为期一周的家庭虚拟现实训练对压力和焦虑管理的支持效果和可接受性:随机试验

IF 4.1 2区 医学 Q1 HEALTH CARE SCIENCES & SERVICES
JMIR Serious Games Pub Date : 2025-03-06 DOI:10.2196/50326
Federica Pallavicini, Eleonora Orena, Lisa Arnoldi, Federica Achille, Stefano Stefanini, Maddalena Cassa, Alessandro Pepe, Guido Veronese, Luca Bernardelli, Francesca Sforza, Sara Fascendini, Carlo Alberto Defanti, Marco Gemma, Massimo Clerici, Giuseppe Riva, Fabrizia Mantovani
{"title":"为期一周的家庭虚拟现实训练对压力和焦虑管理的支持效果和可接受性:随机试验","authors":"Federica Pallavicini, Eleonora Orena, Lisa Arnoldi, Federica Achille, Stefano Stefanini, Maddalena Cassa, Alessandro Pepe, Guido Veronese, Luca Bernardelli, Francesca Sforza, Sara Fascendini, Carlo Alberto Defanti, Marco Gemma, Massimo Clerici, Giuseppe Riva, Fabrizia Mantovani","doi":"10.2196/50326","DOIUrl":null,"url":null,"abstract":"<p><strong>Background: </strong>Virtual reality (VR) is helpful for the management of stress and anxiety. However, current interventions have limitations related to location (ie, therapist's office or hospitals) and content (ie, virtual experiences only for relaxation).</p><p><strong>Objective: </strong>This randomized pilot trial aims to investigate the efficacy and acceptability of a brief remote VR-based training for supporting stress and anxiety management in a sample of Italian health care workers.</p><p><strong>Methods: </strong>A total of 29 doctors and nurses (n=21; 72% female; mean age 35.6, SD 10.3 years) were recruited and randomized to a VR intervention group or a control group in a passive control condition. Participants assigned to the VR intervention group received remote VR-based training consisting of 3 sessions at home delivered in 1 week using the VR psychoeducational experience \"MIND-VR\" and the 360° relaxing video \"The Secret Garden.\" The primary outcome measures were stress, anxiety, depression, and the knowledge of stress and anxiety assessed at baseline and posttreatment. We also evaluated the immediate effect of the remote VR-based training sessions on the perceived state of anxiety and negative and positive emotions. The secondary outcome measure was the usability at home of the VR system and content.</p><p><strong>Results: </strong>The VR intervention significantly reduced stress levels as assessed by the Perceived Stress Scale (6.46, 95% CI 2.77 to 10.5; P=.046) and increased the knowledge of stress and anxiety, as evaluated by the ad hoc questionnaire adopted (-2.09, 95% CI -3.86 to -0.529; P=.046). However, the home-based VR training did not yield similar reductions in stress, anxiety, and depression levels as assessed by the Depression, Anxiety, and Stress Scale-21 items or in trait anxiety as evaluated through the State-Trait Anxiety Inventory Form Y-1. After the home training sessions with VR, there was a significant decrease in anxiety, anger, and sadness and an increase in happiness levels. Analyses of the questionnaires on usability indicated that the health care workers found using the VR system at home easy and without adverse effects related to cybersickness. Of 33 participants, 29 (88%) adhered to the protocol.</p><p><strong>Conclusions: </strong>The results of this randomized pilot study suggest that a week-long home VR intervention, created with content created specifically for this purpose and available free of charge, can help individuals manage stress and anxiety, encouraging further research investigating the potential of remote VR interventions to support mental health.</p><p><strong>Trial registration: </strong>ClinicalTrials.gov NCT04611399; https://tinyurl.com/scxunprd.</p>","PeriodicalId":14795,"journal":{"name":"JMIR Serious Games","volume":"13 ","pages":"e50326"},"PeriodicalIF":4.1000,"publicationDate":"2025-03-06","publicationTypes":"Journal Article","fieldsOfStudy":null,"isOpenAccess":false,"openAccessPdf":"https://www.ncbi.nlm.nih.gov/pmc/articles/PMC11926460/pdf/","citationCount":"0","resultStr":"{\"title\":\"Effects and Acceptability of a 1-Week Home-Based Virtual Reality Training for Supporting the Management of Stress and Anxiety: Randomized Pilot Trial.