伊鲁替尼和阿卡拉布替尼的使用和发生房颤的风险:倾向匹配分析。

IF 13.5 1区 医学 Q1 HEMATOLOGY
Joachim Alexandre, Jonaz Font, Thibault Lenormand, Sylvain Chantepie, Hippolyte Bardet, Gandhi Damaj, Charles Dolladille, Damien Legallois, Angélique Da-Silva, Paul Milliez, Arnaud Bisson, Laurent Fauchier
{"title":"伊鲁替尼和阿卡拉布替尼的使用和发生房颤的风险:倾向匹配分析。","authors":"Joachim Alexandre, Jonaz Font, Thibault Lenormand, Sylvain Chantepie, Hippolyte Bardet, Gandhi Damaj, Charles Dolladille, Damien Legallois, Angélique Da-Silva, Paul Milliez, Arnaud Bisson, Laurent Fauchier","doi":"10.1186/s40164-025-00619-6","DOIUrl":null,"url":null,"abstract":"<p><p>Ibrutinib and acalabrutinib are both associated with an increased risk of atrial fibrillation (AF); however, the comparative risk of AF between these 2 BTK inhibitors remains largely unknown. Our primary aim was to evaluate the risk of incident AF in patients exposed to ibrutinib compared to those exposed to acalabrutinib. Using the TriNetX research network database, we established a retrospective cohort of adult patients (≥ 18 years) previously diagnosed with a B-cell malignancy (using ICD-10-CM codes) in whom a first BTKi introduction occurred between January 1st, 2013 (first patient exposed to ibrutinib in TriNetX) and July 1st, 2024. Patients were divided into 2 groups based on their exposure to ibrutinib or acalabrutinib. After propensity score matching (PSM) across 37 covariates, Cox proportional hazard models were used to calculate the hazard ratios (HRs) and 95% confidence intervals (CIs) to compare the 2 matched groups. The appropriateness of the proportional hazard assumption was examined and risk differences (RDs) were used if appropriate. Results were summarized with the use of Kaplan-Meier survival curves. Follow-up started from 1 day after first BTKi introduction and continued over a 6-year follow-up period. A cohort of 12,449 patients exposed to ibrutinib and 4,131 to acalabrutinib were included in the study. After PSM, 4,090 patients remained in each group (1:1). During a mean duration of BTKi exposure of 2.3 ± 1.8 years, we found a significantly higher risk of incident AF in the ibrutinib group compared to the acalabrutinib group (RD 0.09, 95% CI 0.07-0.10). This difference was consistent across subgroups (age ≤ or > 75 and lower or higher baseline cardiovascular risk of developing AF). In conclusion, among patients with B-cell malignancies, the risk of developing incident AF is increased when treated with ibrutinib compared to acalabrutinib.Trial registration ClinicalTrial registration number: NCT06561243.</p>","PeriodicalId":12180,"journal":{"name":"Experimental Hematology & Oncology","volume":"14 1","pages":"29"},"PeriodicalIF":13.5000,"publicationDate":"2025-03-04","publicationTypes":"Journal Article","fieldsOfStudy":null,"isOpenAccess":false,"openAccessPdf":"https://www.ncbi.nlm.nih.gov/pmc/articles/PMC11877785/pdf/","citationCount":"0","resultStr":"{\"title\":\"Ibrutinib and acalabrutinib use and risk of incident atrial fibrillation: a propensity-matched analysis.\",\"authors\":\"Joachim Alexandre, Jonaz Font, Thibault Lenormand, Sylvain Chantepie, Hippolyte Bardet, Gandhi Damaj, Charles Dolladille, Damien Legallois, Angélique Da-Silva, Paul Milliez, Arnaud Bisson, Laurent Fauchier\",\"doi\":\"10.1186/s40164-025-00619-6\",\"DOIUrl\":null,\"url\":null,\"abstract\":\"<p><p>Ibrutinib and acalabrutinib are both associated with an increased risk of atrial fibrillation (AF); however, the comparative risk of AF between these 2 BTK inhibitors remains largely unknown. Our primary aim was to evaluate the risk of incident AF in patients exposed to ibrutinib compared to those exposed to acalabrutinib. Using the TriNetX research network database, we established a retrospective cohort of adult patients (≥ 18 years) previously diagnosed with a B-cell malignancy (using ICD-10-CM codes) in whom a first BTKi introduction occurred between January 1st, 2013 (first patient exposed to ibrutinib in TriNetX) and July 1st, 2024. Patients were divided into 2 groups based on their exposure to ibrutinib or acalabrutinib. After propensity score matching (PSM) across 37 covariates, Cox proportional hazard models were used to calculate the hazard ratios (HRs) and 95% confidence intervals (CIs) to compare the 2 matched groups. The appropriateness of the proportional hazard assumption was examined and risk differences (RDs) were used if appropriate. Results were summarized with the use of Kaplan-Meier survival curves. Follow-up started from 1 day after first BTKi introduction and continued over a 6-year follow-up period. A cohort of 12,449 patients exposed to ibrutinib and 4,131 to acalabrutinib were included in the study. After PSM, 4,090 patients remained in each group (1:1). During a mean duration of BTKi exposure of 2.3 ± 1.8 years, we found a significantly higher risk of incident AF in the ibrutinib group compared to the acalabrutinib group (RD 0.09, 95% CI 0.07-0.10). This difference was consistent across subgroups (age ≤ or > 75 and lower or higher baseline cardiovascular risk of developing AF). In conclusion, among patients with B-cell malignancies, the risk of developing incident AF is increased when treated with ibrutinib compared to acalabrutinib.Trial registration ClinicalTrial registration number: NCT06561243.</p>\",\"PeriodicalId\":12180,\"journal\":{\"name\":\"Experimental Hematology & Oncology\",\"volume\":\"14 1\",\"pages\":\"29\"},\"PeriodicalIF\":13.5000,\"publicationDate\":\"2025-03-04\",\"publicationTypes\":\"Journal Article\",\"fieldsOfStudy\":null,\"isOpenAccess\":false,\"openAccessPdf\":\"https://www.ncbi.nlm.nih.gov/pmc/articles/PMC11877785/pdf/\",\"citationCount\":\"0\",\"resultStr\":null,\"platform\":\"Semanticscholar\",\"paperid\":null,\"PeriodicalName\":\"Experimental Hematology & Oncology\",\"FirstCategoryId\":\"3\",\"ListUrlMain\":\"https://doi.org/10.1186/s40164-025-00619-6\",\"RegionNum\":1,\"RegionCategory\":\"医学\",\"ArticlePicture\":[],\"TitleCN\":null,\"AbstractTextCN\":null,\"PMCID\":null,\"EPubDate\":\"\",\"PubModel\":\"\",\"JCR\":\"Q1\",\"JCRName\":\"HEMATOLOGY\",\"Score\":null,\"Total\":0}","platform":"Semanticscholar","paperid":null,"PeriodicalName":"Experimental Hematology & Oncology","FirstCategoryId":"3","ListUrlMain":"https://doi.org/10.1186/s40164-025-00619-6","RegionNum":1,"RegionCategory":"医学","ArticlePicture":[],"TitleCN":null,"AbstractTextCN":null,"PMCID":null,"EPubDate":"","PubModel":"","JCR":"Q1","JCRName":"HEMATOLOGY","Score":null,"Total":0}
引用次数: 0

