在肥胖过敏性气道疾病和减肥手术小鼠模型中,胰高血糖素样肽1受体(Glp1r)缺乏不会明显改变气道炎症或肠道-肺微生物轴。

IF 3 3区 医学 Q2 ALLERGY
Journal of Asthma and Allergy Pub Date : 2025-02-27 eCollection Date: 2025-01-01 DOI:10.2147/JAA.S478329
Yeon Ji Kim, Victoria M Ihrie, Pixu Shi, Mark D Ihrie, Jack T Womble, Anna Hill Meares, Joshua A Granek, Claudia K Gunsch, Jennifer L Ingram
{"title":"在肥胖过敏性气道疾病和减肥手术小鼠模型中,胰高血糖素样肽1受体(Glp1r)缺乏不会明显改变气道炎症或肠道-肺微生物轴。","authors":"Yeon Ji Kim, Victoria M Ihrie, Pixu Shi, Mark D Ihrie, Jack T Womble, Anna Hill Meares, Joshua A Granek, Claudia K Gunsch, Jennifer L Ingram","doi":"10.2147/JAA.S478329","DOIUrl":null,"url":null,"abstract":"<p><strong>Purpose: </strong>High body mass index (≥30 kg/m<sup>2</sup>) is associated with asthma severity, and nearly 40% of asthma patients exhibit obesity. Furthermore, over 40% of patients with obesity and asthma that receive bariatric surgery no longer require asthma medication. Increased levels of glucagon-like peptide 1 (GLP-1) occur after bariatric surgery, and recent studies suggest that GLP-1 receptor (GLP-1R) signaling may regulate the gut microbiome and have anti-inflammatory properties in the lung. Thus, we hypothesized that increased GLP-1R signaling following metabolic surgery in obese and allergen-challenged mice leads to gut/lung microbiome alterations, which together contribute to improved features of allergic airways disease.</p><p><strong>Methods: </strong>Male and female <i>Glp1r</i>-deficient (<i>Glp1r<sup>-/-</sup></i> ) and replete (<i>Glp1r<sup>+/+</sup>)</i> mice were administered high fat diet (HFD) to induce obesity with simultaneous intranasal challenge with house dust mite (HDM) allergen to model allergic airway disease with appropriate controls. Mice on HFD received either no surgery, sham surgery, or vertical sleeve gastrectomy (VSG) on week 10 and were sacrificed on week 13. Data were collected with regard to fecal and lung tissue microbiome, lung histology, metabolic markers, and respiratory inflammation.</p><p><strong>Results: </strong>HFD led to metabolic imbalance characterized by lower GLP-1 and higher leptin levels, increased glucose intolerance, and alterations in gut microbiome composition. Prevalence of bacteria associated with short chain fatty acid (SCFA) production, namely <i>Bifidobacterium, Lachnospiraceae UCG-001</i>, and <i>Parasutterella</i>, was reduced in mice fed HFD and positively associated with serum GLP-1 levels. Intranasal HDM exposure induced airway inflammation. While <i>Glp1r<sup>-/-</sup></i> genotype affected fecal microbiome beta diversity metrics, its effect was limited.</p><p><strong>Conclusion: </strong>Herein, GLP-1R deficiency had surprisingly little effect on host gut and lung microbiomes and health, despite recent studies suggesting that GLP-1 receptor agonists are protective against lung inflammation.</p>","PeriodicalId":15079,"journal":{"name":"Journal of Asthma and Allergy","volume":"18 ","pages":"285-305"},"PeriodicalIF":3.0000,"publicationDate":"2025-02-27","publicationTypes":"Journal Article","fieldsOfStudy":null,"isOpenAccess":false,"openAccessPdf":"https://www.ncbi.nlm.nih.gov/pmc/articles/PMC11880686/pdf/","citationCount":"0","resultStr":"{\"title\":\"Glucagon-Like Peptide 1 Receptor (<i>Glp1r</i>) Deficiency Does Not Appreciably Alter Airway Inflammation or Gut-Lung Microbiome Axis in a Mouse Model of Obese Allergic Airways Disease and Bariatric Surgery.