Sudoscan在ATTRv淀粉样变中的诊断:疾病进展的潜在标志?

IF 4.8 3区 医学 Q1 CLINICAL NEUROLOGY
Neurology and Therapy Pub Date : 2025-06-01 Epub Date: 2025-03-17 DOI:10.1007/s40120-025-00721-1
Angela Romano, Valeria Guglielmino, Francesca Vitali, Maria Ausilia Sciarrone, Giovanni Siconolfi, Andrea Di Paolantonio, Guido Primiano, Marco Luigetti
{"title":"Sudoscan在ATTRv淀粉样变中的诊断:疾病进展的潜在标志?","authors":"Angela Romano, Valeria Guglielmino, Francesca Vitali, Maria Ausilia Sciarrone, Giovanni Siconolfi, Andrea Di Paolantonio, Guido Primiano, Marco Luigetti","doi":"10.1007/s40120-025-00721-1","DOIUrl":null,"url":null,"abstract":"<p><strong>Introduction: </strong>Hereditary transthyretin amyloidosis (ATTRv amyloidosis) is a severe, autosomal dominant disease resulting from multisystemic extracellular deposition of amyloid fibrils, leading to progressive organ damage and death. Sudoscan is a reproducible tool investigating sweat gland function and, indirectly, small nerve fiber impairment. The aim of this study was to evaluate any changes over time in electrochemical skin conductance (ESC) measured by Sudoscan in a cohort of late-onset patients with ATTRv from a single Italian center. Additionally, we investigated the role of Sudoscan as a marker of disease severity to confirm previous literature data.</p><p><strong>Methods: </strong>We enrolled 61 patients with a late-onset ATTRv amyloidosis harboring different TTR variants with at least one clinical and instrumental evaluation including Sudoscan. Correlations with clinical data (including both clinical scales and questionnaires) were investigated to confirm the role of Sudoscan as a marker of disease severity. Moreover, a longitudinal analysis was performed in the subgroup of patients with at least 4 complete yearly evaluations (n = 23) to assess the role of Sudoscan as a marker of disease progression.</p><p><strong>Results: </strong>At each yearly assessment, ESC values from both feet and hands significantly correlated with disease duration and neuropathy severity, as assessed by common clinical scales and questionnaires. No correlation was found with age at evaluation. Moreover, we observed a statistically significant change over time in ESC values measured at the feet (fESC) but not at the hands (hESC).</p><p><strong>Conclusions: </strong>Sudoscan may represent a reliable marker of dysautonomia in ATTRv amyloidosis, displaying a potential role as a marker of both disease severity and progression. It could, therefore, serve as an outcome measure in future clinical trials. In addition, feet ESC seems to be a significant, independent predictor of autonomic dysfunction.</p>","PeriodicalId":19216,"journal":{"name":"Neurology and Therapy","volume":" ","pages":"787-800"},"PeriodicalIF":4.8000,"publicationDate":"2025-06-01","publicationTypes":"Journal Article","fieldsOfStudy":null,"isOpenAccess":false,"openAccessPdf":"https://www.ncbi.nlm.nih.gov/pmc/articles/PMC12089546/pdf/","citationCount":"0","resultStr":"{\"title\":\"Sudoscan in ATTRv Amyloidosis: A Potential Marker of Disease Progression?\",\"authors\":\"Angela Romano, Valeria Guglielmino, Francesca Vitali, Maria Ausilia Sciarrone, Giovanni Siconolfi, Andrea Di Paolantonio, Guido Primiano, Marco Luigetti\",\"doi\":\"10.1007/s40120-025-00721-1\",\"DOIUrl\":null,\"url\":null,\"abstract\":\"<p><strong>Introduction: </strong>Hereditary transthyretin amyloidosis (ATTRv amyloidosis) is a severe, autosomal dominant disease resulting from multisystemic extracellular deposition of amyloid fibrils, leading to progressive organ damage and death. Sudoscan is a reproducible tool investigating sweat gland function and, indirectly, small nerve fiber impairment. The aim of this study was to evaluate any changes over time in electrochemical skin conductance (ESC) measured by Sudoscan in a cohort of late-onset patients with ATTRv from a single Italian center. Additionally, we investigated the role of Sudoscan as a marker of disease severity to confirm previous literature data.</p><p><strong>Methods: </strong>We enrolled 61 patients with a late-onset ATTRv amyloidosis harboring different TTR variants with at least one clinical and instrumental evaluation including Sudoscan. Correlations with clinical data (including both clinical scales and questionnaires) were investigated to confirm the role of Sudoscan as a marker of disease severity. Moreover, a longitudinal analysis was performed in the subgroup of patients with at least 4 complete yearly evaluations (n = 23) to assess the role of Sudoscan as a marker of disease progression.</p><p><strong>Results: </strong>At each yearly assessment, ESC values from both feet and hands significantly correlated with disease duration and neuropathy severity, as assessed by common clinical scales and questionnaires. No correlation was found with age at evaluation. Moreover, we observed a statistically significant change over time in ESC values measured at the feet (fESC) but not at the hands (hESC).</p><p><strong>Conclusions: </strong>Sudoscan may represent a reliable marker of dysautonomia in ATTRv amyloidosis, displaying a potential role as a marker of both disease severity and progression. It could, therefore, serve as an outcome measure in future clinical trials. In addition, feet ESC seems to be a significant, independent predictor of autonomic dysfunction.</p>\",\"PeriodicalId\":19216,\"journal\":{\"name\":\"Neurology and Therapy\",\"volume\":\" \",\"pages\":\"787-800\"},\"PeriodicalIF\":4.8000,\"publicationDate\":\"2025-06-01\",\"publicationTypes\":\"Journal Article\",\"fieldsOfStudy\":null,\"isOpenAccess\":false,\"openAccessPdf\":\"https://www.ncbi.nlm.nih.gov/pmc/articles/PMC12089546/pdf/\",\"citationCount\":\"0\",\"resultStr\":null,\"platform\":\"Semanticscholar\",\"paperid\":null,\"PeriodicalName\":\"Neurology and Therapy\",\"FirstCategoryId\":\"3\",\"ListUrlMain\":\"https://doi.org/10.1007/s40120-025-00721-1\",\"RegionNum\":3,\"RegionCategory\":\"医学\",\"ArticlePicture\":[],\"TitleCN\":null,\"AbstractTextCN\":null,\"PMCID\":null,\"EPubDate\":\"2025/3/17 0:00:00\",\"PubModel\":\"Epub\",\"JCR\":\"Q1\",\"JCRName\":\"CLINICAL NEUROLOGY\",\"Score\":null,\"Total\":0}","platform":"Semanticscholar","paperid":null,"PeriodicalName":"Neurology and Therapy","FirstCategoryId":"3","ListUrlMain":"https://doi.org/10.1007/s40120-025-00721-1","RegionNum":3,"RegionCategory":"医学","ArticlePicture":[],"TitleCN":null,"AbstractTextCN":null,"PMCID":null,"EPubDate":"2025/3/17 0:00:00","PubModel":"Epub","JCR":"Q1","JCRName":"CLINICAL NEUROLOGY","Score":null,"Total":0}
引用次数: 0