摘要

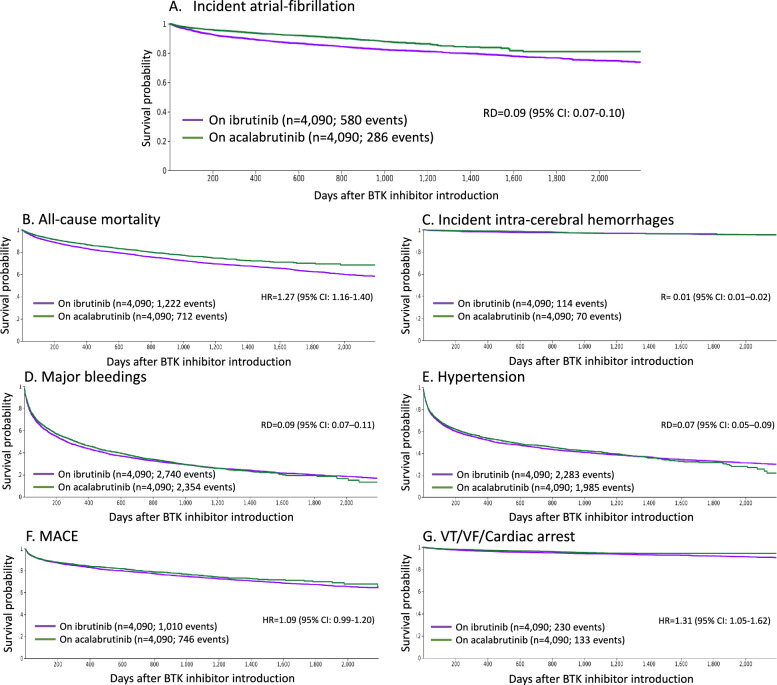
伊鲁替尼和阿卡拉布替尼都与房颤(AF)风险增加相关;然而,这两种BTK抑制剂之间AF的比较风险仍然很大程度上未知。我们的主要目的是评估暴露于伊鲁替尼的患者与暴露于阿卡拉布替尼的患者发生房颤的风险。利用TriNetX研究网络数据库,我们建立了一个回顾性队列,纳入了先前诊断为b细胞恶性肿瘤(使用ICD-10-CM代码)的成年患者(≥18岁),其中首次引入BTKi的时间为2013年1月1日(TriNetX中首次接触依鲁替尼的患者)至2024年7月1日。根据患者对依鲁替尼或阿卡拉布替尼的暴露程度将患者分为两组。37个协变量进行倾向评分匹配(PSM)后,采用Cox比例风险模型计算风险比(hr)和95%置信区间(ci),比较2个匹配组的差异。检查了比例风险假设的适当性,并在适当时使用风险差异(RDs)。使用Kaplan-Meier生存曲线对结果进行总结。随访从首次使用BTKi后第1天开始,持续随访6年。该研究纳入了12449例暴露于伊鲁替尼和4131例暴露于阿卡拉布替尼的患者。PSM结束后,每组仍有4090例患者(1:1)。在BTKi暴露的平均持续时间为2.3±1.8年期间,我们发现伊鲁替尼组发生AF的风险明显高于阿卡拉布替尼组(RD为0.09,95% CI为0.07-0.10)。这一差异在各亚组(年龄≤或≥75岁,发生房颤的基线心血管风险较低或较高)中是一致的。总之,在b细胞恶性肿瘤患者中,与阿卡拉布替尼相比,伊鲁替尼治疗时发生AF事件的风险增加。临床试验注册号:NCT06561243。
本文章由计算机程序翻译,如有差异,请以英文原文为准。

