前交叉韧带重建后不同作用时间关节内注射氨甲环酸的影响:一项有历史对照的队列研究。

IF 3.7 2区 医学 Q1 ORTHOPEDICS
Kun-Han Lee, Kun-Hui Chen, Hsuan-Hsiao Ma, Tai-Jung Huang, Hsiao-Li Ma, En-Rung Chiang
{"title":"前交叉韧带重建后不同作用时间关节内注射氨甲环酸的影响:一项有历史对照的队列研究。","authors":"Kun-Han Lee, Kun-Hui Chen, Hsuan-Hsiao Ma, Tai-Jung Huang, Hsiao-Li Ma, En-Rung Chiang","doi":"10.1186/s10195-025-00826-1","DOIUrl":null,"url":null,"abstract":"<p><strong>Background: </strong>Intra-articular tranexamic acid (TXA) has been proven effective in reducing postoperative bleeding in anterior cruciate ligament reconstruction (ACLR). We aimed to evaluate the effect of intra-articular injection of TXA with different acting times after an ACLR procedure.</p><p><strong>Patients and methods: </strong>Patients receiving ACLR and intra-articular injection of TXA between September 2023 and January 2024 were randomly divided into two groups, with drainage clamped for 4 h (TXA 4 h group) or 8 h (TXA 8 h group). Postoperative drainage output was the primary outcome. The secondary outcomes included the visual analog scale (VAS), grade of hemarthrosis, and International Knee Documentation Committee (IKDC) functional score. The data of another two groups of patients (TXA 2 h group and placebo group) were retrieved from a previous study as historical control groups for subsequent analysis.</p><p><strong>Results: </strong>121 patients were included. There were no significant differences in drainage output between TXA 4 h and TXA 8 h groups. On postoperative day 3, significantly decreased grades of hemarthrosis were noted in the TXA 8 h group (P = 0.030). There were no significant differences in the VAS at different postoperative time points or in the IKDC scores. Comparison with the placebo and TXA 2 h groups revealed significant reduction in postoperative drainage among the TXA 4 h and 8 h groups. The IKDC scores were significantly worse in the TXA 8 h group compared with the TXA 2 h (P < 0.001) and placebo (P = 0.009) groups.</p><p><strong>Conclusions: </strong>A 4 h clamping time for intra-articular TXA administration after ACLR may be considered in current practice, as it effectively reduces drainage and pain without negatively impacting functional outcomes.</p><p><strong>Level of evidence: </strong>Level III, cohort study.</p>","PeriodicalId":48603,"journal":{"name":"Journal of Orthopaedics and Traumatology","volume":"26 1","pages":"15"},"PeriodicalIF":3.7000,"publicationDate":"2025-03-08","publicationTypes":"Journal Article","fieldsOfStudy":null,"isOpenAccess":false,"openAccessPdf":"https://www.ncbi.nlm.nih.gov/pmc/articles/PMC11890900/pdf/","citationCount":"0","resultStr":"{\"title\":\"Effects of intra-articular tranexamic acid injection with different acting times after anterior cruciate ligament reconstruction: a cohort study with historical controls.\",\"authors\":\"Kun-Han Lee, Kun-Hui Chen, Hsuan-Hsiao Ma, Tai-Jung Huang, Hsiao-Li Ma, En-Rung Chiang\",\"doi\":\"10.1186/s10195-025-00826-1\",\"DOIUrl\":null,\"url\":null,\"abstract\":\"<p><strong>Background: </strong>Intra-articular tranexamic acid (TXA) has been proven effective in reducing postoperative bleeding in anterior cruciate ligament reconstruction (ACLR). We aimed to evaluate the effect of intra-articular injection of TXA with different acting times after an ACLR procedure.</p><p><strong>Patients and methods: </strong>Patients receiving ACLR and intra-articular injection of TXA between September 2023 and January 2024 were randomly divided into two groups, with drainage clamped for 4 h (TXA 4 h group) or 8 h (TXA 8 h group). Postoperative drainage output was the primary outcome. The secondary outcomes included the visual analog scale (VAS), grade of hemarthrosis, and International Knee Documentation Committee (IKDC) functional score. The data of another two groups of patients (TXA 2 h group and placebo group) were retrieved from a previous study as historical control groups for subsequent analysis.</p><p><strong>Results: </strong>121 patients were included. There were no significant differences in drainage output between TXA 4 h and TXA 8 h groups. On postoperative day 3, significantly decreased grades of hemarthrosis were noted in the TXA 8 h group (P = 0.030). There were no significant differences in the VAS at different postoperative time points or in the IKDC scores. Comparison with the placebo and TXA 2 h groups revealed significant reduction in postoperative drainage among the TXA 4 h and 8 h groups. The IKDC scores were significantly worse in the TXA 8 h group compared with the TXA 2 h (P < 0.001) and placebo (P = 0.009) groups.</p><p><strong>Conclusions: </strong>A 4 h clamping time for intra-articular TXA administration after ACLR may be considered in current practice, as it effectively reduces drainage and pain without negatively impacting functional outcomes.</p><p><strong>Level of evidence: </strong>Level III, cohort study.</p>\",\"PeriodicalId\":48603,\"journal\":{\"name\":\"Journal of Orthopaedics and Traumatology\",\"volume\":\"26 1\",\"pages\":\"15\"},\"PeriodicalIF\":3.7000,\"publicationDate\":\"2025-03-08\",\"publicationTypes\":\"Journal Article\",\"fieldsOfStudy\":null,\"isOpenAccess\":false,\"openAccessPdf\":\"https://www.ncbi.nlm.nih.gov/pmc/articles/PMC11890900/pdf/\",\"citationCount\":\"0\",\"resultStr\":null,\"platform\":\"Semanticscholar\",\"paperid\":null,\"PeriodicalName\":\"Journal of Orthopaedics and Traumatology\",\"FirstCategoryId\":\"3\",\"ListUrlMain\":\"https://doi.org/10.1186/s10195-025-00826-1\",\"RegionNum\":2,\"RegionCategory\":\"医学\",\"ArticlePicture\":[],\"TitleCN\":null,\"AbstractTextCN\":null,\"PMCID\":null,\"EPubDate\":\"\",\"PubModel\":\"\",\"JCR\":\"Q1\",\"JCRName\":\"ORTHOPEDICS\",\"Score\":null,\"Total\":0}","platform":"Semanticscholar","paperid":null,"PeriodicalName":"Journal of Orthopaedics and Traumatology","FirstCategoryId":"3","ListUrlMain":"https://doi.org/10.1186/s10195-025-00826-1","RegionNum":2,"RegionCategory":"医学","ArticlePicture":[],"TitleCN":null,"AbstractTextCN":null,"PMCID":null,"EPubDate":"","PubModel":"","JCR":"Q1","JCRName":"ORTHOPEDICS","Score":null,"Total":0}
引用次数: 0

