探索电子健康记录中诊断之外的问题以提高发现:全现象关联研究综述。

IF 3.4 Q2 HEALTH CARE SCIENCES & SERVICES
JAMIA Open Pub Date : 2025-02-28 eCollection Date: 2025-02-01 DOI:10.1093/jamiaopen/ooaf006
Nicholas C Wan, Monika E Grabowska, Vern Eric Kerchberger, Wei-Qi Wei
{"title":"探索电子健康记录中诊断之外的问题以提高发现:全现象关联研究综述。","authors":"Nicholas C Wan, Monika E Grabowska, Vern Eric Kerchberger, Wei-Qi Wei","doi":"10.1093/jamiaopen/ooaf006","DOIUrl":null,"url":null,"abstract":"<p><strong>Objective: </strong>The phenome-wide association study (PheWAS) systematically examines the phenotypic spectrum extracted from electronic health records (EHRs) to uncover correlations between phenotypes and exposures. This review explores methodologies, highlights challenges, and outlines future directions for EHR-driven PheWAS.</p><p><strong>Materials and methods: </strong>We searched the PubMed database for articles spanning from 2010 to 2023, and we collected data regarding exposures, phenotypes, cohorts, terminologies, replication, and ancestry.</p><p><strong>Results: </strong>Our search yielded 690 articles. Following exclusion criteria, we identified 291 articles published between January 1, 2010, and December 31, 2023. A total number of 162 (55.6%) articles defined phenomes using phecodes, indicating that research is reliant on the organization of billing codes. Moreover, 72.8% of articles utilized exposures consisting of genetic data, and the majority (69.4%) of PheWAS lacked replication analyses.</p><p><strong>Discussion: </strong>Existing literature underscores the need for deeper phenotyping, variability in PheWAS exposure variables, and absence of replication in PheWAS. Current applications of PheWAS mainly focus on cardiovascular, metabolic, and endocrine phenotypes; thus, applications of PheWAS in uncommon diseases, which may lack structured data, remain largely understudied.</p><p><strong>Conclusions: </strong>With modern EHRs, future PheWAS should extend beyond diagnosis codes and consider additional data like clinical notes or medications to create comprehensive phenotype profiles that consider severity, temporality, risk, and ancestry. Furthermore, data interoperability initiatives may help mitigate the paucity of PheWAS replication analyses. With the growing availability of data in EHR, PheWAS will remain a powerful tool in precision medicine.</p>","PeriodicalId":36278,"journal":{"name":"JAMIA Open","volume":"8 1","pages":"ooaf006"},"PeriodicalIF":3.4000,"publicationDate":"2025-02-28","publicationTypes":"Journal Article","fieldsOfStudy":null,"isOpenAccess":false,"openAccessPdf":"https://www.ncbi.nlm.nih.gov/pmc/articles/PMC11879097/pdf/","citationCount":"0","resultStr":"{\"title\":\"Exploring beyond diagnoses in electronic health records to improve discovery: a review of the phenome-wide association study.\",\"authors\":\"Nicholas C Wan, Monika E Grabowska, Vern Eric Kerchberger, Wei-Qi Wei\",\"doi\":\"10.1093/jamiaopen/ooaf006\",\"DOIUrl\":null,\"url\":null,\"abstract\":\"<p><strong>Objective: </strong>The phenome-wide association study (PheWAS) systematically examines the phenotypic spectrum extracted from electronic health records (EHRs) to uncover correlations between phenotypes and exposures. This review explores methodologies, highlights challenges, and outlines future directions for EHR-driven PheWAS.</p><p><strong>Materials and methods: </strong>We searched the PubMed database for articles spanning from 2010 to 2023, and we collected data regarding exposures, phenotypes, cohorts, terminologies, replication, and ancestry.</p><p><strong>Results: </strong>Our search yielded 690 articles. Following exclusion criteria, we identified 291 articles published between January 1, 2010, and December 31, 2023. A total number of 162 (55.6%) articles defined phenomes using phecodes, indicating that research is reliant on the organization of billing codes. Moreover, 72.8% of articles utilized exposures consisting of genetic data, and the majority (69.4%) of PheWAS lacked replication analyses.</p><p><strong>Discussion: </strong>Existing literature underscores the need for deeper phenotyping, variability in PheWAS exposure variables, and absence of replication in PheWAS. Current applications of PheWAS mainly focus on cardiovascular, metabolic, and endocrine phenotypes; thus, applications of PheWAS in uncommon diseases, which may lack structured data, remain largely understudied.</p><p><strong>Conclusions: </strong>With modern EHRs, future PheWAS should extend beyond diagnosis codes and consider additional data like clinical notes or medications to create comprehensive phenotype profiles that consider severity, temporality, risk, and ancestry. Furthermore, data interoperability initiatives may help mitigate the paucity of PheWAS replication analyses. With the growing availability of data in EHR, PheWAS will remain a powerful tool in precision medicine.</p>\",\"PeriodicalId\":36278,\"journal\":{\"name\":\"JAMIA Open\",\"volume\":\"8 1\",\"pages\":\"ooaf006\"},\"PeriodicalIF\":3.4000,\"publicationDate\":\"2025-02-28\",\"publicationTypes\":\"Journal Article\",\"fieldsOfStudy\":null,\"isOpenAccess\":false,\"openAccessPdf\":\"https://www.ncbi.nlm.nih.gov/pmc/articles/PMC11879097/pdf/\",\"citationCount\":\"0\",\"resultStr\":null,\"platform\":\"Semanticscholar\",\"paperid\":null,\"PeriodicalName\":\"JAMIA Open\",\"FirstCategoryId\":\"1085\",\"ListUrlMain\":\"https://doi.org/10.1093/jamiaopen/ooaf006\",\"RegionNum\":0,\"RegionCategory\":null,\"ArticlePicture\":[],\"TitleCN\":null,\"AbstractTextCN\":null,\"PMCID\":null,\"EPubDate\":\"2025/2/1 0:00:00\",\"PubModel\":\"eCollection\",\"JCR\":\"Q2\",\"JCRName\":\"HEALTH CARE SCIENCES & SERVICES\",\"Score\":null,\"Total\":0}","platform":"Semanticscholar","paperid":null,"PeriodicalName":"JAMIA Open","FirstCategoryId":"1085","ListUrlMain":"https://doi.org/10.1093/jamiaopen/ooaf006","RegionNum":0,"RegionCategory":null,"ArticlePicture":[],"TitleCN":null,"AbstractTextCN":null,"PMCID":null,"EPubDate":"2025/2/1 0:00:00","PubModel":"eCollection","JCR":"Q2","JCRName":"HEALTH CARE SCIENCES & SERVICES","Score":null,"Total":0}
引用次数: 0