\",\"authors\":\"Federica Pallavicini, Eleonora Orena, Lisa Arnoldi, Federica Achille, Stefano Stefanini, Maddalena Cassa, Alessandro Pepe, Guido Veronese, Luca Bernardelli, Francesca Sforza, Sara Fascendini, Carlo Alberto Defanti, Marco Gemma, Massimo Clerici, Giuseppe Riva, Fabrizia Mantovani\",\"doi\":\"10.2196/50326\",\"DOIUrl\":null,\"url\":null,\"abstract\":\"<p><strong>Background: </strong>Virtual reality (VR) is helpful for the management of stress and anxiety. However, current interventions have limitations related to location (ie, therapist's office or hospitals) and content (ie, virtual experiences only for relaxation).</p><p><strong>Objective: </strong>This randomized pilot trial aims to investigate the efficacy and acceptability of a brief remote VR-based training for supporting stress and anxiety management in a sample of Italian health care workers.</p><p><strong>Methods: </strong>A total of 29 doctors and nurses (n=21; 72% female; mean age 35.6, SD 10.3 years) were recruited and randomized to a VR intervention group or a control group in a passive control condition. Participants assigned to the VR intervention group received remote VR-based training consisting of 3 sessions at home delivered in 1 week using the VR psychoeducational experience \\\"MIND-VR\\\" and the 360° relaxing video \\\"The Secret Garden.\\\" The primary outcome measures were stress, anxiety, depression, and the knowledge of stress and anxiety assessed at baseline and posttreatment. We also evaluated the immediate effect of the remote VR-based training sessions on the perceived state of anxiety and negative and positive emotions. The secondary outcome measure was the usability at home of the VR system and content.</p><p><strong>Results: </strong>The VR intervention significantly reduced stress levels as assessed by the Perceived Stress Scale (6.46, 95% CI 2.77 to 10.5; P=.046) and increased the knowledge of stress and anxiety, as evaluated by the ad hoc questionnaire adopted (-2.09, 95% CI -3.86 to -0.529; P=.046). However, the home-based VR training did not yield similar reductions in stress, anxiety, and depression levels as assessed by the Depression, Anxiety, and Stress Scale-21 items or in trait anxiety as evaluated through the State-Trait Anxiety Inventory Form Y-1. After the home training sessions with VR, there was a significant decrease in anxiety, anger, and sadness and an increase in happiness levels. Analyses of the questionnaires on usability indicated that the health care workers found using the VR system at home easy and without adverse effects related to cybersickness. Of 33 participants, 29 (88%) adhered to the protocol.</p><p><strong>Conclusions: </strong>The results of this randomized pilot study suggest that a week-long home VR intervention, created with content created specifically for this purpose and available free of charge, can help individuals manage stress and anxiety, encouraging further research investigating the potential of remote VR interventions to support mental health.</p><p><strong>Trial registration: </strong>ClinicalTrials.gov NCT04611399; https://tinyurl.com/scxunprd.</p>\",\"PeriodicalId\":14795,\"journal\":{\"name\":\"JMIR Serious Games\",\"volume\":\"13 \",\"pages\":\"e50326\"},\"PeriodicalIF\":4.1000,\"publicationDate\":\"2025-03-06\",\"publicationTypes\":\"Journal Article\",\"fieldsOfStudy\":null,\"isOpenAccess\":false,\"openAccessPdf\":\"https://www.ncbi.nlm.nih.gov/pmc/articles/PMC11926460/pdf/\",\"citationCount\":\"0\",\"resultStr\":null,\"platform\":\"Semanticscholar\",\"paperid\":null,\"PeriodicalName\":\"JMIR Serious Games\",\"FirstCategoryId\":\"3\",\"ListUrlMain\":\"https://doi.org/10.2196/50326\",\"RegionNum\":2,\"RegionCategory\":\"医学\",\"ArticlePicture\":[],\"TitleCN\":null,\"AbstractTextCN\":null,\"PMCID\":null,\"EPubDate\":\"\",\"PubModel\":\"\",\"JCR\":\"Q1\",\"JCRName\":\"HEALTH CARE SCIENCES & SERVICES\",\"Score\":null,\"Total\":0}","platform":"Semanticscholar","paperid":null,"PeriodicalName":"JMIR Serious Games","FirstCategoryId":"3","ListUrlMain":"https://doi.org/10.2196/50326","RegionNum":2,"RegionCategory":"医学","ArticlePicture":[],"TitleCN":null,"AbstractTextCN":null,"PMCID":null,"EPubDate":"","PubModel":"","JCR":"Q1","JCRName":"HEALTH CARE SCIENCES & SERVICES","Score":null,"Total":0}
引用次数: 0