摘要

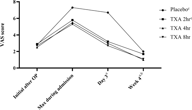
背景:关节内氨甲环酸(TXA)已被证明能有效减少前交叉韧带重建(ACLR)术后出血。我们旨在评估ACLR术后不同作用时间关节内注射TXA的效果。患者与方法:将2023年9月至2024年1月间接受ACLR并关节内注射TXA的患者随机分为两组,分别钳置引流4 h (TXA 4 h组)和8 h (TXA 8 h组)。术后引流量为主要观察指标。次要结果包括视觉模拟评分(VAS)、血肿分级和国际膝关节文献委员会(IKDC)功能评分。另外两组患者(txa2h组和安慰剂组)的数据从先前的研究中检索,作为后续分析的历史对照组。结果:纳入121例患者。TXA 4 h组与TXA 8 h组引流量无显著差异。术后第3天,TXA 8 h组关节水肿程度明显降低(P = 0.030)。术后不同时间点的VAS评分和IKDC评分无显著差异。与安慰剂组和TXA 2 h组比较,TXA 4 h和8 h组术后引流明显减少。结论:在目前的实践中,ACLR术后关节内给药的TXA夹持时间为4小时是可以考虑的,因为它有效地减少了引流和疼痛,而不会对功能结果产生负面影响。证据等级:III级,队列研究。
本文章由计算机程序翻译,如有差异,请以英文原文为准。

Effects of intra-articular tranexamic acid injection with different acting times after anterior cruciate ligament reconstruction: a cohort study with historical controls.