摘要

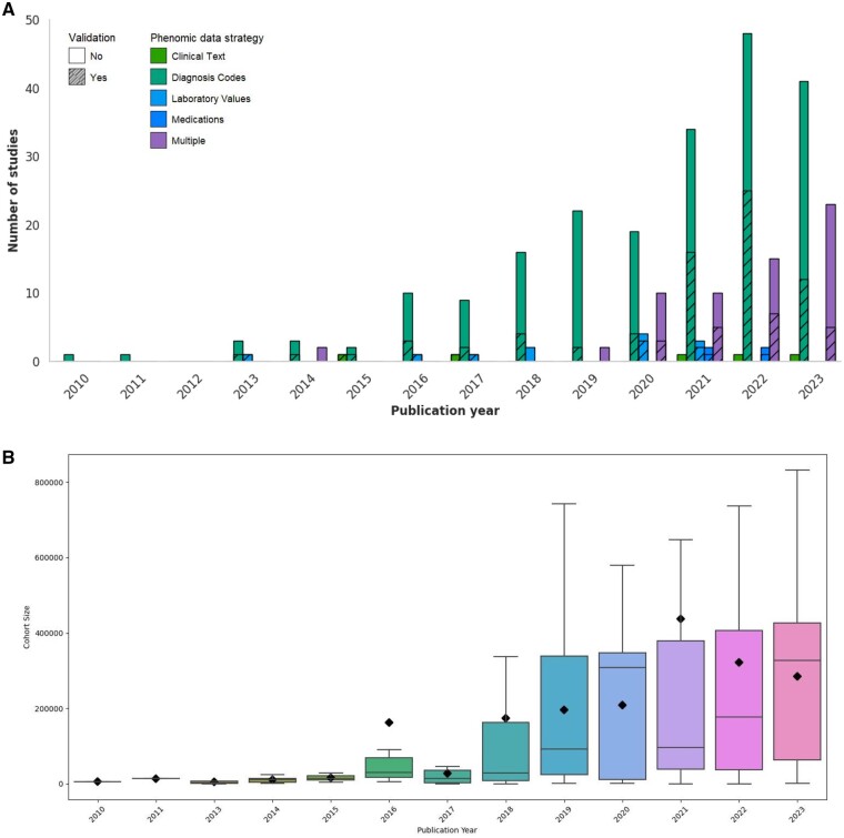
目的:全表型关联研究(PheWAS)系统地检查从电子健康记录(EHRs)中提取的表型谱,以揭示表型与暴露之间的相关性。本综述探讨了ehr驱动的PheWAS的方法,突出了挑战,并概述了未来的方向。材料和方法:我们在PubMed数据库中检索了从2010年到2023年的文章,我们收集了关于暴露、表型、队列、术语、复制和祖先的数据。结果:我们检索了690篇文章。根据排除标准,我们确定了291篇发表于2010年1月1日至2023年12月31日之间的文章。共有162篇(55.6%)文章使用码来定义现象,这表明研究依赖于计费码的组织。此外,72.8%的文章利用了由遗传数据组成的暴露,大多数(69.4%)的PheWAS缺乏复制分析。讨论:现有文献强调需要更深入的表型,PheWAS暴露变量的可变性,以及PheWAS中缺乏复制。目前PheWAS的应用主要集中在心血管、代谢和内分泌表型;因此,PheWAS在可能缺乏结构化数据的罕见疾病中的应用在很大程度上仍未得到充分研究。结论:随着现代电子病历的发展,未来的PheWAS应该超越诊断代码,并考虑临床记录或药物等额外数据,以创建综合的表型谱,考虑严重性、时间、风险和血统。此外,数据互操作性倡议可能有助于缓解PheWAS复制分析的缺乏。随着电子病历数据的日益可用性,PheWAS仍将是精准医疗的有力工具。
本文章由计算机程序翻译,如有差异,请以英文原文为准。