\",\"authors\":\"Yeon Ji Kim, Victoria M Ihrie, Pixu Shi, Mark D Ihrie, Jack T Womble, Anna Hill Meares, Joshua A Granek, Claudia K Gunsch, Jennifer L Ingram\",\"doi\":\"10.2147/JAA.S478329\",\"DOIUrl\":null,\"url\":null,\"abstract\":\"<p><strong>Purpose: </strong>High body mass index (≥30 kg/m<sup>2</sup>) is associated with asthma severity, and nearly 40% of asthma patients exhibit obesity. Furthermore, over 40% of patients with obesity and asthma that receive bariatric surgery no longer require asthma medication. Increased levels of glucagon-like peptide 1 (GLP-1) occur after bariatric surgery, and recent studies suggest that GLP-1 receptor (GLP-1R) signaling may regulate the gut microbiome and have anti-inflammatory properties in the lung. Thus, we hypothesized that increased GLP-1R signaling following metabolic surgery in obese and allergen-challenged mice leads to gut/lung microbiome alterations, which together contribute to improved features of allergic airways disease.</p><p><strong>Methods: </strong>Male and female <i>Glp1r</i>-deficient (<i>Glp1r<sup>-/-</sup></i> ) and replete (<i>Glp1r<sup>+/+</sup>)</i> mice were administered high fat diet (HFD) to induce obesity with simultaneous intranasal challenge with house dust mite (HDM) allergen to model allergic airway disease with appropriate controls. Mice on HFD received either no surgery, sham surgery, or vertical sleeve gastrectomy (VSG) on week 10 and were sacrificed on week 13. Data were collected with regard to fecal and lung tissue microbiome, lung histology, metabolic markers, and respiratory inflammation.</p><p><strong>Results: </strong>HFD led to metabolic imbalance characterized by lower GLP-1 and higher leptin levels, increased glucose intolerance, and alterations in gut microbiome composition. Prevalence of bacteria associated with short chain fatty acid (SCFA) production, namely <i>Bifidobacterium, Lachnospiraceae UCG-001</i>, and <i>Parasutterella</i>, was reduced in mice fed HFD and positively associated with serum GLP-1 levels. Intranasal HDM exposure induced airway inflammation. While <i>Glp1r<sup>-/-</sup></i> genotype affected fecal microbiome beta diversity metrics, its effect was limited.</p><p><strong>Conclusion: </strong>Herein, GLP-1R deficiency had surprisingly little effect on host gut and lung microbiomes and health, despite recent studies suggesting that GLP-1 receptor agonists are protective against lung inflammation.</p>\",\"PeriodicalId\":15079,\"journal\":{\"name\":\"Journal of Asthma and Allergy\",\"volume\":\"18 \",\"pages\":\"285-305\"},\"PeriodicalIF\":3.0000,\"publicationDate\":\"2025-02-27\",\"publicationTypes\":\"Journal Article\",\"fieldsOfStudy\":null,\"isOpenAccess\":false,\"openAccessPdf\":\"https://www.ncbi.nlm.nih.gov/pmc/articles/PMC11880686/pdf/\",\"citationCount\":\"0\",\"resultStr\":null,\"platform\":\"Semanticscholar\",\"paperid\":null,\"PeriodicalName\":\"Journal of Asthma and Allergy\",\"FirstCategoryId\":\"3\",\"ListUrlMain\":\"https://doi.org/10.2147/JAA.S478329\",\"RegionNum\":3,\"RegionCategory\":\"医学\",\"ArticlePicture\":[],\"TitleCN\":null,\"AbstractTextCN\":null,\"PMCID\":null,\"EPubDate\":\"2025/1/1 0:00:00\",\"PubModel\":\"eCollection\",\"JCR\":\"Q2\",\"JCRName\":\"ALLERGY\",\"Score\":null,\"Total\":0}","platform":"Semanticscholar","paperid":null,"PeriodicalName":"Journal of Asthma and Allergy","FirstCategoryId":"3","ListUrlMain":"https://doi.org/10.2147/JAA.S478329","RegionNum":3,"RegionCategory":"医学","ArticlePicture":[],"TitleCN":null,"AbstractTextCN":null,"PMCID":null,"EPubDate":"2025/1/1 0:00:00","PubModel":"eCollection","JCR":"Q2","JCRName":"ALLERGY","Score":null,"Total":0}
引用次数: 0