摘要

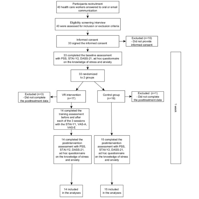
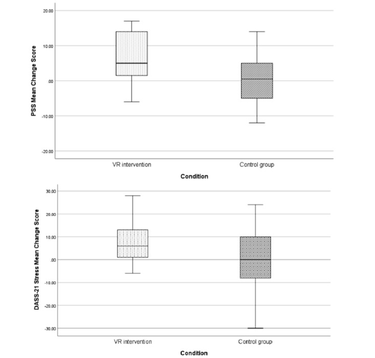
背景:虚拟现实(VR)有助于管理压力和焦虑。然而,目前的干预措施在地点(即治疗师办公室或医院)和内容(即仅用于放松的虚拟体验)方面存在局限性。目的:本随机试验旨在调查意大利卫生保健工作者样本中支持压力和焦虑管理的简短远程vr培训的有效性和可接受性。方法:29名医生和护士(n=21;72%的女性;平均年龄35.6岁,SD 10.3岁),随机分为VR干预组和被动对照组。被分配到虚拟现实干预组的参与者接受了基于虚拟现实的远程培训,包括3个为期一周的家庭培训,使用虚拟现实心理教育体验“MIND-VR”和360°放松视频“秘密花园”。主要结果测量是压力、焦虑、抑郁,以及在基线和治疗后评估的压力和焦虑的知识。我们还评估了基于vr的远程培训课程对感知焦虑状态、消极情绪和积极情绪的直接影响。第二个结果测量是VR系统和内容在家庭中的可用性。结果:虚拟现实干预显著降低了感知压力量表评估的压力水平(6.46,95% CI 2.77至10.5;P= 0.046),并增加了对压力和焦虑的认识(-2.09,95% CI -3.86至-0.529;P = .046)。然而,以家庭为基础的虚拟现实训练并没有在抑郁、焦虑和压力量表-21项目评估的压力、焦虑和抑郁水平上产生类似的减少,也没有在通过状态-特质焦虑量表Y-1评估的特质焦虑方面产生类似的减少。在VR的家庭训练课程之后,焦虑、愤怒和悲伤的程度显著下降,幸福水平上升。对问卷可用性的分析表明,医护人员认为在家中使用虚拟现实系统容易,没有与晕屏相关的不良影响。在33名参与者中,29名(88%)遵守了方案。结论:这项随机试点研究的结果表明,为期一周的家庭VR干预可以帮助个人管理压力和焦虑,并提供专门为此目的创建的内容,并且可以免费获得,从而鼓励进一步研究远程VR干预支持心理健康的潜力。试验注册:ClinicalTrials.gov NCT04611399;https://tinyurl.com/scxunprd。
本文章由计算机程序翻译,如有差异,请以英文原文为准。

Effects and Acceptability of a 1-Week Home-Based Virtual Reality Training for Supporting the Management of Stress and Anxiety: Randomized Pilot Trial.

Effects and Acceptability of a 1-Week Home-Based Virtual Reality Training for Supporting the Management of Stress and Anxiety: Randomized Pilot Trial.

