特洛伊木马- mdr:头孢地洛尔和比较物对法国南部多重耐药肠杆菌和铜绿假单胞菌的体外活性,现有检测方法性能的评价。

IF 3.6 2区 医学 Q1 MICROBIOLOGY
Massinissa Benyahia, Chloé Magnan, Vincent Jean-Pierre, Romaric Larcher, Adeline Boutet-Dubois, Marie Gaillard, Hélène Marchandin, Stéphanie Genieyz, Madjid Morsli, Jean-Philippe Lavigne, Alix Pantel
{"title":"特洛伊木马- mdr:头孢地洛尔和比较物对法国南部多重耐药肠杆菌和铜绿假单胞菌的体外活性,现有检测方法性能的评价。","authors":"Massinissa Benyahia, Chloé Magnan, Vincent Jean-Pierre, Romaric Larcher, Adeline Boutet-Dubois, Marie Gaillard, Hélène Marchandin, Stéphanie Genieyz, Madjid Morsli, Jean-Philippe Lavigne, Alix Pantel","doi":"10.1186/s12941-025-00785-9","DOIUrl":null,"url":null,"abstract":"<p><strong>Background: </strong> Cefiderocol, a newly introduced siderophore cephalosporin, exhibits activity against various multidrug-resistant (MDR) Gram-negative bacilli (GNB), including producers of Ambler class A, B and D carbapenemases. The TROJAN-MDR study aimed to (i) compare the in vitro activity of cefiderocol with other last-resort antibiotics against a well-characterized collection of Enterobacterales and Pseudomonas aeruginosa strains from Southern France, and (ii) assess the performance of available cefiderocol antimicrobial susceptibility testing (AST) methods.</p><p><strong>Methods: </strong>The collection comprised 127 Enterobacterales from various clones, including 119 carbapenemase producers (93.7%), and 53 MDR P. aeruginosa. The minimum inhibitory concentrations (MICs) of cefiderocol were determined using the UMIC<sup>®</sup> broth microdilution method (BMD) as the reference. Comparators MICs were measured using Sensititre™ EUMDRXXF plates and Liofilchem strips for aztreonam-avibactam. Results were interpreted according to EUCAST breakpoints, with CLSI breakpoints also used for cefiderocol. The performance of the ComASP<sup>®</sup> BMD and disk diffusion on two different Mueller-Hinton media (Bio-Rad and BD) were evaluated according to ISO 20776-2:2007 and 2021.</p><p><strong>Results: </strong>Cefiderocol demonstrated potent activity on Enterobacterales (81.9% susceptible) and P. aeruginosa (84.9%) using EUCAST breakpoints. Among Enterobacterales, the most effective comparators were colistin, aztreonam-avibactam, meropenem-vaborbactam, and amikacin, with susceptibility rates of 99.2%, 98.4%, 85%, and 76.4%, respectively. For P. aeruginosa, only colistin exhibited better activity (100%). The disk diffusion method showed superior performance on BD medium compared to Bio-Rad. The ComASP<sup>®</sup> method did not provide sufficient performance to be considered reliable.</p><p><strong>Conclusions: </strong>Cefiderocol was highly active against a large collection of MDR GNB, including high-risk clones. It is crucial to assess susceptibility to this last-resort antibiotic using a validated method when considering clinical use.</p>","PeriodicalId":8052,"journal":{"name":"Annals of Clinical Microbiology and Antimicrobials","volume":"24 1","pages":"20"},"PeriodicalIF":3.6000,"publicationDate":"2025-03-19","publicationTypes":"Journal Article","fieldsOfStudy":null,"isOpenAccess":false,"openAccessPdf":"https://www.ncbi.nlm.nih.gov/pmc/articles/PMC11924606/pdf/","citationCount":"0","resultStr":"{\"title\":\"TROJAN-MDR: in vitro activity of cefiderocol and comparators against multidrug-resistant Enterobacterales and Pseudomonas aeruginosa strains in Southern France, evaluation of available testing methods performances.\",\"authors\":\"Massinissa Benyahia, Chloé Magnan, Vincent Jean-Pierre, Romaric Larcher, Adeline Boutet-Dubois, Marie Gaillard, Hélène Marchandin, Stéphanie Genieyz, Madjid Morsli, Jean-Philippe Lavigne, Alix Pantel\",\"doi\":\"10.1186/s12941-025-00785-9\",\"DOIUrl\":null,\"url\":null,\"abstract\":\"<p><strong>Background: </strong> Cefiderocol, a newly introduced siderophore cephalosporin, exhibits activity against various multidrug-resistant (MDR) Gram-negative bacilli (GNB), including producers of Ambler class A, B and D carbapenemases. The TROJAN-MDR study aimed to (i) compare the in vitro activity of cefiderocol with other last-resort antibiotics against a well-characterized collection of Enterobacterales and Pseudomonas aeruginosa strains from Southern France, and (ii) assess the performance of available cefiderocol antimicrobial susceptibility testing (AST) methods.</p><p><strong>Methods: </strong>The collection comprised 127 Enterobacterales from various clones, including 119 carbapenemase producers (93.7%), and 53 MDR P. aeruginosa. The minimum inhibitory concentrations (MICs) of cefiderocol were determined using the UMIC<sup>®</sup> broth microdilution method (BMD) as the reference. Comparators MICs were measured using Sensititre™ EUMDRXXF plates and Liofilchem strips for aztreonam-avibactam. Results were interpreted according to EUCAST breakpoints, with CLSI breakpoints also used for cefiderocol. The performance of the ComASP<sup>®</sup> BMD and disk diffusion on two different Mueller-Hinton media (Bio-Rad and BD) were evaluated according to ISO 20776-2:2007 and 2021.</p><p><strong>Results: </strong>Cefiderocol demonstrated potent activity on Enterobacterales (81.9% susceptible) and P. aeruginosa (84.9%) using EUCAST breakpoints. Among Enterobacterales, the most effective comparators were colistin, aztreonam-avibactam, meropenem-vaborbactam, and amikacin, with susceptibility rates of 99.2%, 98.4%, 85%, and 76.4%, respectively. For P. aeruginosa, only colistin exhibited better activity (100%). The disk diffusion method showed superior performance on BD medium compared to Bio-Rad. The ComASP<sup>®</sup> method did not provide sufficient performance to be considered reliable.</p><p><strong>Conclusions: </strong>Cefiderocol was highly active against a large collection of MDR GNB, including high-risk clones. It is crucial to assess susceptibility to this last-resort antibiotic using a validated method when considering clinical use.</p>\",\"PeriodicalId\":8052,\"journal\":{\"name\":\"Annals of Clinical Microbiology and Antimicrobials\",\"volume\":\"24 1\",\"pages\":\"20\"},\"PeriodicalIF\":3.6000,\"publicationDate\":\"2025-03-19\",\"publicationTypes\":\"Journal Article\",\"fieldsOfStudy\":null,\"isOpenAccess\":false,\"openAccessPdf\":\"https://www.ncbi.nlm.nih.gov/pmc/articles/PMC11924606/pdf/\",\"citationCount\":\"0\",\"resultStr\":null,\"platform\":\"Semanticscholar\",\"paperid\":null,\"PeriodicalName\":\"Annals of Clinical Microbiology and Antimicrobials\",\"FirstCategoryId\":\"3\",\"ListUrlMain\":\"https://doi.org/10.1186/s12941-025-00785-9\",\"RegionNum\":2,\"RegionCategory\":\"医学\",\"ArticlePicture\":[],\"TitleCN\":null,\"AbstractTextCN\":null,\"PMCID\":null,\"EPubDate\":\"\",\"PubModel\":\"\",\"JCR\":\"Q1\",\"JCRName\":\"MICROBIOLOGY\",\"Score\":null,\"Total\":0}","platform":"Semanticscholar","paperid":null,"PeriodicalName":"Annals of Clinical Microbiology and Antimicrobials","FirstCategoryId":"3","ListUrlMain":"https://doi.org/10.1186/s12941-025-00785-9","RegionNum":2,"RegionCategory":"医学","ArticlePicture":[],"TitleCN":null,"AbstractTextCN":null,"PMCID":null,"EPubDate":"","PubModel":"","JCR":"Q1","JCRName":"MICROBIOLOGY","Score":null,"Total":0}
引用次数: 0

