胃癌轻脑膜癌的研究进展。

IF 5.1 1区 医学 Q1 GASTROENTEROLOGY & HEPATOLOGY
Gastric Cancer Pub Date : 2025-05-01 Epub Date: 2025-03-14 DOI:10.1007/s10120-025-01597-8
Simran Arjani, Hyein Jeon, Bhawneet Chadha, Huda Yousuf, Enrico Castellucci
{"title":"胃癌轻脑膜癌的研究进展。","authors":"Simran Arjani, Hyein Jeon, Bhawneet Chadha, Huda Yousuf, Enrico Castellucci","doi":"10.1007/s10120-025-01597-8","DOIUrl":null,"url":null,"abstract":"<p><p>Gastric cancer is the fifth most common cancer worldwide and leptomeningeal carcinomatosis (LM) occurs in 0.06% of gastric cancers. As such, trials are difficult to power and quantitative analyses difficult to standardize. We composed a review and analysis of 47 recent cases to be used as a comprehensive resource for an oncologist faced with managing this highly morbid, rapidly fatal disease. Gold-standard of diagnosis of LM is through cerebral spinal fluid (CSF) cytology; MRI is the preferred imaging modality to identify LM. However, repeated lumbar punctures and imaging studies are often required to establish diagnosis. Negative results do not rule out LM. Treatment includes radiation and intrathecal chemotherapy, most commonly with methotrexate. Systemic treatment with chemotherapy and immunotherapy is also used. Median survival was 2 months. Intrathecal methotrexate was most commonly dosed at 10-12 mg and treatment continued till symptom resolution, serial lumbar punctures with negative cytology, decrease and stabilization of CSF carcinoembryonic antigen (CEA) levels, progression of disease, or poor functional status. The maximum survival was 12 months. The results of this review indicate that suspicion for leptomeningeal disease should be high in any patient with gastric malignancy or with symptoms consistent with malignancy. Treatment on a biweekly to bi-monthly basis and the addition of systemic therapy to intrathecal therapy should be studied in a matched prospective manner. And in the absence of this information, treatment with at least intrathecal chemotherapy and radiation therapy should be considered in those with a performance status conducive to continued treatment.</p>","PeriodicalId":12684,"journal":{"name":"Gastric Cancer","volume":" ","pages":"311-325"},"PeriodicalIF":5.1000,"publicationDate":"2025-05-01","publicationTypes":"Journal Article","fieldsOfStudy":null,"isOpenAccess":false,"openAccessPdf":"https://www.ncbi.nlm.nih.gov/pmc/articles/PMC11993494/pdf/","citationCount":"0","resultStr":"{\"title\":\"Leptomeningeal carcinomatosis in gastric cancer: A Review.\",\"authors\":\"Simran Arjani, Hyein Jeon, Bhawneet Chadha, Huda Yousuf, Enrico Castellucci\",\"doi\":\"10.1007/s10120-025-01597-8\",\"DOIUrl\":null,\"url\":null,\"abstract\":\"<p><p>Gastric cancer is the fifth most common cancer worldwide and leptomeningeal carcinomatosis (LM) occurs in 0.06% of gastric cancers. As such, trials are difficult to power and quantitative analyses difficult to standardize. We composed a review and analysis of 47 recent cases to be used as a comprehensive resource for an oncologist faced with managing this highly morbid, rapidly fatal disease. Gold-standard of diagnosis of LM is through cerebral spinal fluid (CSF) cytology; MRI is the preferred imaging modality to identify LM. However, repeated lumbar punctures and imaging studies are often required to establish diagnosis. Negative results do not rule out LM. Treatment includes radiation and intrathecal chemotherapy, most commonly with methotrexate. Systemic treatment with chemotherapy and immunotherapy is also used. Median survival was 2 months. Intrathecal methotrexate was most commonly dosed at 10-12 mg and treatment continued till symptom resolution, serial lumbar punctures with negative cytology, decrease and stabilization of CSF carcinoembryonic antigen (CEA) levels, progression of disease, or poor functional status. The maximum survival was 12 months. The results of this review indicate that suspicion for leptomeningeal disease should be high in any patient with gastric malignancy or with symptoms consistent with malignancy. Treatment on a biweekly to bi-monthly basis and the addition of systemic therapy to intrathecal therapy should be studied in a matched prospective manner. And in the absence of this information, treatment with at least intrathecal chemotherapy and radiation therapy should be considered in those with a performance status conducive to continued treatment.</p>\",\"PeriodicalId\":12684,\"journal\":{\"name\":\"Gastric Cancer\",\"volume\":\" \",\"pages\":\"311-325\"},\"PeriodicalIF\":5.1000,\"publicationDate\":\"2025-05-01\",\"publicationTypes\":\"Journal Article\",\"fieldsOfStudy\":null,\"isOpenAccess\":false,\"openAccessPdf\":\"https://www.ncbi.nlm.nih.gov/pmc/articles/PMC11993494/pdf/\",\"citationCount\":\"0\",\"resultStr\":null,\"platform\":\"Semanticscholar\",\"paperid\":null,\"PeriodicalName\":\"Gastric Cancer\",\"FirstCategoryId\":\"3\",\"ListUrlMain\":\"https://doi.org/10.1007/s10120-025-01597-8\",\"RegionNum\":1,\"RegionCategory\":\"医学\",\"ArticlePicture\":[],\"TitleCN\":null,\"AbstractTextCN\":null,\"PMCID\":null,\"EPubDate\":\"2025/3/14 0:00:00\",\"PubModel\":\"Epub\",\"JCR\":\"Q1\",\"JCRName\":\"GASTROENTEROLOGY & HEPATOLOGY\",\"Score\":null,\"Total\":0}","platform":"Semanticscholar","paperid":null,"PeriodicalName":"Gastric Cancer","FirstCategoryId":"3","ListUrlMain":"https://doi.org/10.1007/s10120-025-01597-8","RegionNum":1,"RegionCategory":"医学","ArticlePicture":[],"TitleCN":null,"AbstractTextCN":null,"PMCID":null,"EPubDate":"2025/3/14 0:00:00","PubModel":"Epub","JCR":"Q1","JCRName":"GASTROENTEROLOGY & HEPATOLOGY","Score":null,"Total":0}
引用次数: 0

