成人生长激素缺乏症(AGHD)和结局(NordiNet和ANSWER)。

IF 3.1 Q2 ENDOCRINOLOGY & METABOLISM
Journal of the Endocrine Society Pub Date : 2025-02-24 eCollection Date: 2025-03-03 DOI:10.1210/jendso/bvaf026
John D Carmichael, Atil Y Kargi, Laura Dichtel, Nicky Kelepouris, Navid Nedjatian, Moshe Fridman, Matthias M Weber
{"title":"成人生长激素缺乏症(AGHD)和结局(NordiNet和ANSWER)。","authors":"John D Carmichael, Atil Y Kargi, Laura Dichtel, Nicky Kelepouris, Navid Nedjatian, Moshe Fridman, Matthias M Weber","doi":"10.1210/jendso/bvaf026","DOIUrl":null,"url":null,"abstract":"<p><p>Adult growth hormone deficiency (AGHD) is a rare disease with both physiological and psychological effects for untreated patients. AGHD symptoms can improve over time with GH treatment. Here we have analyzed the long-term effectiveness and safety of short-acting GH replacement therapy (GHRT) in treatment naïve and nonnaïve patients with AGHD using real-world data from the NordiNet® International Outcome Study and American Norditropin® Studies: Web Enabled Research Program. Outcomes were compared between 3 age groups, comprised of patients aged 18 to 29 years, 30 to 39 years, and 40 to 59 years. The safety outcome was the incidence of nonserious and serious adverse reactions and serious adverse events by age group. Efficacy outcomes included mean GH exposure by age group alone, by sex and age group, or based on estrogen usage in female patients; IGF-I SD score (SDS) levels by sex and age group; mean glycated hemoglobin by sex and age group; and mean non-high-density lipoprotein cholesterol by sex and age group. The incidence rates of adverse events and reactions did not statistically differ between the 3 groups. Mean IGF-I SDS levels reached a normal range (-2 to 2) in ≥80% of patients from all groups in the effectiveness analysis set by year 2. Together with previous reports of older patients, these results support the real-world safety and efficacy of short-acting GHRT among all ages of patients with AGHD.</p>","PeriodicalId":17334,"journal":{"name":"Journal of the Endocrine Society","volume":"9 4","pages":"bvaf026"},"PeriodicalIF":3.1000,"publicationDate":"2025-02-24","publicationTypes":"Journal Article","fieldsOfStudy":null,"isOpenAccess":false,"openAccessPdf":"https://www.ncbi.nlm.nih.gov/pmc/articles/PMC11897700/pdf/","citationCount":"0","resultStr":"{\"title\":\"Adult Growth Hormone Deficiency (AGHD) and Outcomes (NordiNet and ANSWER).\",\"authors\":\"John D Carmichael, Atil Y Kargi, Laura Dichtel, Nicky Kelepouris, Navid Nedjatian, Moshe Fridman, Matthias M Weber\",\"doi\":\"10.1210/jendso/bvaf026\",\"DOIUrl\":null,\"url\":null,\"abstract\":\"<p><p>Adult growth hormone deficiency (AGHD) is a rare disease with both physiological and psychological effects for untreated patients. AGHD symptoms can improve over time with GH treatment. Here we have analyzed the long-term effectiveness and safety of short-acting GH replacement therapy (GHRT) in treatment naïve and nonnaïve patients with AGHD using real-world data from the NordiNet® International Outcome Study and American Norditropin® Studies: Web Enabled Research Program. Outcomes were compared between 3 age groups, comprised of patients aged 18 to 29 years, 30 to 39 years, and 40 to 59 years. The safety outcome was the incidence of nonserious and serious adverse reactions and serious adverse events by age group. Efficacy outcomes included mean GH exposure by age group alone, by sex and age group, or based on estrogen usage in female patients; IGF-I SD score (SDS) levels by sex and age group; mean glycated hemoglobin by sex and age group; and mean non-high-density lipoprotein cholesterol by sex and age group. The incidence rates of adverse events and reactions did not statistically differ between the 3 groups. Mean IGF-I SDS levels reached a normal range (-2 to 2) in ≥80% of patients from all groups in the effectiveness analysis set by year 2. Together with previous reports of older patients, these results support the real-world safety and efficacy of short-acting GHRT among all ages of patients with AGHD.</p>\",\"PeriodicalId\":17334,\"journal\":{\"name\":\"Journal of the Endocrine Society\",\"volume\":\"9 4\",\"pages\":\"bvaf026\"},\"PeriodicalIF\":3.1000,\"publicationDate\":\"2025-02-24\",\"publicationTypes\":\"Journal Article\",\"fieldsOfStudy\":null,\"isOpenAccess\":false,\"openAccessPdf\":\"https://www.ncbi.nlm.nih.gov/pmc/articles/PMC11897700/pdf/\",\"citationCount\":\"0\",\"resultStr\":null,\"platform\":\"Semanticscholar\",\"paperid\":null,\"PeriodicalName\":\"Journal of the Endocrine Society\",\"FirstCategoryId\":\"1085\",\"ListUrlMain\":\"https://doi.org/10.1210/jendso/bvaf026\",\"RegionNum\":0,\"RegionCategory\":null,\"ArticlePicture\":[],\"TitleCN\":null,\"AbstractTextCN\":null,\"PMCID\":null,\"EPubDate\":\"2025/3/3 0:00:00\",\"PubModel\":\"eCollection\",\"JCR\":\"Q2\",\"JCRName\":\"ENDOCRINOLOGY & METABOLISM\",\"Score\":null,\"Total\":0}","platform":"Semanticscholar","paperid":null,"PeriodicalName":"Journal of the Endocrine Society","FirstCategoryId":"1085","ListUrlMain":"https://doi.org/10.1210/jendso/bvaf026","RegionNum":0,"RegionCategory":null,"ArticlePicture":[],"TitleCN":null,"AbstractTextCN":null,"PMCID":null,"EPubDate":"2025/3/3 0:00:00","PubModel":"eCollection","JCR":"Q2","JCRName":"ENDOCRINOLOGY & METABOLISM","Score":null,"Total":0}
引用次数: 0