摘要

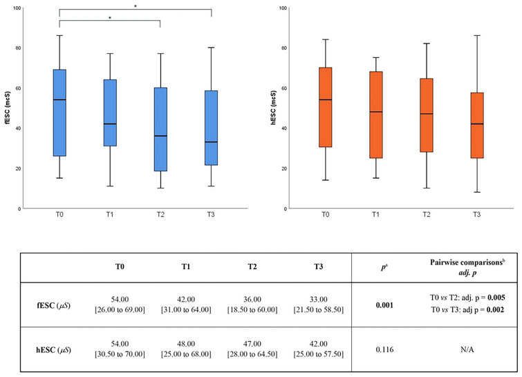
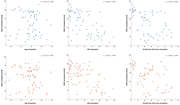
遗传性甲状腺转蛋白淀粉样变性(ATTRv淀粉样变性)是一种严重的常染色体显性遗传病,由淀粉样原纤维的多系统细胞外沉积引起,可导致进行性器官损伤和死亡。Sudoscan是一种可重复使用的工具,用于研究汗腺功能和间接的小神经纤维损伤。本研究的目的是评估来自意大利单一中心的迟发性ATTRv患者队列中Sudoscan测量的皮肤电化学电导(ESC)随时间的变化。此外,我们研究了Sudoscan作为疾病严重程度标记物的作用,以证实先前的文献数据。方法:我们招募了61例具有不同TTR变体的迟发性ATTRv淀粉样变患者,并进行了至少一项临床和仪器评估,包括Sudoscan。研究了与临床数据(包括临床量表和问卷)的相关性,以确认Sudoscan作为疾病严重程度标志的作用。此外,对每年至少进行4次完整评估的患者亚组(n = 23)进行纵向分析,以评估Sudoscan作为疾病进展标志物的作用。结果:在每次年度评估中,通过常用临床量表和问卷评估,双脚和双手的ESC值与疾病持续时间和神经病变严重程度显著相关。与评估年龄无相关性。此外,我们观察到,随着时间的推移,在脚(fESC)测量的ESC值有统计学意义的变化,但在手(hESC)没有。结论:Sudoscan可能是ATTRv淀粉样变性患者自主神经异常的可靠标记,显示出作为疾病严重程度和进展标记的潜在作用。因此,它可以作为未来临床试验的结果衡量标准。此外,足部ESC似乎是自主神经功能障碍的一个重要的独立预测因子。
本文章由计算机程序翻译,如有差异,请以英文原文为准。