摘要

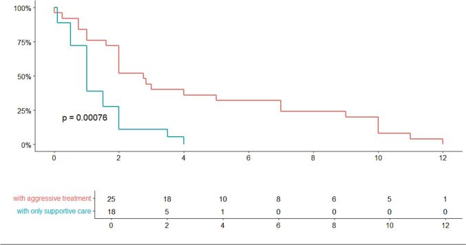
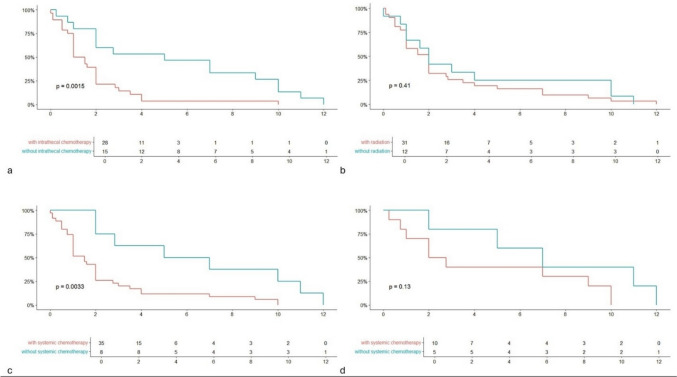
胃癌是世界上第五大常见癌症,0.06%的胃癌发生轻脑膜癌(LM)。正因为如此,试验很难进行,定量分析也很难标准化。我们对最近的47例病例进行了回顾和分析,作为肿瘤学家面对这种高度病态、快速致命疾病管理的综合资源。诊断LM的金标准是通过脑脊液细胞学检查;MRI是鉴别LM的首选成像方式。然而,经常需要反复腰椎穿刺和影像学检查来确定诊断。阴性结果不排除LM。治疗包括放疗和鞘内化疗,最常用的是甲氨蝶呤。也使用全身化疗和免疫治疗。中位生存期为2个月。鞘内甲氨蝶呤最常见的剂量为10- 12mg,持续治疗直至症状缓解,连续腰椎穿刺,细胞学阴性,脑脊液癌胚抗原(CEA)水平下降并稳定,疾病进展或功能状态不佳。最大生存期为12个月。本综述的结果表明,任何伴有胃恶性肿瘤或症状与恶性肿瘤一致的患者都应高度怀疑是轻脑膜疾病。应以匹配的前瞻性方式研究双周至双月治疗和鞘内治疗的全身治疗。在缺乏这些信息的情况下,对于那些有能力继续治疗的患者,至少应该考虑鞘内化疗和放射治疗。
本文章由计算机程序翻译,如有差异,请以英文原文为准。

