸电子亚基组成,具有低带隙。在这项工作中,通用琥珀力场以两种方式进行扩展,特别是为pcdbt建模。首先,推导出一组部分原子电荷,模拟长链,并充分描述在散装环境中可能遇到的不同构象。其次,通过从头计算,重新参数化了脊柱中所有二面角的扭转项。随后,采用一系列大规模的分子动力学模拟来构建和平衡三种pcdbt低聚物链的不同起始构象。计算了几种结构性能,即质量密度、链刚度(通过持续长度和库恩段长度)和玻璃化转变温度。我们的结果与现有文献数据很好地一致,证明了新参数化的适用性。
本文章由计算机程序翻译,如有差异,请以英文原文为准。

PCDTBT: Force Field Parameterization and Properties by Molecular Dynamics Simulation.

PCDTBT: Force Field Parameterization and Properties by Molecular Dynamics Simulation.

PCDTBT: Force Field Parameterization and Properties by Molecular Dynamics Simulation.

PCDTBT: Force Field Parameterization and Properties by Molecular Dynamics Simulation.

Conjugated polymers are indispensable building blocks in a variety of organic electronics applications such as solar cells, light-emitting diodes, and field-effect transistors. Poly[N-9'-heptadecanyl-2,7-carbazole-alt-5,5-(4',7'-di-2-thienyl-2',1',3'-benzothiadiazole)] (PCDTBT) is a carbazole-benzothiadiazole-based copolymer with a donor-acceptor structure, consisting of electron-donating and electron-withdrawing subunits and featuring a low band gap. In this work, the General Amber Force Field is extended in two ways, specifically for modeling PCDTBT. First, a set of partial atomic charges is derived that mimic a long chain and adequately describe different conformations that may be encountered in a bulk environment. Second, torsional terms are reparametrized for all dihedral angles in the backbone via ab initio computations. Subsequently, a series of large-scale Molecular Dynamics simulations are employed to construct and equilibrate bulk ensembles of three PCDTBT oligomers using different starting conformations of the oligomer chains. Several structural properties are computed, namely mass density, chain stiffness (through persistence length and Kuhn segment length), and glass transition temperature. Our results are in good agreement with available literature data, demonstrating the suitability of the new parametrization.

求助全文
通过发布文献求助,成功后即可免费获取论文全文。 去求助
来源期刊
CiteScore
5.80
自引率
9.10%
发文量
965
审稿时长
1.6 months
期刊介绍: An essential criterion for acceptance of research articles in the journal is that they provide new physical insight. Please refer to the New Physical Insights virtual issue on what constitutes new physical insight. Manuscripts that are essentially reporting data or applications of data are, in general, not suitable for publication in JPC B.
×
引用
GB/T 7714-2015
复制
MLA
复制
APA
复制
导出至
BibTeX EndNote RefMan NoteFirst NoteExpress
×
提示
您的信息不完整,为了账户安全,请先补充。
现在去补充
×
提示
您因"违规操作"
具体请查看互助需知
我知道了
×
提示
确定
请完成安全验证×
copy
已复制链接
快去分享给好友吧!
我知道了
右上角分享
点击右上角分享
0
联系我们:info@booksci.cn Book学术提供免费学术资源搜索服务,方便国内外学者检索中英文文献。致力于提供最便捷和优质的服务体验。 Copyright © 2023 布克学术 All rights reserved.
京ICP备2023020795号-1
ghs 京公网安备 11010802042870号
Book学术文献互助
Book学术文献互助群
群 号:604180095
Book学术官方微信