摘要

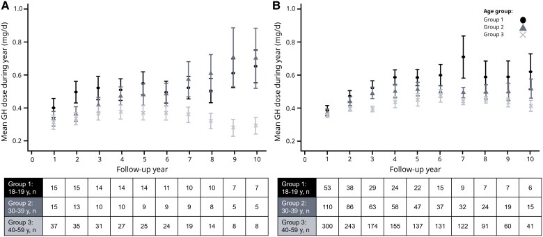
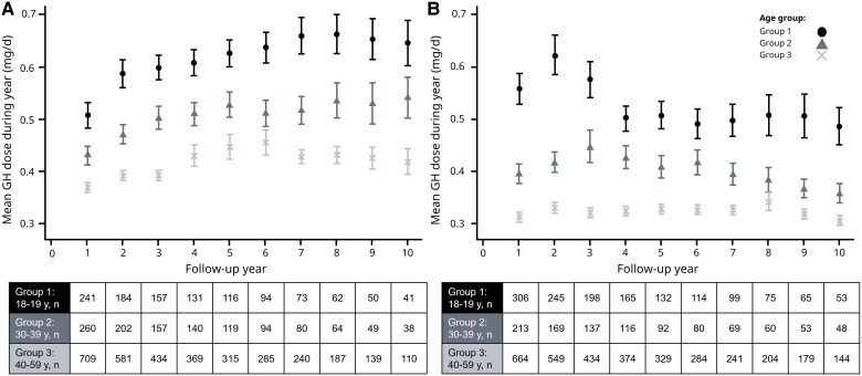
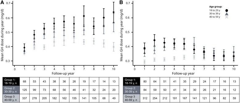
成人生长激素缺乏症(AGHD)是一种罕见的疾病,对未经治疗的患者有生理和心理影响。AGHD的症状可以随着生长激素治疗的时间而改善。在这里,我们分析了短效生长激素替代疗法(GHRT)治疗naïve和nonnaïve AGHD患者的长期有效性和安全性,使用来自NordiNet®国际结局研究和美国Norditropin®研究:网络支持研究计划的真实数据。结果比较了3个年龄组,包括18至29岁、30至39岁和40至59岁的患者。安全性指标为按年龄组划分的非严重不良反应、严重不良反应和严重不良事件发生率。疗效结果包括仅按年龄组、按性别和年龄组、或根据女性患者雌激素使用情况分列的平均生长激素暴露量;按性别和年龄组划分的IGF-I SD评分水平;按性别和年龄分组的平均糖化血红蛋白;以及按性别和年龄组划分的非高密度脂蛋白胆固醇的平均值。三组患者不良事件及反应发生率无统计学差异。在第2年的有效性分析中,所有组中≥80%的患者平均IGF-I SDS水平达到正常范围(-2至2)。结合先前对老年患者的报道,这些结果支持短效GHRT在所有年龄AGHD患者中的实际安全性和有效性。
本文章由计算机程序翻译,如有差异,请以英文原文为准。