Leptomeningeal carcinomatosis in gastric cancer: A Review.

Leptomeningeal carcinomatosis in gastric cancer: A Review.

Leptomeningeal carcinomatosis in gastric cancer: A Review.

Leptomeningeal carcinomatosis in gastric cancer: A Review.

Gastric cancer is the fifth most common cancer worldwide and leptomeningeal carcinomatosis (LM) occurs in 0.06% of gastric cancers. As such, trials are difficult to power and quantitative analyses difficult to standardize. We composed a review and analysis of 47 recent cases to be used as a comprehensive resource for an oncologist faced with managing this highly morbid, rapidly fatal disease. Gold-standard of diagnosis of LM is through cerebral spinal fluid (CSF) cytology; MRI is the preferred imaging modality to identify LM. However, repeated lumbar punctures and imaging studies are often required to establish diagnosis. Negative results do not rule out LM. Treatment includes radiation and intrathecal chemotherapy, most commonly with methotrexate. Systemic treatment with chemotherapy and immunotherapy is also used. Median survival was 2 months. Intrathecal methotrexate was most commonly dosed at 10-12 mg and treatment continued till symptom resolution, serial lumbar punctures with negative cytology, decrease and stabilization of CSF carcinoembryonic antigen (CEA) levels, progression of disease, or poor functional status. The maximum survival was 12 months. The results of this review indicate that suspicion for leptomeningeal disease should be high in any patient with gastric malignancy or with symptoms consistent with malignancy. Treatment on a biweekly to bi-monthly basis and the addition of systemic therapy to intrathecal therapy should be studied in a matched prospective manner. And in the absence of this information, treatment with at least intrathecal chemotherapy and radiation therapy should be considered in those with a performance status conducive to continued treatment.

求助全文
通过发布文献求助,成功后即可免费获取论文全文。 去求助
来源期刊
Gastric Cancer
Gastric Cancer 医学-胃肠肝病学
CiteScore
14.70
自引率
2.70%
发文量
80
审稿时长
6-12 weeks
期刊介绍: Gastric Cancer is an esteemed global forum that focuses on various aspects of gastric cancer research, treatment, and biology worldwide. The journal promotes a diverse range of content, including original articles, case reports, short communications, and technical notes. It also welcomes Letters to the Editor discussing published articles or sharing viewpoints on gastric cancer topics. Review articles are predominantly sought after by the Editor, ensuring comprehensive coverage of the field. With a dedicated and knowledgeable editorial team, the journal is committed to providing exceptional support and ensuring high levels of author satisfaction. In fact, over 90% of published authors have expressed their intent to publish again in our esteemed journal.
×
引用
GB/T 7714-2015
复制
MLA
复制
APA
复制
导出至
BibTeX EndNote RefMan NoteFirst NoteExpress
×
提示
您的信息不完整,为了账户安全,请先补充。
现在去补充
×
提示
您因"违规操作"
具体请查看互助需知
我知道了
×
提示
确定
请完成安全验证×
copy
已复制链接
快去分享给好友吧!
我知道了
右上角分享
点击右上角分享
0
联系我们:info@booksci.cn Book学术提供免费学术资源搜索服务,方便国内外学者检索中英文文献。致力于提供最便捷和优质的服务体验。 Copyright © 2023 布克学术 All rights reserved.
京ICP备2023020795号-1
ghs 京公网安备 11010802042870号
Book学术文献互助
Book学术文献互助群
群 号:604180095
Book学术官方微信