Sudoscan in ATTRv Amyloidosis: A Potential Marker of Disease Progression?

Sudoscan in ATTRv Amyloidosis: A Potential Marker of Disease Progression?

Sudoscan in ATTRv Amyloidosis: A Potential Marker of Disease Progression?

Introduction: Hereditary transthyretin amyloidosis (ATTRv amyloidosis) is a severe, autosomal dominant disease resulting from multisystemic extracellular deposition of amyloid fibrils, leading to progressive organ damage and death. Sudoscan is a reproducible tool investigating sweat gland function and, indirectly, small nerve fiber impairment. The aim of this study was to evaluate any changes over time in electrochemical skin conductance (ESC) measured by Sudoscan in a cohort of late-onset patients with ATTRv from a single Italian center. Additionally, we investigated the role of Sudoscan as a marker of disease severity to confirm previous literature data.

Methods: We enrolled 61 patients with a late-onset ATTRv amyloidosis harboring different TTR variants with at least one clinical and instrumental evaluation including Sudoscan. Correlations with clinical data (including both clinical scales and questionnaires) were investigated to confirm the role of Sudoscan as a marker of disease severity. Moreover, a longitudinal analysis was performed in the subgroup of patients with at least 4 complete yearly evaluations (n = 23) to assess the role of Sudoscan as a marker of disease progression.

Results: At each yearly assessment, ESC values from both feet and hands significantly correlated with disease duration and neuropathy severity, as assessed by common clinical scales and questionnaires. No correlation was found with age at evaluation. Moreover, we observed a statistically significant change over time in ESC values measured at the feet (fESC) but not at the hands (hESC).

Conclusions: Sudoscan may represent a reliable marker of dysautonomia in ATTRv amyloidosis, displaying a potential role as a marker of both disease severity and progression. It could, therefore, serve as an outcome measure in future clinical trials. In addition, feet ESC seems to be a significant, independent predictor of autonomic dysfunction.

