医学教育严肃游戏中游戏设计元素“聊天机器人”的理论背景

IF 4.7 Q2 HEALTH CARE SCIENCES & SERVICES
Alexandra Aster, Arietta Lotz, Tobias Raupach
{"title":"医学教育严肃游戏中游戏设计元素“聊天机器人”的理论背景","authors":"Alexandra Aster, Arietta Lotz, Tobias Raupach","doi":"10.1186/s41077-025-00341-7","DOIUrl":null,"url":null,"abstract":"<p><strong>Background: </strong>The use of virtual patients enables learning medical history taking in a safe environment without endangering patients' safety. The use of a chatbot embedded in serious games provides one way to interact with virtual patients. In this sense, the chatbot can be understood as a game design element, whose implementation should be theory driven and evidence based. Since not all game design elements are already connected to theories, this study aimed to evaluate whether the game design element chatbot addresses the need for autonomy rooted in the self-determination theory.</p><p><strong>Method: </strong>A cross-sectional study was conducted to compare two distinct chat systems integrated in serious games with one system being an open chatbot and the other system being a constrained chat system. Two randomized groups of medical students at a German medical school played one of two serious games each representing an emergency ward. The data collected included both objective data in terms of students' question entries and subjective data on perceived autonomy.</p><p><strong>Results: </strong>Students using the open chatbot generally asked significantly more questions and diagnosed significantly more patient cases correctly compared to students using a constrained chat system. However, they also asked more questions not directly related to the specific patient case. Subjective autonomy did not significantly differ between both chat systems.</p><p><strong>Conclusion: </strong>The results suggest that an open chatbot encourages students' free exploration. Increased exploration aligns with the need for autonomy, as students experience freedom of choice during the activity in terms of posing their own questions. Nevertheless, the students did not necessarily interpret the opportunity to explore freely as autonomy since their subjectively experienced autonomy did not differ between both systems.</p>","PeriodicalId":72108,"journal":{"name":"Advances in simulation (London, England)","volume":"10 1","pages":"10"},"PeriodicalIF":4.7000,"publicationDate":"2025-03-12","publicationTypes":"Journal Article","fieldsOfStudy":null,"isOpenAccess":false,"openAccessPdf":"https://www.ncbi.nlm.nih.gov/pmc/articles/PMC11905647/pdf/","citationCount":"0","resultStr":"{\"title\":\"Theoretical background of the game design element \\\"chatbot\\\" in serious games for medical education.\",\"authors\":\"Alexandra Aster, Arietta Lotz, Tobias Raupach\",\"doi\":\"10.1186/s41077-025-00341-7\",\"DOIUrl\":null,\"url\":null,\"abstract\":\"<p><strong>Background: </strong>The use of virtual patients enables learning medical history taking in a safe environment without endangering patients' safety. The use of a chatbot embedded in serious games provides one way to interact with virtual patients. In this sense, the chatbot can be understood as a game design element, whose implementation should be theory driven and evidence based. Since not all game design elements are already connected to theories, this study aimed to evaluate whether the game design element chatbot addresses the need for autonomy rooted in the self-determination theory.</p><p><strong>Method: </strong>A cross-sectional study was conducted to compare two distinct chat systems integrated in serious games with one system being an open chatbot and the other system being a constrained chat system. Two randomized groups of medical students at a German medical school played one of two serious games each representing an emergency ward. The data collected included both objective data in terms of students' question entries and subjective data on perceived autonomy.</p><p><strong>Results: </strong>Students using the open chatbot generally asked significantly more questions and diagnosed significantly more patient cases correctly compared to students using a constrained chat system. However, they also asked more questions not directly related to the specific patient case. Subjective autonomy did not significantly differ between both chat systems.</p><p><strong>Conclusion: </strong>The results suggest that an open chatbot encourages students' free exploration. Increased exploration aligns with the need for autonomy, as students experience freedom of choice during the activity in terms of posing their own questions. Nevertheless, the students did not necessarily interpret the opportunity to explore freely as autonomy since their subjectively experienced autonomy did not differ between both systems.</p>\",\"PeriodicalId\":72108,\"journal\":{\"name\":\"Advances in simulation (London, England)\",\"volume\":\"10 1\",\"pages\":\"10\"},\"PeriodicalIF\":4.7000,\"publicationDate\":\"2025-03-12\",\"publicationTypes\":\"Journal Article\",\"fieldsOfStudy\":null,\"isOpenAccess\":false,\"openAccessPdf\":\"https://www.ncbi.nlm.nih.gov/pmc/articles/PMC11905647/pdf/\",\"citationCount\":\"0\",\"resultStr\":null,\"platform\":\"Semanticscholar\",\"paperid\":null,\"PeriodicalName\":\"Advances in simulation (London, England)\",\"FirstCategoryId\":\"1085\",\"ListUrlMain\":\"https://doi.org/10.1186/s41077-025-00341-7\",\"RegionNum\":0,\"RegionCategory\":null,\"ArticlePicture\":[],\"TitleCN\":null,\"AbstractTextCN\":null,\"PMCID\":null,\"EPubDate\":\"\",\"PubModel\":\"\",\"JCR\":\"Q2\",\"JCRName\":\"HEALTH CARE SCIENCES & SERVICES\",\"Score\":null,\"Total\":0}","platform":"Semanticscholar","paperid":null,"PeriodicalName":"Advances in simulation (London, England)","FirstCategoryId":"1085","ListUrlMain":"https://doi.org/10.1186/s41077-025-00341-7","RegionNum":0,"RegionCategory":null,"ArticlePicture":[],"TitleCN":null,"AbstractTextCN":null,"PMCID":null,"EPubDate":"","PubModel":"","JCR":"Q2","JCRName":"HEALTH CARE SCIENCES & SERVICES","Score":null,"Total":0}
引用次数: 0

