自体干细胞移植在复发/难治性霍奇金淋巴瘤中的作用:来自印度三级保健中心的回顾性数据。

Blood cell therapy Pub Date : 2024-12-20 eCollection Date: 2025-02-25 DOI:10.31547/bct-2024-011
Mangai Suseela Murugesan, Jayachandran Perumal Kalaiyarasi, Nikita Mehra, Parathan Karunakaran, Venkatraman Radhakrishnan, Krishnarathinam Kannan
{"title":"自体干细胞移植在复发/难治性霍奇金淋巴瘤中的作用:来自印度三级保健中心的回顾性数据。","authors":"Mangai Suseela Murugesan, Jayachandran Perumal Kalaiyarasi, Nikita Mehra, Parathan Karunakaran, Venkatraman Radhakrishnan, Krishnarathinam Kannan","doi":"10.31547/bct-2024-011","DOIUrl":null,"url":null,"abstract":"<p><p>Hodgkin Lymphoma is a highly curable malignancy, and relapsed/refractory Hodgkin lymphoma (RRHL) is treated with salvage chemotherapy, followed by autologous stem cell transplant (ASCT). This single-center, retrospective study included patients with RRHL who underwent ASCT. The study included 62 patients with a median age at diagnosis of 22.5 years and a median age at transplant of 24.5 years. Advanced disease at presentation was observed in 64% of the patients. At relapse, 33.3%, 36.6%, and 30% had stage 2, 3, and 4 disease, respectively. Multiple salvage regimens were administered as per the practices at our institution. Among the patients, 63% had complete remission prior to transplant, and 74% underwent ASCT after first-line salvage. Different conditioning regimens were chosen according to institutional practice. Febrile neutropenia was observed in 93.5% of the patients. The treatment-related mortality rate was 4.8% (n=3). The median follow-up duration was 30 months. Median relapse-free survival (RFS) and overall survival (OS) were not reached, and the 3-year RFS and OS rates were 67.1% and 78%, respectively. Factors that adversely influenced OS and RFS were the type of last salvage used and the number of salvage lines prior to transplantation. An advanced stage at the diagnosis was associated with inferior OS but not with RFS. Patients with the refractory disease had inferior RFS and OS rates, of 25.2% and 56.6%, compared with patients with chemoresponsive disease, who had RFS and OS rates of 77% and 84.7%, respectively. ASCT in RRHL showed promising survival, with over two-thirds of the patients surviving without relapse after 3 years.</p>","PeriodicalId":72423,"journal":{"name":"Blood cell therapy","volume":"8 1","pages":"138-146"},"PeriodicalIF":0.0000,"publicationDate":"2024-12-20","publicationTypes":"Journal Article","fieldsOfStudy":null,"isOpenAccess":false,"openAccessPdf":"https://www.ncbi.nlm.nih.gov/pmc/articles/PMC11883480/pdf/","citationCount":"0","resultStr":"{\"title\":\"ROLE OF AUTOLOGOUS STEM CELL TRANSPLANTATION IN RELAPSED/ REFRACTORY HODGKIN'S LYMPHOMA: RETROSPECTIVE DATA FROM A TERTIARY CARE CENTRE IN INDIA.\",\"authors\":\"Mangai Suseela Murugesan, Jayachandran Perumal Kalaiyarasi, Nikita Mehra, Parathan Karunakaran, Venkatraman Radhakrishnan, Krishnarathinam Kannan\",\"doi\":\"10.31547/bct-2024-011\",\"DOIUrl\":null,\"url\":null,\"abstract\":\"<p><p>Hodgkin Lymphoma is a highly curable malignancy, and relapsed/refractory Hodgkin lymphoma (RRHL) is treated with salvage chemotherapy, followed by autologous stem cell transplant (ASCT). This single-center, retrospective study included patients with RRHL who underwent ASCT. The study included 62 patients with a median age at diagnosis of 22.5 years and a median age at transplant of 24.5 years. Advanced disease at presentation was observed in 64% of the patients. At relapse, 33.3%, 36.6%, and 30% had stage 2, 3, and 4 disease, respectively. Multiple salvage regimens were administered as per the practices at our institution. Among the patients, 63% had complete remission prior to transplant, and 74% underwent ASCT after first-line salvage. Different conditioning regimens were chosen according to institutional practice. Febrile neutropenia was observed in 93.5% of the patients. The treatment-related mortality rate was 4.8% (n=3). The median follow-up duration was 30 months. Median relapse-free survival (RFS) and overall survival (OS) were not reached, and the 3-year RFS and OS rates were 67.1% and 78%, respectively. Factors that adversely influenced OS and RFS were the type of last salvage used and the number of salvage lines prior to transplantation. An advanced stage at the diagnosis was associated with inferior OS but not with RFS. Patients with the refractory disease had inferior RFS and OS rates, of 25.2% and 56.6%, compared with patients with chemoresponsive disease, who had RFS and OS rates of 77% and 84.7%, respectively. ASCT in RRHL showed promising survival, with over two-thirds of the patients surviving without relapse after 3 years.</p>\",\"PeriodicalId\":72423,\"journal\":{\"name\":\"Blood cell therapy\",\"volume\":\"8 1\",\"pages\":\"138-146\"},\"PeriodicalIF\":0.0000,\"publicationDate\":\"2024-12-20\",\"publicationTypes\":\"Journal Article\",\"fieldsOfStudy\":null,\"isOpenAccess\":false,\"openAccessPdf\":\"https://www.ncbi.nlm.nih.gov/pmc/articles/PMC11883480/pdf/\",\"citationCount\":\"0\",\"resultStr\":null,\"platform\":\"Semanticscholar\",\"paperid\":null,\"PeriodicalName\":\"Blood cell therapy\",\"FirstCategoryId\":\"1085\",\"ListUrlMain\":\"https://doi.org/10.31547/bct-2024-011\",\"RegionNum\":0,\"RegionCategory\":null,\"ArticlePicture\":[],\"TitleCN\":null,\"AbstractTextCN\":null,\"PMCID\":null,\"EPubDate\":\"2025/2/25 0:00:00\",\"PubModel\":\"eCollection\",\"JCR\":\"\",\"JCRName\":\"\",\"Score\":null,\"Total\":0}","platform":"Semanticscholar","paperid":null,"PeriodicalName":"Blood cell therapy","FirstCategoryId":"1085","ListUrlMain":"https://doi.org/10.31547/bct-2024-011","RegionNum":0,"RegionCategory":null,"ArticlePicture":[],"TitleCN":null,"AbstractTextCN":null,"PMCID":null,"EPubDate":"2025/2/25 0:00:00","PubModel":"eCollection","JCR":"","JCRName":"","Score":null,"Total":0}
引用次数: 0