摘要

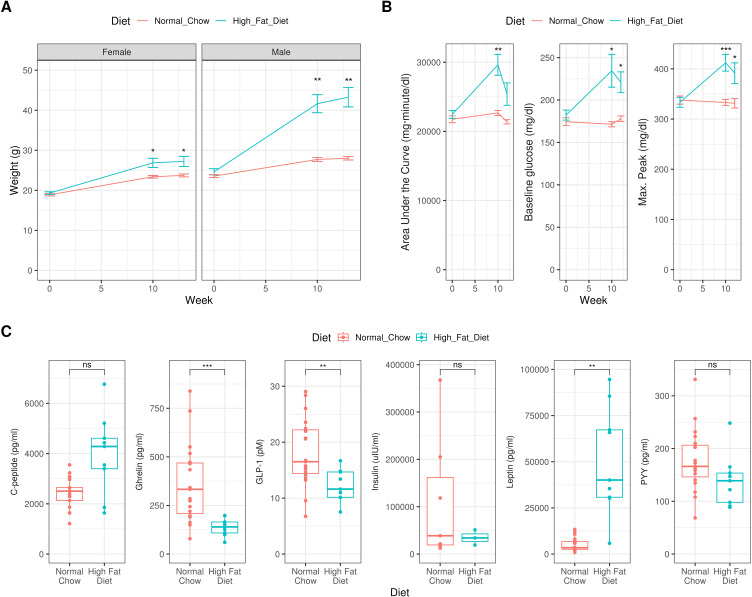
目的:高体重指数(≥30kg /m2)与哮喘严重程度相关,近40%的哮喘患者表现为肥胖。此外,超过40%的肥胖和哮喘患者接受减肥手术后不再需要哮喘药物。减肥手术后胰高血糖素样肽1 (GLP-1)水平升高,最近的研究表明,GLP-1受体(GLP-1R)信号传导可能调节肠道微生物群,并在肺部具有抗炎特性。因此,我们假设肥胖和过敏原挑战小鼠代谢手术后GLP-1R信号的增加导致肠道/肺部微生物组的改变,这共同有助于改善过敏性气道疾病的特征。方法:采用高脂饮食(HFD)诱导肥胖的方法,同时用室内尘螨(HDM)过敏原对雄性和雌性Glp1r缺陷(Glp1r-/-)和充满(Glp1r+/+)小鼠进行鼻内刺激,建立变应性气道疾病模型,并建立适当的对照。HFD小鼠在第10周接受不手术、假手术或垂直袖胃切除术(VSG),并在第13周处死。收集有关粪便和肺组织微生物组、肺组织学、代谢标志物和呼吸道炎症的数据。结果:HFD导致代谢失衡,其特征是GLP-1降低,瘦素水平升高,葡萄糖耐受不良增加,肠道微生物组组成改变。与短链脂肪酸(SCFA)产生相关的细菌,即双歧杆菌、毛缕菌科UCG-001和Parasutterella,在喂食HFD的小鼠中减少,并与血清GLP-1水平呈正相关。鼻内HDM暴露诱导气道炎症。虽然Glp1r-/-基因型影响粪便微生物组β多样性指标,但其影响有限。结论:尽管最近的研究表明GLP-1受体激动剂对肺部炎症具有保护作用,但GLP-1R缺乏对宿主肠道和肺部微生物组和健康的影响却小得惊人。
本文章由计算机程序翻译,如有差异,请以英文原文为准。

Glucagon-Like Peptide 1 Receptor (<i>Glp1r</i>) Deficiency Does Not Appreciably Alter Airway Inflammation or Gut-Lung Microbiome Axis in a Mouse Model of Obese Allergic Airways Disease and Bariatric Surgery.

Glucagon-Like Peptide 1 Receptor (<i>Glp1r</i>) Deficiency Does Not Appreciably Alter Airway Inflammation or Gut-Lung Microbiome Axis in a Mouse Model of Obese Allergic Airways Disease and Bariatric Surgery.