摘要

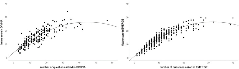
背景:使用虚拟患者可以在安全的环境中学习病史,而不会危及患者的安全。在严肃游戏中嵌入聊天机器人提供了一种与虚拟病人互动的方式。从这个意义上说,聊天机器人可以被理解为一种游戏设计元素,其执行应该是理论驱动和基于证据的。由于并非所有游戏设计元素都与理论相关联,因此本研究旨在评估游戏设计元素聊天机器人是否满足了基于自决理论的自主性需求。方法:进行了一项横断面研究,比较了两种不同的聊天系统集成在严肃游戏中,一个系统是一个开放的聊天机器人,另一个系统是一个受约束的聊天系统。德国一所医学院的两组医学院学生随机分成两组,每组玩一个急诊室的严肃游戏。收集的数据包括学生问题条目的客观数据和感知自主性的主观数据。结果:与使用受限聊天系统的学生相比,使用开放式聊天机器人的学生通常会提出更多的问题,并正确诊断出更多的病例。然而,他们也问了更多与具体病例没有直接关系的问题。主观自主性在两种聊天系统之间没有显著差异。结论:开放式聊天机器人鼓励学生自由探索。增加探索与自主性的需求相一致,因为学生在活动中可以自由选择提出自己的问题。然而,学生们并不一定会把自由探索的机会理解为自主,因为他们主观体验的自主在两种制度之间并没有区别。
本文章由计算机程序翻译,如有差异,请以英文原文为准。

Theoretical background of the game design element "chatbot" in serious games for medical education.

Theoretical background of the game design element "chatbot" in serious games for medical education.

Theoretical background of the game design element "chatbot" in serious games for medical education.

Background: The use of virtual patients enables learning medical history taking in a safe environment without endangering patients' safety. The use of a chatbot embedded in serious games provides one way to interact with virtual patients. In this sense, the chatbot can be understood as a game design element, whose implementation should be theory driven and evidence based. Since not all game design elements are already connected to theories, this study aimed to evaluate whether the game design element chatbot addresses the need for autonomy rooted in the self-determination theory.

Method: A cross-sectional study was conducted to compare two distinct chat systems integrated in serious games with one system being an open chatbot and the other system being a constrained chat system. Two randomized groups of medical students at a German medical school played one of two serious games each representing an emergency ward. The data collected included both objective data in terms of students' question entries and subjective data on perceived autonomy.

Results: Students using the open chatbot generally asked significantly more questions and diagnosed significantly more patient cases correctly compared to students using a constrained chat system. However, they also asked more questions not directly related to the specific patient case. Subjective autonomy did not significantly differ between both chat systems.

Conclusion: The results suggest that an open chatbot encourages students' free exploration. Increased exploration aligns with the need for autonomy, as students experience freedom of choice during the activity in terms of posing their own questions. Nevertheless, the students did not necessarily interpret the opportunity to explore freely as autonomy since their subjectively experienced autonomy did not differ between both systems.

求助全文
通过发布文献求助,成功后即可免费获取论文全文。 去求助
来源期刊
CiteScore
5.70
自引率
0.00%
发文量
0
审稿时长
12 weeks
×
引用
GB/T 7714-2015
复制
MLA
复制
APA
复制
导出至
BibTeX EndNote RefMan NoteFirst NoteExpress
×
提示
您的信息不完整,为了账户安全,请先补充。
现在去补充
×
提示
您因"违规操作"
具体请查看互助需知
我知道了
×
提示
确定
请完成安全验证×
copy
已复制链接
快去分享给好友吧!
我知道了
右上角分享
点击右上角分享
0
联系我们:info@booksci.cn Book学术提供免费学术资源搜索服务,方便国内外学者检索中英文文献。致力于提供最便捷和优质的服务体验。 Copyright © 2023 布克学术 All rights reserved.
京ICP备2023020795号-1
ghs 京公网安备 11010802042870号
Book学术文献互助
Book学术文献互助群
群 号:604180095
Book学术官方微信