摘要

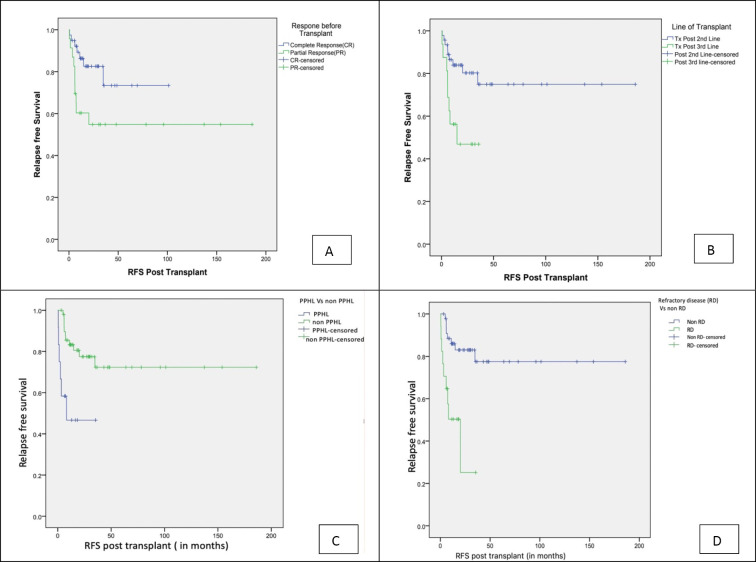
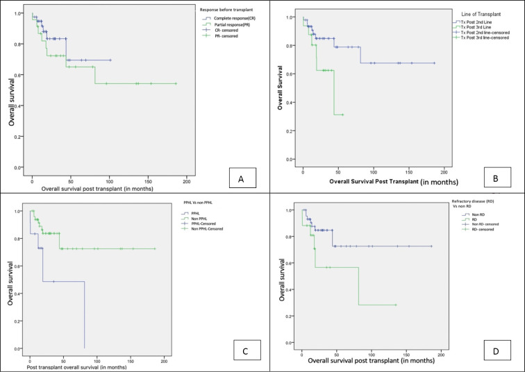
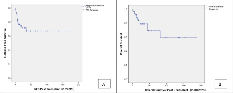
霍奇金淋巴瘤是一种高度可治愈的恶性肿瘤,复发/难治性霍奇金淋巴瘤(RRHL)的治疗采用补救性化疗,然后进行自体干细胞移植(ASCT)。这项单中心、回顾性研究纳入了接受ASCT治疗的RRHL患者。该研究包括62例患者,诊断时的中位年龄为22.5岁,移植时的中位年龄为24.5岁。64%的患者出现疾病晚期。复发时,33.3%、36.6%和30%分别为2期、3期和4期。根据我们机构的惯例,实施了多种打捞方案。在患者中,63%的患者在移植前完全缓解,74%的患者在一线抢救后接受了ASCT。根据机构实践选择不同的调理方案。93.5%的患者出现发热性中性粒细胞减少。治疗相关死亡率为4.8% (n=3)。中位随访时间为30个月。中位无复发生存期(RFS)和总生存期(OS)均未达到,3年RFS和OS分别为67.1%和78%。影响OS和RFS的不利因素是移植前最后使用的打捞线类型和打捞线的数量。诊断时的晚期与较差的OS相关,但与RFS无关。难治性疾病患者的RFS和OS率较低,分别为25.2%和56.6%,而化疗反应性疾病患者的RFS和OS率分别为77%和84.7%。RRHL的ASCT显示出良好的生存率,超过三分之二的患者在3年后没有复发。
本文章由计算机程序翻译,如有差异,请以英文原文为准。