Glucagon-Like Peptide 1 Receptor (<i>Glp1r</i>) Deficiency Does Not Appreciably Alter Airway Inflammation or Gut-Lung Microbiome Axis in a Mouse Model of Obese Allergic Airways Disease and Bariatric Surgery.

Glucagon-Like Peptide 1 Receptor (Glp1r) Deficiency Does Not Appreciably Alter Airway Inflammation or Gut-Lung Microbiome Axis in a Mouse Model of Obese Allergic Airways Disease and Bariatric Surgery.

Purpose: High body mass index (≥30 kg/m2) is associated with asthma severity, and nearly 40% of asthma patients exhibit obesity. Furthermore, over 40% of patients with obesity and asthma that receive bariatric surgery no longer require asthma medication. Increased levels of glucagon-like peptide 1 (GLP-1) occur after bariatric surgery, and recent studies suggest that GLP-1 receptor (GLP-1R) signaling may regulate the gut microbiome and have anti-inflammatory properties in the lung. Thus, we hypothesized that increased GLP-1R signaling following metabolic surgery in obese and allergen-challenged mice leads to gut/lung microbiome alterations, which together contribute to improved features of allergic airways disease.

Methods: Male and female Glp1r-deficient (Glp1r-/- ) and replete (Glp1r+/+) mice were administered high fat diet (HFD) to induce obesity with simultaneous intranasal challenge with house dust mite (HDM) allergen to model allergic airway disease with appropriate controls. Mice on HFD received either no surgery, sham surgery, or vertical sleeve gastrectomy (VSG) on week 10 and were sacrificed on week 13. Data were collected with regard to fecal and lung tissue microbiome, lung histology, metabolic markers, and respiratory inflammation.

Results: HFD led to metabolic imbalance characterized by lower GLP-1 and higher leptin levels, increased glucose intolerance, and alterations in gut microbiome composition. Prevalence of bacteria associated with short chain fatty acid (SCFA) production, namely Bifidobacterium, Lachnospiraceae UCG-001, and Parasutterella, was reduced in mice fed HFD and positively associated with serum GLP-1 levels. Intranasal HDM exposure induced airway inflammation. While Glp1r-/- genotype affected fecal microbiome beta diversity metrics, its effect was limited.

Conclusion: Herein, GLP-1R deficiency had surprisingly little effect on host gut and lung microbiomes and health, despite recent studies suggesting that GLP-1 receptor agonists are protective against lung inflammation.

求助全文
通过发布文献求助,成功后即可免费获取论文全文。 去求助
来源期刊
Journal of Asthma and Allergy
Journal of Asthma and Allergy Medicine-Immunology and Allergy
CiteScore
5.30
自引率
6.20%
发文量
185
审稿时长
16 weeks
期刊介绍: An international, peer-reviewed journal publishing original research, reports, editorials and commentaries on the following topics: Asthma; Pulmonary physiology; Asthma related clinical health; Clinical immunology and the immunological basis of disease; Pharmacological interventions and new therapies. Although the main focus of the journal will be to publish research and clinical results in humans, preclinical, animal and in vitro studies will be published where they shed light on disease processes and potential new therapies.
×
引用
GB/T 7714-2015
复制
MLA
复制
APA
复制
导出至
BibTeX EndNote RefMan NoteFirst NoteExpress
×
提示
您的信息不完整,为了账户安全,请先补充。
现在去补充
×
提示
您因"违规操作"
具体请查看互助需知
我知道了
×
提示
确定
请完成安全验证×
copy
已复制链接
快去分享给好友吧!
我知道了
右上角分享
点击右上角分享
0
联系我们:info@booksci.cn Book学术提供免费学术资源搜索服务,方便国内外学者检索中英文文献。致力于提供最便捷和优质的服务体验。 Copyright © 2023 布克学术 All rights reserved.
京ICP备2023020795号-1
ghs 京公网安备 11010802042870号
Book学术文献互助
Book学术文献互助群
群 号:604180095
Book学术官方微信