rTMS干预后精神分裂症患者白细胞计数与认知功能疗效的关系。

IF 4.1 Q2 PSYCHIATRY
Suzhen Ye, Bailing Wang, Heling Sui, Meihong Xiu, Fengchun Wu
{"title":"rTMS干预后精神分裂症患者白细胞计数与认知功能疗效的关系。","authors":"Suzhen Ye, Bailing Wang, Heling Sui, Meihong Xiu, Fengchun Wu","doi":"10.1038/s41537-025-00590-5","DOIUrl":null,"url":null,"abstract":"<p><p>rTMS has shown some effect in improving cognitive functions in patients with schizophrenia. However, these findings were controversial, and specific mechanisms of action and optimal therapeutic parameters still require further investigation. This study aimed to examine predictive biomarkers of the efficacy of rTMS in cognitive improvement in schizophrenia. A secondary analysis of a previous randomized, controlled trial was performed. Fifty-six patients were allocated to the active rTMS and 28 to the sham group. Patients received 6 weeks of treatment and were followed up for 18 weeks. Cognition was assessed and blood biomarkers were measured in all patients. In patients with schizophrenia, there was a significant interaction between time and group on immediate memory. Furthermore, this study found that after controlling for confounders, patients with higher baseline white blood cell (WBC) counts showed less improvement in immediate memory after rTMS than patients with lower WBC counts. Linear regression analysis showed that WBC counts were associated with immediate memory improvement after rTMS treatment. Our results reveal that WBC counts at baseline correlated with the response to rTMS in patients with schizophrenia. Patients with higher baseline WBC counts improved less after rTMS intervention than those with lower WBC counts.</p>","PeriodicalId":74758,"journal":{"name":"Schizophrenia (Heidelberg, Germany)","volume":"11 1","pages":"41"},"PeriodicalIF":4.1000,"publicationDate":"2025-03-10","publicationTypes":"Journal Article","fieldsOfStudy":null,"isOpenAccess":false,"openAccessPdf":"https://www.ncbi.nlm.nih.gov/pmc/articles/PMC11894214/pdf/","citationCount":"0","resultStr":"{\"title\":\"Association between white blood cell counts and the efficacy on cognitive function after rTMS intervention in schizophrenia.\",\"authors\":\"Suzhen Ye, Bailing Wang, Heling Sui, Meihong Xiu, Fengchun Wu\",\"doi\":\"10.1038/s41537-025-00590-5\",\"DOIUrl\":null,\"url\":null,\"abstract\":\"<p><p>rTMS has shown some effect in improving cognitive functions in patients with schizophrenia. However, these findings were controversial, and specific mechanisms of action and optimal therapeutic parameters still require further investigation. This study aimed to examine predictive biomarkers of the efficacy of rTMS in cognitive improvement in schizophrenia. A secondary analysis of a previous randomized, controlled trial was performed. Fifty-six patients were allocated to the active rTMS and 28 to the sham group. Patients received 6 weeks of treatment and were followed up for 18 weeks. Cognition was assessed and blood biomarkers were measured in all patients. In patients with schizophrenia, there was a significant interaction between time and group on immediate memory. Furthermore, this study found that after controlling for confounders, patients with higher baseline white blood cell (WBC) counts showed less improvement in immediate memory after rTMS than patients with lower WBC counts. Linear regression analysis showed that WBC counts were associated with immediate memory improvement after rTMS treatment. Our results reveal that WBC counts at baseline correlated with the response to rTMS in patients with schizophrenia. Patients with higher baseline WBC counts improved less after rTMS intervention than those with lower WBC counts.</p>\",\"PeriodicalId\":74758,\"journal\":{\"name\":\"Schizophrenia (Heidelberg, Germany)\",\"volume\":\"11 1\",\"pages\":\"41\"},\"PeriodicalIF\":4.1000,\"publicationDate\":\"2025-03-10\",\"publicationTypes\":\"Journal Article\",\"fieldsOfStudy\":null,\"isOpenAccess\":false,\"openAccessPdf\":\"https://www.ncbi.nlm.nih.gov/pmc/articles/PMC11894214/pdf/\",\"citationCount\":\"0\",\"resultStr\":null,\"platform\":\"Semanticscholar\",\"paperid\":null,\"PeriodicalName\":\"Schizophrenia (Heidelberg, Germany)\",\"FirstCategoryId\":\"1085\",\"ListUrlMain\":\"https://doi.org/10.1038/s41537-025-00590-5\",\"RegionNum\":0,\"RegionCategory\":null,\"ArticlePicture\":[],\"TitleCN\":null,\"AbstractTextCN\":null,\"PMCID\":null,\"EPubDate\":\"\",\"PubModel\":\"\",\"JCR\":\"Q2\",\"JCRName\":\"PSYCHIATRY\",\"Score\":null,\"Total\":0}","platform":"Semanticscholar","paperid":null,"PeriodicalName":"Schizophrenia (Heidelberg, Germany)","FirstCategoryId":"1085","ListUrlMain":"https://doi.org/10.1038/s41537-025-00590-5","RegionNum":0,"RegionCategory":null,"ArticlePicture":[],"TitleCN":null,"AbstractTextCN":null,"PMCID":null,"EPubDate":"","PubModel":"","JCR":"Q2","JCRName":"PSYCHIATRY","Score":null,"Total":0}
引用次数: 0

