与心血管风险和血管老化标志物相关的手指光体积脉搏波夜间僵硬指数。

IF 1.5 4区 医学 Q3 CARDIAC & CARDIOVASCULAR SYSTEMS
Heart and Vessels Pub Date : 2025-10-01 Epub Date: 2025-03-14 DOI:10.1007/s00380-025-02537-3
Henrik Hellqvist, Hermine Rietz, Ludger Grote, Jan Hedner, Dirk Sommermeyer, Thomas Kahan, Jonas Spaak
{"title":"与心血管风险和血管老化标志物相关的手指光体积脉搏波夜间僵硬指数。","authors":"Henrik Hellqvist, Hermine Rietz, Ludger Grote, Jan Hedner, Dirk Sommermeyer, Thomas Kahan, Jonas Spaak","doi":"10.1007/s00380-025-02537-3","DOIUrl":null,"url":null,"abstract":"<p><p>Wearable technology, such as photoplethysmography (PPG), enables easily accessible individual health data with the potential for improved risk assessment. We hypothesized that the overnight stiffness index (OSI), derived from nocturnal finger PPG, could be used to assess cardiovascular risk and vascular ageing. Subjects with confirmed or suspected hypertension (n = 79, 56 males) underwent simultaneous ambulatory blood pressure monitoring (ABPM) and overnight sleep polygraphy with a continuous PPG registration. Overnight PPG-based pulse propagation time was used to calculate OSI. Associations between OSI and markers of cardiovascular risk, blood pressure, and indices of arterial stiffness, as indicators of vascular ageing, were assessed. Subjects were stratified into low and high OSI (according to median, 10.9 m/s). SCORE2/SCORE2-OP and Framingham risk scores were calculated. The high OSI group had higher SCORE2/SCORE2-OP (9.5 [5.5;12.5] vs 5.0 [4.0;6.5]), and OSI correlated with SCORE2/SCORE2-OP and Framingham risk score (r<sub>s</sub> = 0.40 and r<sub>s</sub> = 0.41; both P < 0.01). Indices of arterial stiffness were increased in the high OSI group including ABPM awake and asleep pulse pressures (59 ± 14 vs 50 ± 9 mmHg, P < 0.01, and 54 ± 14 vs 45 ± 7 mmHg, P < 0.001), and ambulatory arterial stiffness index (0.47 ± 0.12 vs 0.37 ± 0.11, P < 0.001), respectively. OSI correlated with 24-h and asleep pulse pressure also after adjusting for confounders. OSI was related to systolic ABPM (awake r = 0.42, asleep r = 0.55; both P < 0.001) and diastolic ABPM (asleep r = 0.36, P < 0.01). OSI, a novel PPG-based measure of nocturnal arterial stiffness, correlates with established cardiovascular risk scores and with blood pressure-derived indices of vascular ageing. This simple method may facilitate cardiovascular risk assessment using readily available medical and wearable consumer devices.</p>","PeriodicalId":12940,"journal":{"name":"Heart and Vessels","volume":" ","pages":"895-904"},"PeriodicalIF":1.5000,"publicationDate":"2025-10-01","publicationTypes":"Journal Article","fieldsOfStudy":null,"isOpenAccess":false,"openAccessPdf":"https://www.ncbi.nlm.nih.gov/pmc/articles/PMC12464147/pdf/","citationCount":"0","resultStr":"{\"title\":\"Overnight stiffness index from finger photoplethysmography in relation to markers of cardiovascular risk and vascular ageing.