摘要

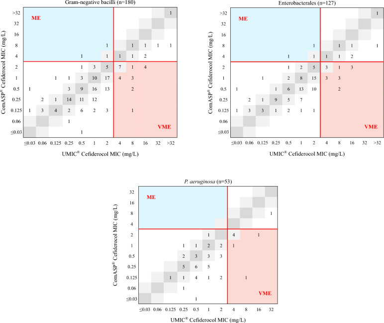
背景:Cefiderocol是一种新引入的铁载体类头孢菌素,具有抗多种多重耐药(MDR)革兰氏阴性杆菌(GNB)的活性,包括Ambler a类、B类和D类碳青霉烯酶的生产者。troan - mdr研究旨在(i)比较头孢地罗与其他最后抗生素对法国南部肠杆菌和铜绿假单胞菌菌株的体外活性,以及(ii)评估现有头孢地罗抗菌药敏试验(AST)方法的性能。方法:收集不同克隆的127株肠杆菌,其中产碳青霉烯酶菌119株(93.7%),耐多药铜绿假单胞菌53株。采用UMIC®肉汤微量稀释法(BMD)测定头孢地罗的最低抑菌浓度(mic)。比较物mic采用Sensititre™EUMDRXXF板和Liofilchem试纸条检测aztreonam-avibactam。结果根据EUCAST断点进行解释,cefiderocol也使用CLSI断点。ComASP®BMD和磁盘扩散在两种不同的Mueller-Hinton介质(Bio-Rad和BD)上的性能根据ISO 20776-2:2007和2021进行了评估。结果:Cefiderocol对肠杆菌(81.9%敏感)和铜绿假单胞菌(84.9%)具有有效活性。在肠杆菌中,最有效的比较物为粘菌素、氨曲南-阿维巴坦、美罗培尼-瓦波巴坦和阿米卡星,其敏感性分别为99.2%、98.4%、85%和76.4%。对于铜绿假单胞菌,只有粘菌素表现出更好的活性(100%)。与Bio-Rad相比,磁盘扩散法在BD介质上表现出更好的性能。ComASP®方法没有提供足够的性能,因此被认为是可靠的。结论:Cefiderocol对大量MDR GNB具有高度活性,包括高风险克隆。在考虑临床使用时,使用经过验证的方法评估对这种最后手段抗生素的敏感性至关重要。
本文章由计算机程序翻译,如有差异,请以英文原文为准。

TROJAN-MDR: in vitro activity of cefiderocol and comparators against multidrug-resistant Enterobacterales and Pseudomonas aeruginosa strains in Southern France, evaluation of available testing methods performances.