摘要

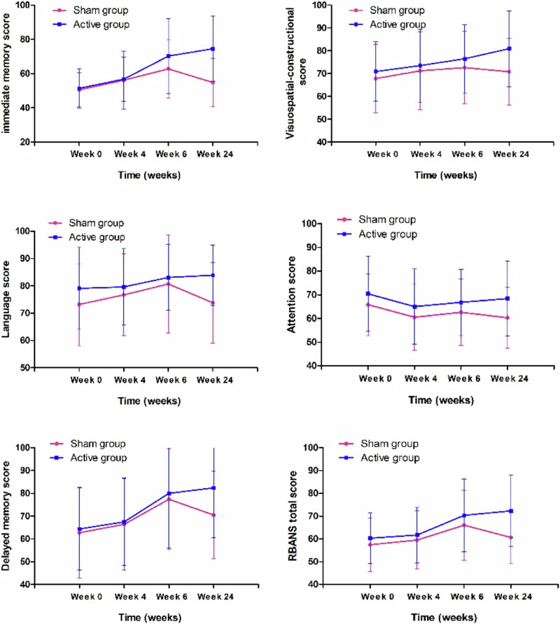
rTMS在改善精神分裂症患者认知功能方面显示出一定的效果。然而,这些发现存在争议,具体的作用机制和最佳治疗参数仍需进一步研究。本研究旨在检测rTMS对精神分裂症患者认知改善效果的预测性生物标志物。对先前的随机对照试验进行二次分析。56名患者被分配到活跃rTMS组,28名患者被分配到假手术组。治疗6周,随访18周。评估所有患者的认知能力并测量血液生物标志物。在精神分裂症患者中,时间和组对即时记忆有显著的相互作用。此外,本研究发现,在控制混杂因素后,基线白细胞(WBC)计数较高的患者在rTMS后的即时记忆改善程度低于WBC计数较低的患者。线性回归分析显示,WBC计数与rTMS治疗后的即时记忆改善有关。我们的研究结果显示,基线时的白细胞计数与精神分裂症患者对rTMS的反应相关。与白细胞计数较低的患者相比,基线白细胞计数较高的患者在rTMS干预后改善较少。
本文章由计算机程序翻译,如有差异,请以英文原文为准。

Association between white blood cell counts and the efficacy on cognitive function after rTMS intervention in schizophrenia.

Association between white blood cell counts and the efficacy on cognitive function after rTMS intervention in schizophrenia.

rTMS has shown some effect in improving cognitive functions in patients with schizophrenia. However, these findings were controversial, and specific mechanisms of action and optimal therapeutic parameters still require further investigation. This study aimed to examine predictive biomarkers of the efficacy of rTMS in cognitive improvement in schizophrenia. A secondary analysis of a previous randomized, controlled trial was performed. Fifty-six patients were allocated to the active rTMS and 28 to the sham group. Patients received 6 weeks of treatment and were followed up for 18 weeks. Cognition was assessed and blood biomarkers were measured in all patients. In patients with schizophrenia, there was a significant interaction between time and group on immediate memory. Furthermore, this study found that after controlling for confounders, patients with higher baseline white blood cell (WBC) counts showed less improvement in immediate memory after rTMS than patients with lower WBC counts. Linear regression analysis showed that WBC counts were associated with immediate memory improvement after rTMS treatment. Our results reveal that WBC counts at baseline correlated with the response to rTMS in patients with schizophrenia. Patients with higher baseline WBC counts improved less after rTMS intervention than those with lower WBC counts.

求助全文
通过发布文献求助,成功后即可免费获取论文全文。 去求助
来源期刊
自引率
0.00%
发文量
0
×
引用
GB/T 7714-2015
复制
MLA
复制
APA
复制
导出至
BibTeX EndNote RefMan NoteFirst NoteExpress
×
提示
您的信息不完整,为了账户安全,请先补充。
现在去补充
×
提示
您因"违规操作"
具体请查看互助需知
我知道了
×
提示
确定
请完成安全验证×
copy
已复制链接
快去分享给好友吧!
我知道了
右上角分享
点击右上角分享
0
联系我们:info@booksci.cn Book学术提供免费学术资源搜索服务,方便国内外学者检索中英文文献。致力于提供最便捷和优质的服务体验。 Copyright © 2023 布克学术 All rights reserved.
京ICP备2023020795号-1
ghs 京公网安备 11010802042870号
Book学术文献互助
Book学术文献互助群
群 号:604180095
Book学术官方微信