\",\"authors\":\"Henrik Hellqvist, Hermine Rietz, Ludger Grote, Jan Hedner, Dirk Sommermeyer, Thomas Kahan, Jonas Spaak\",\"doi\":\"10.1007/s00380-025-02537-3\",\"DOIUrl\":null,\"url\":null,\"abstract\":\"<p><p>Wearable technology, such as photoplethysmography (PPG), enables easily accessible individual health data with the potential for improved risk assessment. We hypothesized that the overnight stiffness index (OSI), derived from nocturnal finger PPG, could be used to assess cardiovascular risk and vascular ageing. Subjects with confirmed or suspected hypertension (n = 79, 56 males) underwent simultaneous ambulatory blood pressure monitoring (ABPM) and overnight sleep polygraphy with a continuous PPG registration. Overnight PPG-based pulse propagation time was used to calculate OSI. Associations between OSI and markers of cardiovascular risk, blood pressure, and indices of arterial stiffness, as indicators of vascular ageing, were assessed. Subjects were stratified into low and high OSI (according to median, 10.9 m/s). SCORE2/SCORE2-OP and Framingham risk scores were calculated. The high OSI group had higher SCORE2/SCORE2-OP (9.5 [5.5;12.5] vs 5.0 [4.0;6.5]), and OSI correlated with SCORE2/SCORE2-OP and Framingham risk score (r<sub>s</sub> = 0.40 and r<sub>s</sub> = 0.41; both P < 0.01). Indices of arterial stiffness were increased in the high OSI group including ABPM awake and asleep pulse pressures (59 ± 14 vs 50 ± 9 mmHg, P < 0.01, and 54 ± 14 vs 45 ± 7 mmHg, P < 0.001), and ambulatory arterial stiffness index (0.47 ± 0.12 vs 0.37 ± 0.11, P < 0.001), respectively. OSI correlated with 24-h and asleep pulse pressure also after adjusting for confounders. OSI was related to systolic ABPM (awake r = 0.42, asleep r = 0.55; both P < 0.001) and diastolic ABPM (asleep r = 0.36, P < 0.01). OSI, a novel PPG-based measure of nocturnal arterial stiffness, correlates with established cardiovascular risk scores and with blood pressure-derived indices of vascular ageing. This simple method may facilitate cardiovascular risk assessment using readily available medical and wearable consumer devices.</p>\",\"PeriodicalId\":12940,\"journal\":{\"name\":\"Heart and Vessels\",\"volume\":\" \",\"pages\":\"895-904\"},\"PeriodicalIF\":1.5000,\"publicationDate\":\"2025-10-01\",\"publicationTypes\":\"Journal Article\",\"fieldsOfStudy\":null,\"isOpenAccess\":false,\"openAccessPdf\":\"https://www.ncbi.nlm.nih.gov/pmc/articles/PMC12464147/pdf/\",\"citationCount\":\"0\",\"resultStr\":null,\"platform\":\"Semanticscholar\",\"paperid\":null,\"PeriodicalName\":\"Heart and Vessels\",\"FirstCategoryId\":\"3\",\"ListUrlMain\":\"https://doi.org/10.1007/s00380-025-02537-3\",\"RegionNum\":4,\"RegionCategory\":\"医学\",\"ArticlePicture\":[],\"TitleCN\":null,\"AbstractTextCN\":null,\"PMCID\":null,\"EPubDate\":\"2025/3/14 0:00:00\",\"PubModel\":\"Epub\",\"JCR\":\"Q3\",\"JCRName\":\"CARDIAC & CARDIOVASCULAR SYSTEMS\",\"Score\":null,\"Total\":0}","platform":"Semanticscholar","paperid":null,"PeriodicalName":"Heart and Vessels","FirstCategoryId":"3","ListUrlMain":"https://doi.org/10.1007/s00380-025-02537-3","RegionNum":4,"RegionCategory":"医学","ArticlePicture":[],"TitleCN":null,"AbstractTextCN":null,"PMCID":null,"EPubDate":"2025/3/14 0:00:00","PubModel":"Epub","JCR":"Q3","JCRName":"CARDIAC & CARDIOVASCULAR SYSTEMS","Score":null,"Total":0}
引用次数: 0