Effects and Acceptability of a 1-Week Home-Based Virtual Reality Training for Supporting the Management of Stress and Anxiety: Randomized Pilot Trial.

Effects and Acceptability of a 1-Week Home-Based Virtual Reality Training for Supporting the Management of Stress and Anxiety: Randomized Pilot Trial.

Background: Virtual reality (VR) is helpful for the management of stress and anxiety. However, current interventions have limitations related to location (ie, therapist's office or hospitals) and content (ie, virtual experiences only for relaxation).

Objective: This randomized pilot trial aims to investigate the efficacy and acceptability of a brief remote VR-based training for supporting stress and anxiety management in a sample of Italian health care workers.

Methods: A total of 29 doctors and nurses (n=21; 72% female; mean age 35.6, SD 10.3 years) were recruited and randomized to a VR intervention group or a control group in a passive control condition. Participants assigned to the VR intervention group received remote VR-based training consisting of 3 sessions at home delivered in 1 week using the VR psychoeducational experience "MIND-VR" and the 360° relaxing video "The Secret Garden." The primary outcome measures were stress, anxiety, depression, and the knowledge of stress and anxiety assessed at baseline and posttreatment. We also evaluated the immediate effect of the remote VR-based training sessions on the perceived state of anxiety and negative and positive emotions. The secondary outcome measure was the usability at home of the VR system and content.

Results: The VR intervention significantly reduced stress levels as assessed by the Perceived Stress Scale (6.46, 95% CI 2.77 to 10.5; P=.046) and increased the knowledge of stress and anxiety, as evaluated by the ad hoc questionnaire adopted (-2.09, 95% CI -3.86 to -0.529; P=.046). However, the home-based VR training did not yield similar reductions in stress, anxiety, and depression levels as assessed by the Depression, Anxiety, and Stress Scale-21 items or in trait anxiety as evaluated through the State-Trait Anxiety Inventory Form Y-1. After the home training sessions with VR, there was a significant decrease in anxiety, anger, and sadness and an increase in happiness levels. Analyses of the questionnaires on usability indicated that the health care workers found using the VR system at home easy and without adverse effects related to cybersickness. Of 33 participants, 29 (88%) adhered to the protocol.

Conclusions: The results of this randomized pilot study suggest that a week-long home VR intervention, created with content created specifically for this purpose and available free of charge, can help individuals manage stress and anxiety, encouraging further research investigating the potential of remote VR interventions to support mental health.

Trial registration: ClinicalTrials.gov NCT04611399; https://tinyurl.com/scxunprd.

求助全文
通过发布文献求助,成功后即可免费获取论文全文。 去求助
来源期刊
JMIR Serious Games
JMIR Serious Games Medicine-Rehabilitation
CiteScore
7.30
自引率
10.00%
发文量
91
审稿时长
12 weeks
期刊介绍: JMIR Serious Games (JSG, ISSN 2291-9279) is a sister journal of the Journal of Medical Internet Research (JMIR), one of the most cited journals in health informatics (Impact Factor 2016: 5.175). JSG has a projected impact factor (2016) of 3.32. JSG is a multidisciplinary journal devoted to computer/web/mobile applications that incorporate elements of gaming to solve serious problems such as health education/promotion, teaching and education, or social change.The journal also considers commentary and research in the fields of video games violence and video games addiction.
×
引用
GB/T 7714-2015
复制
MLA
复制
APA
复制
导出至
BibTeX EndNote RefMan NoteFirst NoteExpress
×
提示
您的信息不完整,为了账户安全,请先补充。
现在去补充
×
提示
您因"违规操作"
具体请查看互助需知
我知道了
×
提示
确定
请完成安全验证×
copy
已复制链接
快去分享给好友吧!
我知道了
右上角分享
点击右上角分享
0
联系我们:info@booksci.cn Book学术提供免费学术资源搜索服务,方便国内外学者检索中英文文献。致力于提供最便捷和优质的服务体验。 Copyright © 2023 布克学术 All rights reserved.
京ICP备2023020795号-1
ghs 京公网安备 11010802042870号
Book学术文献互助
Book学术文献互助群
群 号:604180095
Book学术官方微信