Ibrutinib and acalabrutinib use and risk of incident atrial fibrillation: a propensity-matched analysis.

Ibrutinib and acalabrutinib use and risk of incident atrial fibrillation: a propensity-matched analysis.

Ibrutinib and acalabrutinib use and risk of incident atrial fibrillation: a propensity-matched analysis.

Ibrutinib and acalabrutinib are both associated with an increased risk of atrial fibrillation (AF); however, the comparative risk of AF between these 2 BTK inhibitors remains largely unknown. Our primary aim was to evaluate the risk of incident AF in patients exposed to ibrutinib compared to those exposed to acalabrutinib. Using the TriNetX research network database, we established a retrospective cohort of adult patients (≥ 18 years) previously diagnosed with a B-cell malignancy (using ICD-10-CM codes) in whom a first BTKi introduction occurred between January 1st, 2013 (first patient exposed to ibrutinib in TriNetX) and July 1st, 2024. Patients were divided into 2 groups based on their exposure to ibrutinib or acalabrutinib. After propensity score matching (PSM) across 37 covariates, Cox proportional hazard models were used to calculate the hazard ratios (HRs) and 95% confidence intervals (CIs) to compare the 2 matched groups. The appropriateness of the proportional hazard assumption was examined and risk differences (RDs) were used if appropriate. Results were summarized with the use of Kaplan-Meier survival curves. Follow-up started from 1 day after first BTKi introduction and continued over a 6-year follow-up period. A cohort of 12,449 patients exposed to ibrutinib and 4,131 to acalabrutinib were included in the study. After PSM, 4,090 patients remained in each group (1:1). During a mean duration of BTKi exposure of 2.3 ± 1.8 years, we found a significantly higher risk of incident AF in the ibrutinib group compared to the acalabrutinib group (RD 0.09, 95% CI 0.07-0.10). This difference was consistent across subgroups (age ≤ or > 75 and lower or higher baseline cardiovascular risk of developing AF). In conclusion, among patients with B-cell malignancies, the risk of developing incident AF is increased when treated with ibrutinib compared to acalabrutinib.Trial registration ClinicalTrial registration number: NCT06561243.

求助全文
通过发布文献求助,成功后即可免费获取论文全文。 去求助
来源期刊
CiteScore
12.60
自引率
7.30%
发文量
97
审稿时长
6 weeks
期刊介绍: Experimental Hematology & Oncology is an open access journal that encompasses all aspects of hematology and oncology with an emphasis on preclinical, basic, patient-oriented and translational research. The journal acts as an international platform for sharing laboratory findings in these areas and makes a deliberate effort to publish clinical trials with 'negative' results and basic science studies with provocative findings. Experimental Hematology & Oncology publishes original work, hypothesis, commentaries and timely reviews. With open access and rapid turnaround time from submission to publication, the journal strives to be a hub for disseminating new knowledge and discussing controversial topics for both basic scientists and busy clinicians in the closely related fields of hematology and oncology.
×
引用
GB/T 7714-2015
复制
MLA
复制
APA
复制
导出至
BibTeX EndNote RefMan NoteFirst NoteExpress
×
提示
您的信息不完整,为了账户安全,请先补充。
现在去补充
×
提示
您因"违规操作"
具体请查看互助需知
我知道了
×
提示
确定
请完成安全验证×
copy
已复制链接
快去分享给好友吧!
我知道了
右上角分享
点击右上角分享
0
联系我们:info@booksci.cn Book学术提供免费学术资源搜索服务,方便国内外学者检索中英文文献。致力于提供最便捷和优质的服务体验。 Copyright © 2023 布克学术 All rights reserved.
京ICP备2023020795号-1
ghs 京公网安备 11010802042870号
Book学术文献互助
Book学术文献互助群
群 号:604180095
Book学术官方微信