求助全文
通过发布文献求助,成功后即可免费获取论文全文。 去求助
来源期刊
Neurology and Therapy
Neurology and Therapy CLINICAL NEUROLOGY-
CiteScore
5.40
自引率
8.10%
发文量
103
审稿时长
6 weeks
期刊介绍: Aims and Scope Neurology and Therapy aims to provide reliable and inclusive, rapid publication for all therapy related research for neurological indications, supporting the timely dissemination of research with a global reach, to help advance scientific discovery and support clinical practice. Neurology and Therapy is an international, open access, peer reviewed, rapid publication journal dedicated to the publication of high-quality clinical (all phases), observational, real-world and health outcomes research around the discovery, development, and use of neurological and psychiatric therapies, (also covering surgery and devices). Studies relating to diagnosis, pharmacoeconomics, public health, quality of life, and patient care, management, and education are also welcomed. The journal is of interest to a broad audience of healthcare professionals and publishes original research, reviews, case reports, trial designs, communications and letters. The journal is read by a global audience and receives submissions from all over the world. Neurology and Therapy will consider all scientifically sound research be it positive, confirmatory or negative data. Submissions are welcomed whether they relate to an international and/or a country-specific audience, something that is crucially important when researchers are trying to target more specific patient populations. This inclusive approach allows the journal to assist in the dissemination of all scientifically and ethically sound research. Rapid Publication The journal’s rapid publication timelines aim for a peer review decision within 2 weeks of submission. If an article is accepted, it will be published online 3-4 weeks from acceptance. These rapid timelines are achieved through the combination of a dedicated in-house editorial team, who closely manage article workflow, and an extensive Editorial and Advisory Board who assist with rapid peer review. This allows the journal to support the rapid dissemination of research, whilst still providing robust peer review. Combined with the journal’s open access model, this allows for the rapid and efficient communication of the latest research and reviews to support scientific discovery and clinical practice. Open Access All articles published by Neurology and Therapy are open access. Personal Service The journal’s dedicated in-house editorial team offer a personal “concierge service” meaning that authors will always have a personal point of contact able to update them on the status of their manuscript. The editorial team check all manuscripts to ensure that articles conform to the most recent COPE and ICMJE publishing guidelines. This supports the publication of ethically sound and transparent research. We also encourage pre-submission enquiries and are always happy to provide a confidential assessment of manuscripts. Digital Features and Plain Language Summaries Neurology and Therapy offers a range of additional features designed to increase the visibility, readership and educational value of the journal’s content. Each article is accompanied by key summary points, giving a time-efficient overview of the content to a wide readership. Articles may be accompanied by plain language summaries to assist readers who have some knowledge of, but not in-depth expertise in, the area to understand the scientific content and overall implications of the article. The journal also provides the option to include various types of digital features including animated abstracts, video abstracts, slide decks, audio slides, instructional videos, infographics, podcasts and animations. All additional features are peer reviewed to the same high standard as the article itself. If you consider that your paper would benefit from the inclusion of a digital feature, please let us know. Our editorial team are able to create high-quality slide decks and infographics in-house, and video abstracts through our partner Research Square, and would be happy to assist in any way we can. For further information about digital features, please contact the journal editor (see ‘Contact the Journal’ for email address), and see the ‘Guidelines for digital features and plain language summaries’ document under ‘Submission guidelines’. For examples of digital features please visit our showcase page https://springerhealthcare.com/expertise/publishing-digital-features/ Publication Fees Upon acceptance of an article, authors will be required to pay the mandatory Rapid Service Fee of €5250/$6000/£4300. The journal will consider fee discounts and waivers for developing countries and this is decided on a case-by-case basis. Peer Review Process Upon submission, manuscripts are assessed by the editorial team to ensure they fit within the aims and scope of the journal and are also checked for plagiarism. All suitable submissions are then subject to a comprehensive single-blind peer review. Reviewers are selected based on their relevant expertise and publication history in the subject area. The journal has an extensive pool of editorial and advisory board members who have been selected to assist with peer review based on the afore-mentioned criteria. At least two extensive reviews are required to make the editorial decision, with the exception of some article types such as Commentaries, Editorials and Letters which are generally reviewed by one member of the Editorial Board. Where reviews conflict, an Editorial Board Member will be contacted for further advice and a presiding decision. Manuscripts are then either accepted, rejected or authors are required to make major or minor revisions (both reviewer comments and editorial comments may need to be addressed. Once a revised manuscript is re-submitted, it is assessed along with the responses to reviewer comments and if it has been adequately revised, it will be accepted for publication. Accepted manuscripts are then copyedited and typeset by the production team before online publication. Appeals against decisions following peer review are considered on a case-by-case basis and should be sent to the journal editor, and authors are welcome to make rebuttals against individual reviewer comments, if appropriate. Preprints We encourage posting of preprints of primary research manuscripts on preprint servers, authors'' or institutional websites, and open communications between researchers whether on community preprint servers or preprint commenting platforms. Posting of preprints is not considered prior publication and will not jeopardize consideration in our journals. Please see here for further information on preprint sharing: https://www.springer.com/gp/authors-editors/journal-author/journal-author-helpdesk/submission/1302#c16721550 Copyright Neurology and Therapy is published under the Creative Commons Attribution-Noncommercial License, which allows users to read, copy, distribute, and make derivative works for non-commercial purposes from the material, as long as the author of the original work is cited. The author assigns the exclusive right to any commercial use of the article to Springer. For more information about the Creative Commons Attribution-Noncommercial License, click here: http://creativecommons.org/licenses/by-nc/4.0. Contact For more information about the journal, including pre-submission enquiries, please contact managing editor Lydia Alborn at lydia.alborn@springer.com.
×
引用
GB/T 7714-2015
复制
MLA
复制
APA
复制
导出至
BibTeX EndNote RefMan NoteFirst NoteExpress
×
提示
您的信息不完整,为了账户安全,请先补充。
现在去补充
×
提示
您因"违规操作"
具体请查看互助需知
我知道了
×
提示
确定
请完成安全验证×
copy
已复制链接
快去分享给好友吧!
我知道了
右上角分享
点击右上角分享
0
联系我们:info@booksci.cn Book学术提供免费学术资源搜索服务,方便国内外学者检索中英文文献。致力于提供最便捷和优质的服务体验。 Copyright © 2023 布克学术 All rights reserved.
京ICP备2023020795号-1
ghs 京公网安备 11010802042870号
Book学术文献互助
Book学术文献互助群
群 号:604180095
Book学术官方微信