摘要

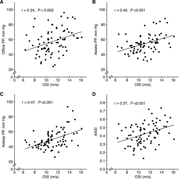
可穿戴技术,如光电体积脉搏描记仪(PPG),使个人健康数据易于获取,有可能改善风险评估。我们假设,由夜间手指PPG得出的夜间僵硬指数(OSI)可用于评估心血管风险和血管老化。确诊或疑似高血压的受试者(n = 79,56名男性)同时进行动态血压监测(ABPM)和夜间睡眠测谎,并连续进行PPG登记。采用过夜ppg脉冲传播时间计算OSI。评估了OSI与心血管风险标志物、血压和动脉僵硬指数(作为血管老化的指标)之间的关联。将受试者分为低OSI和高OSI两组(根据中位数10.9 m/s)。计算SCORE2/SCORE2- op和Framingham风险评分。高OSI组SCORE2/SCORE2- op较高(9.5 [5.5;12.5]vs 5.0[4.0;6.5]),且OSI与SCORE2/SCORE2- op和Framingham风险评分相关(rs = 0.40和rs = 0.41;两个便士
本文章由计算机程序翻译,如有差异,请以英文原文为准。

Overnight stiffness index from finger photoplethysmography in relation to markers of cardiovascular risk and vascular ageing.

Overnight stiffness index from finger photoplethysmography in relation to markers of cardiovascular risk and vascular ageing.

Overnight stiffness index from finger photoplethysmography in relation to markers of cardiovascular risk and vascular ageing.

Overnight stiffness index from finger photoplethysmography in relation to markers of cardiovascular risk and vascular ageing.

Wearable technology, such as photoplethysmography (PPG), enables easily accessible individual health data with the potential for improved risk assessment. We hypothesized that the overnight stiffness index (OSI), derived from nocturnal finger PPG, could be used to assess cardiovascular risk and vascular ageing. Subjects with confirmed or suspected hypertension (n = 79, 56 males) underwent simultaneous ambulatory blood pressure monitoring (ABPM) and overnight sleep polygraphy with a continuous PPG registration. Overnight PPG-based pulse propagation time was used to calculate OSI. Associations between OSI and markers of cardiovascular risk, blood pressure, and indices of arterial stiffness, as indicators of vascular ageing, were assessed. Subjects were stratified into low and high OSI (according to median, 10.9 m/s). SCORE2/SCORE2-OP and Framingham risk scores were calculated. The high OSI group had higher SCORE2/SCORE2-OP (9.5 [5.5;12.5] vs 5.0 [4.0;6.5]), and OSI correlated with SCORE2/SCORE2-OP and Framingham risk score (rs = 0.40 and rs = 0.41; both P < 0.01). Indices of arterial stiffness were increased in the high OSI group including ABPM awake and asleep pulse pressures (59 ± 14 vs 50 ± 9 mmHg, P < 0.01, and 54 ± 14 vs 45 ± 7 mmHg, P < 0.001), and ambulatory arterial stiffness index (0.47 ± 0.12 vs 0.37 ± 0.11, P < 0.001), respectively. OSI correlated with 24-h and asleep pulse pressure also after adjusting for confounders. OSI was related to systolic ABPM (awake r = 0.42, asleep r = 0.55; both P < 0.001) and diastolic ABPM (asleep r = 0.36, P < 0.01). OSI, a novel PPG-based measure of nocturnal arterial stiffness, correlates with established cardiovascular risk scores and with blood pressure-derived indices of vascular ageing. This simple method may facilitate cardiovascular risk assessment using readily available medical and wearable consumer devices.

求助全文
通过发布文献求助,成功后即可免费获取论文全文。 去求助
来源期刊
Heart and Vessels
Heart and Vessels 医学-外周血管病
CiteScore
3.10
自引率
13.30%
发文量
211
审稿时长
2 months
期刊介绍: Heart and Vessels is an English-language journal that provides a forum of original ideas, excellent methods, and fascinating techniques on cardiovascular disease fields. All papers submitted for publication are evaluated only with regard to scientific quality and relevance to the heart and vessels. Contributions from those engaged in practical medicine, as well as from those involved in basic research, are welcomed.
×
引用
GB/T 7714-2015
复制
MLA
复制
APA
复制
导出至
BibTeX EndNote RefMan NoteFirst NoteExpress
×
提示
您的信息不完整,为了账户安全,请先补充。
现在去补充
×
提示
您因"违规操作"
具体请查看互助需知
我知道了
×
提示
确定
请完成安全验证×
copy
已复制链接
快去分享给好友吧!
我知道了
右上角分享
点击右上角分享
0
联系我们:info@booksci.cn Book学术提供免费学术资源搜索服务,方便国内外学者检索中英文文献。致力于提供最便捷和优质的服务体验。 Copyright © 2023 布克学术 All rights reserved.
京ICP备2023020795号-1
ghs 京公网安备 11010802042870号
Book学术文献互助
Book学术文献互助群
群 号:604180095
Book学术官方微信