使用2,4-二硝基苯肼简化和经济地测量乙二醛酶I的活性:一个对研究人员有价值的工具。

IF 1.3 Q3 BIOCHEMICAL RESEARCH METHODS
Biology Methods and Protocols Pub Date : 2025-02-18 eCollection Date: 2025-01-01 DOI:10.1093/biomethods/bpaf013
Mohammed Alaa Kadhum, Mahmoud Hussein Hadwan
{"title":"使用2,4-二硝基苯肼简化和经济地测量乙二醛酶I的活性:一个对研究人员有价值的工具。","authors":"Mohammed Alaa Kadhum, Mahmoud Hussein Hadwan","doi":"10.1093/biomethods/bpaf013","DOIUrl":null,"url":null,"abstract":"<p><p>Glyoxalase I (Glo I) is an enzyme essential for detoxifying methylglyoxal, a toxic compound associated with advanced glycation end products. Given Glo I's multifaceted roles in various physiological and pathological processes, accurately measuring its activity is crucial for understanding its implications in metabolic disorders. The current assay utilizes 2,4-dinitrophenylhydrazine (2,4-DNPH) to measure Glo I activity. This reagent has previously been employed to evaluate a group of enzyme protocols. The procedure involves incubating Glo I enzyme samples in a controlled phosphate buffer at pH 6.6, optimizing conditions for enzymatic activity. Glutathione and methylglyoxal serve as substrates, with Glo I catalyzing the conversion of the hemithioacetal adduct into S-D-lactoylglutathione. Unreacted methylglyoxal is quantified by forming a colored hydrazone complex with 2,4-DNPH. The 2,4-DNPH method is rigorously validated for linearity, stability, resistance to interference, and sensitivity from several chemicals. It strongly correlates with the existing ultraviolet method, offering enhanced simplicity and cost-effectiveness. The protocol allows precise quantification of Glo I activity, with potential in research and diagnostics. Intra- and inter-day analyses confirm accuracy as percentage relative error, ensuring reliable measurement activity. The DNPH-Glo I method exhibited excellent sensitivity, with low limits of detection and quantification at 0.006 U/L and 0.018 U/L, respectively. This research provides valuable insights into the quantification of Glo I, highlighting significant implications for future studies in metabolic disorders and related health fields. This study contributes to a deeper understanding of its role in health and disease management by advancing the methods available for measuring Glo I activity.</p>","PeriodicalId":36528,"journal":{"name":"Biology Methods and Protocols","volume":"10 1","pages":"bpaf013"},"PeriodicalIF":1.3000,"publicationDate":"2025-02-18","publicationTypes":"Journal Article","fieldsOfStudy":null,"isOpenAccess":false,"openAccessPdf":"https://www.ncbi.nlm.nih.gov/pmc/articles/PMC11878566/pdf/","citationCount":"0","resultStr":"{\"title\":\"Simplified and economic measurement of glyoxalase I activity using 2,4-dinitrophenylhydrazine: A valuable tool for researchers.\",\"authors\":\"Mohammed Alaa Kadhum, Mahmoud Hussein Hadwan\",\"doi\":\"10.1093/biomethods/bpaf013\",\"DOIUrl\":null,\"url\":null,\"abstract\":\"<p><p>Glyoxalase I (Glo I) is an enzyme essential for detoxifying methylglyoxal, a toxic compound associated with advanced glycation end products. Given Glo I's multifaceted roles in various physiological and pathological processes, accurately measuring its activity is crucial for understanding its implications in metabolic disorders. The current assay utilizes 2,4-dinitrophenylhydrazine (2,4-DNPH) to measure Glo I activity. This reagent has previously been employed to evaluate a group of enzyme protocols. The procedure involves incubating Glo I enzyme samples in a controlled phosphate buffer at pH 6.6, optimizing conditions for enzymatic activity. Glutathione and methylglyoxal serve as substrates, with Glo I catalyzing the conversion of the hemithioacetal adduct into S-D-lactoylglutathione. Unreacted methylglyoxal is quantified by forming a colored hydrazone complex with 2,4-DNPH. The 2,4-DNPH method is rigorously validated for linearity, stability, resistance to interference, and sensitivity from several chemicals. It strongly correlates with the existing ultraviolet method, offering enhanced simplicity and cost-effectiveness. The protocol allows precise quantification of Glo I activity, with potential in research and diagnostics. Intra- and inter-day analyses confirm accuracy as percentage relative error, ensuring reliable measurement activity. The DNPH-Glo I method exhibited excellent sensitivity, with low limits of detection and quantification at 0.006 U/L and 0.018 U/L, respectively. This research provides valuable insights into the quantification of Glo I, highlighting significant implications for future studies in metabolic disorders and related health fields. This study contributes to a deeper understanding of its role in health and disease management by advancing the methods available for measuring Glo I activity.</p>\",\"PeriodicalId\":36528,\"journal\":{\"name\":\"Biology Methods and Protocols\",\"volume\":\"10 1\",\"pages\":\"bpaf013\"},\"PeriodicalIF\":1.3000,\"publicationDate\":\"2025-02-18\",\"publicationTypes\":\"Journal Article\",\"fieldsOfStudy\":null,\"isOpenAccess\":false,\"openAccessPdf\":\"https://www.ncbi.nlm.nih.gov/pmc/articles/PMC11878566/pdf/\",\"citationCount\":\"0\",\"resultStr\":null,\"platform\":\"Semanticscholar\",\"paperid\":null,\"PeriodicalName\":\"Biology Methods and Protocols\",\"FirstCategoryId\":\"1085\",\"ListUrlMain\":\"https://doi.org/10.1093/biomethods/bpaf013\",\"RegionNum\":0,\"RegionCategory\":null,\"ArticlePicture\":[],\"TitleCN\":null,\"AbstractTextCN\":null,\"PMCID\":null,\"EPubDate\":\"2025/1/1 0:00:00\",\"PubModel\":\"eCollection\",\"JCR\":\"Q3\",\"JCRName\":\"BIOCHEMICAL RESEARCH METHODS\",\"Score\":null,\"Total\":0}","platform":"Semanticscholar","paperid":null,"PeriodicalName":"Biology Methods and Protocols","FirstCategoryId":"1085","ListUrlMain":"https://doi.org/10.1093/biomethods/bpaf013","RegionNum":0,"RegionCategory":null,"ArticlePicture":[],"TitleCN":null,"AbstractTextCN":null,"PMCID":null,"EPubDate":"2025/1/1 0:00:00","PubModel":"eCollection","JCR":"Q3","JCRName":"BIOCHEMICAL RESEARCH METHODS","Score":null,"Total":0}
引用次数: 0