ROLE OF AUTOLOGOUS STEM CELL TRANSPLANTATION IN RELAPSED/ REFRACTORY HODGKIN'S LYMPHOMA: RETROSPECTIVE DATA FROM A TERTIARY CARE CENTRE IN INDIA.

ROLE OF AUTOLOGOUS STEM CELL TRANSPLANTATION IN RELAPSED/ REFRACTORY HODGKIN'S LYMPHOMA: RETROSPECTIVE DATA FROM A TERTIARY CARE CENTRE IN INDIA.

ROLE OF AUTOLOGOUS STEM CELL TRANSPLANTATION IN RELAPSED/ REFRACTORY HODGKIN'S LYMPHOMA: RETROSPECTIVE DATA FROM A TERTIARY CARE CENTRE IN INDIA.

ROLE OF AUTOLOGOUS STEM CELL TRANSPLANTATION IN RELAPSED/ REFRACTORY HODGKIN'S LYMPHOMA: RETROSPECTIVE DATA FROM A TERTIARY CARE CENTRE IN INDIA.

Hodgkin Lymphoma is a highly curable malignancy, and relapsed/refractory Hodgkin lymphoma (RRHL) is treated with salvage chemotherapy, followed by autologous stem cell transplant (ASCT). This single-center, retrospective study included patients with RRHL who underwent ASCT. The study included 62 patients with a median age at diagnosis of 22.5 years and a median age at transplant of 24.5 years. Advanced disease at presentation was observed in 64% of the patients. At relapse, 33.3%, 36.6%, and 30% had stage 2, 3, and 4 disease, respectively. Multiple salvage regimens were administered as per the practices at our institution. Among the patients, 63% had complete remission prior to transplant, and 74% underwent ASCT after first-line salvage. Different conditioning regimens were chosen according to institutional practice. Febrile neutropenia was observed in 93.5% of the patients. The treatment-related mortality rate was 4.8% (n=3). The median follow-up duration was 30 months. Median relapse-free survival (RFS) and overall survival (OS) were not reached, and the 3-year RFS and OS rates were 67.1% and 78%, respectively. Factors that adversely influenced OS and RFS were the type of last salvage used and the number of salvage lines prior to transplantation. An advanced stage at the diagnosis was associated with inferior OS but not with RFS. Patients with the refractory disease had inferior RFS and OS rates, of 25.2% and 56.6%, compared with patients with chemoresponsive disease, who had RFS and OS rates of 77% and 84.7%, respectively. ASCT in RRHL showed promising survival, with over two-thirds of the patients surviving without relapse after 3 years.

求助全文
通过发布文献求助,成功后即可免费获取论文全文。 去求助
来源期刊
自引率
0.00%
发文量
0
×
引用
GB/T 7714-2015
复制
MLA
复制
APA
复制
导出至
BibTeX EndNote RefMan NoteFirst NoteExpress
×
提示
您的信息不完整,为了账户安全,请先补充。
现在去补充
×
提示
您因"违规操作"
具体请查看互助需知
我知道了
×
提示
确定
请完成安全验证×
copy
已复制链接
快去分享给好友吧!
我知道了
右上角分享
点击右上角分享
0
联系我们:info@booksci.cn Book学术提供免费学术资源搜索服务,方便国内外学者检索中英文文献。致力于提供最便捷和优质的服务体验。 Copyright © 2023 布克学术 All rights reserved.
京ICP备2023020795号-1
ghs 京公网安备 11010802042870号
Book学术文献互助
Book学术文献互助群
群 号:604180095
Book学术官方微信