TROJAN-MDR: in vitro activity of cefiderocol and comparators against multidrug-resistant Enterobacterales and Pseudomonas aeruginosa strains in Southern France, evaluation of available testing methods performances.

TROJAN-MDR: in vitro activity of cefiderocol and comparators against multidrug-resistant Enterobacterales and Pseudomonas aeruginosa strains in Southern France, evaluation of available testing methods performances.

TROJAN-MDR: in vitro activity of cefiderocol and comparators against multidrug-resistant Enterobacterales and Pseudomonas aeruginosa strains in Southern France, evaluation of available testing methods performances.

Background:  Cefiderocol, a newly introduced siderophore cephalosporin, exhibits activity against various multidrug-resistant (MDR) Gram-negative bacilli (GNB), including producers of Ambler class A, B and D carbapenemases. The TROJAN-MDR study aimed to (i) compare the in vitro activity of cefiderocol with other last-resort antibiotics against a well-characterized collection of Enterobacterales and Pseudomonas aeruginosa strains from Southern France, and (ii) assess the performance of available cefiderocol antimicrobial susceptibility testing (AST) methods.

Methods: The collection comprised 127 Enterobacterales from various clones, including 119 carbapenemase producers (93.7%), and 53 MDR P. aeruginosa. The minimum inhibitory concentrations (MICs) of cefiderocol were determined using the UMIC® broth microdilution method (BMD) as the reference. Comparators MICs were measured using Sensititre™ EUMDRXXF plates and Liofilchem strips for aztreonam-avibactam. Results were interpreted according to EUCAST breakpoints, with CLSI breakpoints also used for cefiderocol. The performance of the ComASP® BMD and disk diffusion on two different Mueller-Hinton media (Bio-Rad and BD) were evaluated according to ISO 20776-2:2007 and 2021.

Results: Cefiderocol demonstrated potent activity on Enterobacterales (81.9% susceptible) and P. aeruginosa (84.9%) using EUCAST breakpoints. Among Enterobacterales, the most effective comparators were colistin, aztreonam-avibactam, meropenem-vaborbactam, and amikacin, with susceptibility rates of 99.2%, 98.4%, 85%, and 76.4%, respectively. For P. aeruginosa, only colistin exhibited better activity (100%). The disk diffusion method showed superior performance on BD medium compared to Bio-Rad. The ComASP® method did not provide sufficient performance to be considered reliable.

Conclusions: Cefiderocol was highly active against a large collection of MDR GNB, including high-risk clones. It is crucial to assess susceptibility to this last-resort antibiotic using a validated method when considering clinical use.

求助全文
通过发布文献求助,成功后即可免费获取论文全文。 去求助
来源期刊
CiteScore
8.60
自引率
0.00%
发文量
49
审稿时长
>12 weeks
期刊介绍: Annals of Clinical Microbiology and Antimicrobials considers good quality, novel and international research of more than regional relevance. Research must include epidemiological and/or clinical information about isolates, and the journal covers the clinical microbiology of bacteria, viruses and fungi, as well as antimicrobial treatment of infectious diseases. Annals of Clinical Microbiology and Antimicrobials is an open access, peer-reviewed journal focusing on information concerning clinical microbiology, infectious diseases and antimicrobials. The management of infectious disease is dependent on correct diagnosis and appropriate antimicrobial treatment, and with this in mind, the journal aims to improve the communication between laboratory and clinical science in the field of clinical microbiology and antimicrobial treatment. Furthermore, the journal has no restrictions on space or access; this ensures that the journal can reach the widest possible audience.
×
引用
GB/T 7714-2015
复制
MLA
复制
APA
复制
导出至
BibTeX EndNote RefMan NoteFirst NoteExpress
×
提示
您的信息不完整,为了账户安全,请先补充。
现在去补充
×
提示
您因"违规操作"
具体请查看互助需知
我知道了
×
提示
确定
请完成安全验证×
copy
已复制链接
快去分享给好友吧!
我知道了
右上角分享
点击右上角分享
0
联系我们:info@booksci.cn Book学术提供免费学术资源搜索服务,方便国内外学者检索中英文文献。致力于提供最便捷和优质的服务体验。 Copyright © 2023 布克学术 All rights reserved.
京ICP备2023020795号-1
ghs 京公网安备 11010802042870号
Book学术文献互助
Book学术文献互助群
群 号:604180095
Book学术官方微信