Exploring beyond diagnoses in electronic health records to improve discovery: a review of the phenome-wide association study.

Exploring beyond diagnoses in electronic health records to improve discovery: a review of the phenome-wide association study.

Exploring beyond diagnoses in electronic health records to improve discovery: a review of the phenome-wide association study.

Exploring beyond diagnoses in electronic health records to improve discovery: a review of the phenome-wide association study.

Objective: The phenome-wide association study (PheWAS) systematically examines the phenotypic spectrum extracted from electronic health records (EHRs) to uncover correlations between phenotypes and exposures. This review explores methodologies, highlights challenges, and outlines future directions for EHR-driven PheWAS.

Materials and methods: We searched the PubMed database for articles spanning from 2010 to 2023, and we collected data regarding exposures, phenotypes, cohorts, terminologies, replication, and ancestry.

Results: Our search yielded 690 articles. Following exclusion criteria, we identified 291 articles published between January 1, 2010, and December 31, 2023. A total number of 162 (55.6%) articles defined phenomes using phecodes, indicating that research is reliant on the organization of billing codes. Moreover, 72.8% of articles utilized exposures consisting of genetic data, and the majority (69.4%) of PheWAS lacked replication analyses.

Discussion: Existing literature underscores the need for deeper phenotyping, variability in PheWAS exposure variables, and absence of replication in PheWAS. Current applications of PheWAS mainly focus on cardiovascular, metabolic, and endocrine phenotypes; thus, applications of PheWAS in uncommon diseases, which may lack structured data, remain largely understudied.

Conclusions: With modern EHRs, future PheWAS should extend beyond diagnosis codes and consider additional data like clinical notes or medications to create comprehensive phenotype profiles that consider severity, temporality, risk, and ancestry. Furthermore, data interoperability initiatives may help mitigate the paucity of PheWAS replication analyses. With the growing availability of data in EHR, PheWAS will remain a powerful tool in precision medicine.

求助全文
通过发布文献求助,成功后即可免费获取论文全文。 去求助
来源期刊
JAMIA Open
JAMIA Open Medicine-Health Informatics
CiteScore
4.10
自引率
4.80%
发文量
102
审稿时长
16 weeks
×
引用
GB/T 7714-2015
复制
MLA
复制
APA
复制
导出至
BibTeX EndNote RefMan NoteFirst NoteExpress
×
提示
您的信息不完整,为了账户安全,请先补充。
现在去补充
×
提示
您因"违规操作"
具体请查看互助需知
我知道了
×
提示
确定
请完成安全验证×
copy
已复制链接
快去分享给好友吧!
我知道了
右上角分享
点击右上角分享
0
联系我们:info@booksci.cn Book学术提供免费学术资源搜索服务,方便国内外学者检索中英文文献。致力于提供最便捷和优质的服务体验。 Copyright © 2023 布克学术 All rights reserved.
京ICP备2023020795号-1
ghs 京公网安备 11010802042870号
Book学术文献互助
Book学术文献互助群
群 号:604180095
Book学术官方微信