近似环形蚀刻的序列方案。

IF 2.8 Q1 GENETICS & HEREDITY
NAR Genomics and Bioinformatics Pub Date : 2025-03-18 eCollection Date: 2025-03-01 DOI:10.1093/nargab/lqaf025
Simon Gene Gottlieb, Knut Reinert
{"title":"近似环形蚀刻的序列方案。","authors":"Simon Gene Gottlieb, Knut Reinert","doi":"10.1093/nargab/lqaf025","DOIUrl":null,"url":null,"abstract":"<p><p>Finding approximate occurrences of a query in a text using a full-text index is a central problem in stringology with many applications, especially in bioinformatics. The recent work has shown significant speed-ups by combining bidirectional indices and employing variations of <i>search schemes</i>. Search schemes partition a query and describe how to search the resulting parts with a given error bound. The performance of search schemes can be approximated by the <i>node count</i>, which represents an upper bound of the number of search steps. Finding <i>optimum search schemes</i> is a difficult combinatorial optimization problem that becomes hard to solve for four and more errors. This paper improves on a few topics important to search scheme based searches: First, we show how search schemes can be used to model previously published approximate search strategies such as suffix filters, 01*0-seeds, or the pigeonhole principle. This unifies these strategies in the search scheme framework, makes them easily comparable and results in novel search schemes that allow for any number of errors. Second, we present a search scheme construction heuristic, which is on par with optimum search schemes and has a better node count than any known search scheme for equal or above four errors. Finally, using the different search schemes, we show that the node count measure is not an ideal performance metric and therefore propose an improved performance metric called the <i>weighted node count</i>, which approximates a search algorithm's run time much more accurately.</p>","PeriodicalId":33994,"journal":{"name":"NAR Genomics and Bioinformatics","volume":"7 1","pages":"lqaf025"},"PeriodicalIF":2.8000,"publicationDate":"2025-03-18","publicationTypes":"Journal Article","fieldsOfStudy":null,"isOpenAccess":false,"openAccessPdf":"https://www.ncbi.nlm.nih.gov/pmc/articles/PMC11915513/pdf/","citationCount":"0","resultStr":"{\"title\":\"SeArcH schemes for Approximate stRing mAtching.\",\"authors\":\"Simon Gene Gottlieb, Knut Reinert\",\"doi\":\"10.1093/nargab/lqaf025\",\"DOIUrl\":null,\"url\":null,\"abstract\":\"<p><p>Finding approximate occurrences of a query in a text using a full-text index is a central problem in stringology with many applications, especially in bioinformatics. The recent work has shown significant speed-ups by combining bidirectional indices and employing variations of <i>search schemes</i>. Search schemes partition a query and describe how to search the resulting parts with a given error bound. The performance of search schemes can be approximated by the <i>node count</i>, which represents an upper bound of the number of search steps. Finding <i>optimum search schemes</i> is a difficult combinatorial optimization problem that becomes hard to solve for four and more errors. This paper improves on a few topics important to search scheme based searches: First, we show how search schemes can be used to model previously published approximate search strategies such as suffix filters, 01*0-seeds, or the pigeonhole principle. This unifies these strategies in the search scheme framework, makes them easily comparable and results in novel search schemes that allow for any number of errors. Second, we present a search scheme construction heuristic, which is on par with optimum search schemes and has a better node count than any known search scheme for equal or above four errors. Finally, using the different search schemes, we show that the node count measure is not an ideal performance metric and therefore propose an improved performance metric called the <i>weighted node count</i>, which approximates a search algorithm's run time much more accurately.</p>\",\"PeriodicalId\":33994,\"journal\":{\"name\":\"NAR Genomics and Bioinformatics\",\"volume\":\"7 1\",\"pages\":\"lqaf025\"},\"PeriodicalIF\":2.8000,\"publicationDate\":\"2025-03-18\",\"publicationTypes\":\"Journal Article\",\"fieldsOfStudy\":null,\"isOpenAccess\":false,\"openAccessPdf\":\"https://www.ncbi.nlm.nih.gov/pmc/articles/PMC11915513/pdf/\",\"citationCount\":\"0\",\"resultStr\":null,\"platform\":\"Semanticscholar\",\"paperid\":null,\"PeriodicalName\":\"NAR Genomics and Bioinformatics\",\"FirstCategoryId\":\"1085\",\"ListUrlMain\":\"https://doi.org/10.1093/nargab/lqaf025\",\"RegionNum\":0,\"RegionCategory\":null,\"ArticlePicture\":[],\"TitleCN\":null,\"AbstractTextCN\":null,\"PMCID\":null,\"EPubDate\":\"2025/3/1 0:00:00\",\"PubModel\":\"eCollection\",\"JCR\":\"Q1\",\"JCRName\":\"GENETICS & HEREDITY\",\"Score\":null,\"Total\":0}","platform":"Semanticscholar","paperid":null,"PeriodicalName":"NAR Genomics and Bioinformatics","FirstCategoryId":"1085","ListUrlMain":"https://doi.org/10.1093/nargab/lqaf025","RegionNum":0,"RegionCategory":null,"ArticlePicture":[],"TitleCN":null,"AbstractTextCN":null,"PMCID":null,"EPubDate":"2025/3/1 0:00:00","PubModel":"eCollection","JCR":"Q1","JCRName":"GENETICS & HEREDITY","Score":null,"Total":0}
引用次数: 0