摘要

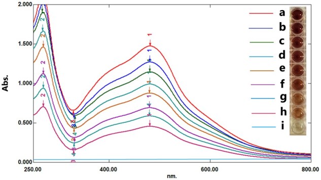
乙二醛酶I (Glo I)是解毒甲基乙二醛所必需的酶,甲基乙二醛是一种与晚期糖基化终产物相关的有毒化合物。鉴于Glo I在各种生理和病理过程中的多方面作用,准确测量其活性对于理解其在代谢紊乱中的意义至关重要。目前的分析利用2,4-二硝基苯肼(2,4- dnph)来测量Glo I活性。该试剂先前已被用于评估一组酶方案。该过程包括在pH为6.6的受控磷酸盐缓冲液中培养Glo I酶样品,优化酶活性的条件。谷胱甘肽和甲基乙二醛作为底物,Glo I催化半硫缩醛加合物转化为s - d -乳酸谷胱甘肽。未反应的甲基乙二醛通过与2,4- dnph形成有色腙络合物来定量。2,4- dnph方法的线性度、稳定性、抗干扰性和对几种化学物质的灵敏度经过严格验证。它与现有的紫外线方法密切相关,提供了增强的简单性和成本效益。该方案可以精确量化Glo I活性,在研究和诊断方面具有潜力。日内和日间分析确认了相对误差百分比的准确性,确保了可靠的测量活动。DNPH-Glo I方法灵敏度高,检测下限和定量下限分别为0.006 U/L和0.018 U/L。该研究为Glo I的定量提供了有价值的见解,对未来代谢紊乱和相关健康领域的研究具有重要意义。本研究通过改进测量Glo I活性的方法,有助于更深入地了解其在健康和疾病管理中的作用。
本文章由计算机程序翻译,如有差异,请以英文原文为准。