Effects of intra-articular tranexamic acid injection with different acting times after anterior cruciate ligament reconstruction: a cohort study with historical controls.

Effects of intra-articular tranexamic acid injection with different acting times after anterior cruciate ligament reconstruction: a cohort study with historical controls.

Effects of intra-articular tranexamic acid injection with different acting times after anterior cruciate ligament reconstruction: a cohort study with historical controls.

Background: Intra-articular tranexamic acid (TXA) has been proven effective in reducing postoperative bleeding in anterior cruciate ligament reconstruction (ACLR). We aimed to evaluate the effect of intra-articular injection of TXA with different acting times after an ACLR procedure.

Patients and methods: Patients receiving ACLR and intra-articular injection of TXA between September 2023 and January 2024 were randomly divided into two groups, with drainage clamped for 4 h (TXA 4 h group) or 8 h (TXA 8 h group). Postoperative drainage output was the primary outcome. The secondary outcomes included the visual analog scale (VAS), grade of hemarthrosis, and International Knee Documentation Committee (IKDC) functional score. The data of another two groups of patients (TXA 2 h group and placebo group) were retrieved from a previous study as historical control groups for subsequent analysis.

Results: 121 patients were included. There were no significant differences in drainage output between TXA 4 h and TXA 8 h groups. On postoperative day 3, significantly decreased grades of hemarthrosis were noted in the TXA 8 h group (P = 0.030). There were no significant differences in the VAS at different postoperative time points or in the IKDC scores. Comparison with the placebo and TXA 2 h groups revealed significant reduction in postoperative drainage among the TXA 4 h and 8 h groups. The IKDC scores were significantly worse in the TXA 8 h group compared with the TXA 2 h (P < 0.001) and placebo (P = 0.009) groups.

Conclusions: A 4 h clamping time for intra-articular TXA administration after ACLR may be considered in current practice, as it effectively reduces drainage and pain without negatively impacting functional outcomes.

Level of evidence: Level III, cohort study.

求助全文
通过发布文献求助,成功后即可免费获取论文全文。 去求助
来源期刊
Journal of Orthopaedics and Traumatology
Journal of Orthopaedics and Traumatology Medicine-Orthopedics and Sports Medicine
CiteScore
4.30
自引率
0.00%
发文量
56
审稿时长
13 weeks
期刊介绍: The Journal of Orthopaedics and Traumatology, the official open access peer-reviewed journal of the Italian Society of Orthopaedics and Traumatology, publishes original papers reporting basic or clinical research in the field of orthopaedic and traumatologic surgery, as well as systematic reviews, brief communications, case reports and letters to the Editor. Narrative instructional reviews and commentaries to original articles may be commissioned by Editors from eminent colleagues. The Journal of Orthopaedics and Traumatology aims to be an international forum for the communication and exchange of ideas concerning the various aspects of orthopaedics and musculoskeletal trauma.
×
引用
GB/T 7714-2015
复制
MLA
复制
APA
复制
导出至
BibTeX EndNote RefMan NoteFirst NoteExpress
×
提示
您的信息不完整,为了账户安全,请先补充。
现在去补充
×
提示
您因"违规操作"
具体请查看互助需知
我知道了
×
提示
确定
请完成安全验证×
copy
已复制链接
快去分享给好友吧!
我知道了
右上角分享
点击右上角分享
0
联系我们:info@booksci.cn Book学术提供免费学术资源搜索服务,方便国内外学者检索中英文文献。致力于提供最便捷和优质的服务体验。 Copyright © 2023 布克学术 All rights reserved.
京ICP备2023020795号-1
ghs 京公网安备 11010802042870号
Book学术文献互助
Book学术文献互助群
群 号:604180095
Book学术官方微信