摘要

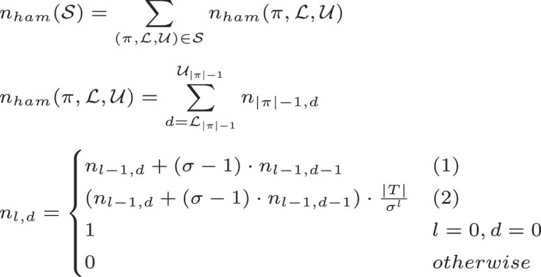
使用全文索引在文本中查找查询的近似出现是词汇学中许多应用的中心问题,特别是在生物信息学中。最近的研究表明,通过结合双向索引和使用各种搜索方案,可以显著加快搜索速度。搜索方案对查询进行分区,并描述如何在给定的错误范围内搜索结果部分。搜索方案的性能可以用节点数来表示,节点数表示搜索步骤数的上界。寻找最优搜索方案是一个复杂的组合优化问题,当误差大于等于4个时,该问题将变得难以解决。本文改进了几个对基于搜索方案的搜索很重要的主题:首先,我们展示了如何使用搜索方案来建模先前发布的近似搜索策略,如后缀过滤器、01*0种子或鸽子洞原则。这将这些策略统一在搜索方案框架中,使它们易于比较,并产生允许任意数量错误的新搜索方案。其次,我们提出了一种搜索方案构建启发式算法,它与最优搜索方案相当,并且在相同或大于4个错误的情况下具有比任何已知搜索方案更好的节点计数。最后,使用不同的搜索方案,我们表明节点计数度量不是理想的性能度量,因此提出了一种改进的性能度量,称为加权节点计数,它更准确地近似搜索算法的运行时间。
本文章由计算机程序翻译,如有差异,请以英文原文为准。

SeArcH schemes for Approximate stRing mAtching.

SeArcH schemes for Approximate stRing mAtching.

SeArcH schemes for Approximate stRing mAtching.

SeArcH schemes for Approximate stRing mAtching.

Finding approximate occurrences of a query in a text using a full-text index is a central problem in stringology with many applications, especially in bioinformatics. The recent work has shown significant speed-ups by combining bidirectional indices and employing variations of search schemes. Search schemes partition a query and describe how to search the resulting parts with a given error bound. The performance of search schemes can be approximated by the node count, which represents an upper bound of the number of search steps. Finding optimum search schemes is a difficult combinatorial optimization problem that becomes hard to solve for four and more errors. This paper improves on a few topics important to search scheme based searches: First, we show how search schemes can be used to model previously published approximate search strategies such as suffix filters, 01*0-seeds, or the pigeonhole principle. This unifies these strategies in the search scheme framework, makes them easily comparable and results in novel search schemes that allow for any number of errors. Second, we present a search scheme construction heuristic, which is on par with optimum search schemes and has a better node count than any known search scheme for equal or above four errors. Finally, using the different search schemes, we show that the node count measure is not an ideal performance metric and therefore propose an improved performance metric called the weighted node count, which approximates a search algorithm's run time much more accurately.

求助全文
通过发布文献求助,成功后即可免费获取论文全文。 去求助
来源期刊
CiteScore
8.00
自引率
2.20%
发文量
95
审稿时长
15 weeks
×
引用
GB/T 7714-2015
复制
MLA
复制
APA
复制
导出至
BibTeX EndNote RefMan NoteFirst NoteExpress
×
提示
您的信息不完整,为了账户安全,请先补充。
现在去补充
×
提示
您因"违规操作"
具体请查看互助需知
我知道了
×
提示
确定
请完成安全验证×
copy
已复制链接
快去分享给好友吧!
我知道了
右上角分享
点击右上角分享
0
联系我们:info@booksci.cn Book学术提供免费学术资源搜索服务,方便国内外学者检索中英文文献。致力于提供最便捷和优质的服务体验。 Copyright © 2023 布克学术 All rights reserved.
京ICP备2023020795号-1
ghs 京公网安备 11010802042870号
Book学术文献互助
Book学术文献互助群
群 号:604180095
Book学术官方微信