Simplified and economic measurement of glyoxalase I activity using 2,4-dinitrophenylhydrazine: A valuable tool for researchers.

Simplified and economic measurement of glyoxalase I activity using 2,4-dinitrophenylhydrazine: A valuable tool for researchers.

Simplified and economic measurement of glyoxalase I activity using 2,4-dinitrophenylhydrazine: A valuable tool for researchers.

Simplified and economic measurement of glyoxalase I activity using 2,4-dinitrophenylhydrazine: A valuable tool for researchers.

Glyoxalase I (Glo I) is an enzyme essential for detoxifying methylglyoxal, a toxic compound associated with advanced glycation end products. Given Glo I's multifaceted roles in various physiological and pathological processes, accurately measuring its activity is crucial for understanding its implications in metabolic disorders. The current assay utilizes 2,4-dinitrophenylhydrazine (2,4-DNPH) to measure Glo I activity. This reagent has previously been employed to evaluate a group of enzyme protocols. The procedure involves incubating Glo I enzyme samples in a controlled phosphate buffer at pH 6.6, optimizing conditions for enzymatic activity. Glutathione and methylglyoxal serve as substrates, with Glo I catalyzing the conversion of the hemithioacetal adduct into S-D-lactoylglutathione. Unreacted methylglyoxal is quantified by forming a colored hydrazone complex with 2,4-DNPH. The 2,4-DNPH method is rigorously validated for linearity, stability, resistance to interference, and sensitivity from several chemicals. It strongly correlates with the existing ultraviolet method, offering enhanced simplicity and cost-effectiveness. The protocol allows precise quantification of Glo I activity, with potential in research and diagnostics. Intra- and inter-day analyses confirm accuracy as percentage relative error, ensuring reliable measurement activity. The DNPH-Glo I method exhibited excellent sensitivity, with low limits of detection and quantification at 0.006 U/L and 0.018 U/L, respectively. This research provides valuable insights into the quantification of Glo I, highlighting significant implications for future studies in metabolic disorders and related health fields. This study contributes to a deeper understanding of its role in health and disease management by advancing the methods available for measuring Glo I activity.

求助全文
通过发布文献求助,成功后即可免费获取论文全文。 去求助
来源期刊
Biology Methods and Protocols
Biology Methods and Protocols Agricultural and Biological Sciences-Agricultural and Biological Sciences (all)
CiteScore
3.80
自引率
2.80%
发文量
28
审稿时长
19 weeks
×
引用
GB/T 7714-2015
复制
MLA
复制
APA
复制
导出至
BibTeX EndNote RefMan NoteFirst NoteExpress
×
提示
您的信息不完整,为了账户安全,请先补充。
现在去补充
×
提示
您因"违规操作"
具体请查看互助需知
我知道了
×
提示
确定
请完成安全验证×
copy
已复制链接
快去分享给好友吧!
我知道了
右上角分享
点击右上角分享
0
联系我们:info@booksci.cn Book学术提供免费学术资源搜索服务,方便国内外学者检索中英文文献。致力于提供最便捷和优质的服务体验。 Copyright © 2023 布克学术 All rights reserved.
京ICP备2023020795号-1
ghs 京公网安备 11010802042870号
Book学术文献互助
Book学术文献互助群
群 号:604180095
Book学术官方微信