Adult Growth Hormone Deficiency (AGHD) and Outcomes (NordiNet and ANSWER).

Adult Growth Hormone Deficiency (AGHD) and Outcomes (NordiNet and ANSWER).

Adult Growth Hormone Deficiency (AGHD) and Outcomes (NordiNet and ANSWER).

Adult Growth Hormone Deficiency (AGHD) and Outcomes (NordiNet and ANSWER).

Adult growth hormone deficiency (AGHD) is a rare disease with both physiological and psychological effects for untreated patients. AGHD symptoms can improve over time with GH treatment. Here we have analyzed the long-term effectiveness and safety of short-acting GH replacement therapy (GHRT) in treatment naïve and nonnaïve patients with AGHD using real-world data from the NordiNet® International Outcome Study and American Norditropin® Studies: Web Enabled Research Program. Outcomes were compared between 3 age groups, comprised of patients aged 18 to 29 years, 30 to 39 years, and 40 to 59 years. The safety outcome was the incidence of nonserious and serious adverse reactions and serious adverse events by age group. Efficacy outcomes included mean GH exposure by age group alone, by sex and age group, or based on estrogen usage in female patients; IGF-I SD score (SDS) levels by sex and age group; mean glycated hemoglobin by sex and age group; and mean non-high-density lipoprotein cholesterol by sex and age group. The incidence rates of adverse events and reactions did not statistically differ between the 3 groups. Mean IGF-I SDS levels reached a normal range (-2 to 2) in ≥80% of patients from all groups in the effectiveness analysis set by year 2. Together with previous reports of older patients, these results support the real-world safety and efficacy of short-acting GHRT among all ages of patients with AGHD.

求助全文
通过发布文献求助,成功后即可免费获取论文全文。 去求助
来源期刊
Journal of the Endocrine Society
Journal of the Endocrine Society Medicine-Endocrinology, Diabetes and Metabolism
CiteScore
5.50
自引率
0.00%
发文量
2039
审稿时长
9 weeks
×
引用
GB/T 7714-2015
复制
MLA
复制
APA
复制
导出至
BibTeX EndNote RefMan NoteFirst NoteExpress
×
提示
您的信息不完整,为了账户安全,请先补充。
现在去补充
×
提示
您因"违规操作"
具体请查看互助需知
我知道了
×
提示
确定
请完成安全验证×
copy
已复制链接
快去分享给好友吧!
我知道了
右上角分享
点击右上角分享
0
联系我们:info@booksci.cn Book学术提供免费学术资源搜索服务,方便国内外学者检索中英文文献。致力于提供最便捷和优质的服务体验。 Copyright © 2023 布克学术 All rights reserved.
京ICP备2023020795号-1
ghs 京公网安备 11010802042870号
Book学术文献互助
Book学术文献互助群
群 号:604180095
Book学术官方微信