颈椎扭伤后神经病变的存在和预后:一项前瞻性队列研究。

IF 11.7 1区 医学 Q1 CLINICAL NEUROLOGY
Brain Pub Date : 2025-09-03 DOI:10.1093/brain/awaf088
Joel Fundaun, Colette Ridehalgh, Soraya Koushesh, Alex Novak, Macarena Tejos-Bravo, Stephen Bremner, Georgios Baskozos, Andrew Dilley, Annina B Schmid
{"title":"颈椎扭伤后神经病变的存在和预后:一项前瞻性队列研究。","authors":"Joel Fundaun, Colette Ridehalgh, Soraya Koushesh, Alex Novak, Macarena Tejos-Bravo, Stephen Bremner, Georgios Baskozos, Andrew Dilley, Annina B Schmid","doi":"10.1093/brain/awaf088","DOIUrl":null,"url":null,"abstract":"<p><p>Whiplash-associated disorders (WADs) affect 20-50 million individuals globally each year, with ≤50% developing persistent pain. WAD grade II (WADII) is the most common type and is characterized by neck symptoms and musculoskeletal signs without apparent nerve injury on routine diagnostic testing. However, emerging evidence suggests that nerve pathology might be present in some people with WADII. This longitudinal cohort study aimed to investigate comprehensively the presence, temporal patterns and prognostic value of nerve pathology and neuropathic pain in acute WADII. A prospective longitudinal cohort study was conducted with 129 acute participants with WADII (median age 36.0 years, 58% female) and 36 healthy controls (median age 39.0 years, 61% female). Participants with WADII were recruited within 4 weeks of injury from local emergency departments. Data collection included bedside neurological assessments, quantitative sensory testing, intraepidermal nerve fibre density and serum neurofilament light chain concentrations. Follow-up assessments were conducted 6 months after injury. Signs of neuropathic pain were present in 65% (84/129) acutely and persisted in 32% (21/66) 6 months post-injury. Bedside neurological assessment revealed that somatosensory loss-of-function was present in 54% (70/129) acutely, reducing to 25% (17/67) 6 months post-injury. Quantitative sensory testing demonstrated significantly reduced cold, warm, thermal sensory limen, mechanical and vibration detection thresholds in acute WADII compared with controls (d > 0.47). Acute loss-of-function in at least one quantitative sensory testing parameter was present in 67.6% (85/126) of WADII. At 6 months, participants with WADII showed persistent hypoaesthesia to warm, thermal sensory limen and mechanical detection thresholds, and decreased mechanical pain and pressure pain sensitivity compared with controls (d > 0.44). These functional neurological changes were accompanied by elevated serum neurofilament light chain levels in acute WADII compared with controls [d = -0.52 (95% confidence interval -0.94, -0.10)]. Intraepidermal nerve fibre densities at the index finger were not significantly different between groups. However, dermal myelin basic protein+/protein gene product+ myelinated nerve bundles at the index finger were reduced 6 months post-injury in WADII compared with controls [d = 0.69 (0.26, 1.11)]. Multivariable linear regression suggested that bedside tests for hypoaesthesia at the index finger were prognostic for whiplash-related upper quadrant pain 6 months post-injury (r2 = 0.13, P = 0.02). In conclusion, two-thirds of participants with acute WADII initially exhibited signs of neuropathic pain and nerve pathology. At the 6-month follow-up, neuropathic pain persisted in one-third of participants with WADII, and nerve pathology persisted in two-thirds. These findings challenge the traditional musculoskeletal classification of WADII and underscore the need for targeted neurological assessments and treatment.</p>","PeriodicalId":9063,"journal":{"name":"Brain","volume":" ","pages":"3392-3406"},"PeriodicalIF":11.7000,"publicationDate":"2025-09-03","publicationTypes":"Journal Article","fieldsOfStudy":null,"isOpenAccess":false,"openAccessPdf":"https://www.ncbi.nlm.nih.gov/pmc/articles/PMC12404775/pdf/","citationCount":"0","resultStr":"{\"title\":\"The presence and prognosis of nerve pathology following whiplash injury: a prospective cohort study.\",\"authors\":\"Joel Fundaun, Colette Ridehalgh, Soraya Koushesh, Alex Novak, Macarena Tejos-Bravo, Stephen Bremner, Georgios Baskozos, Andrew Dilley, Annina B Schmid\",\"doi\":\"10.1093/brain/awaf088\",\"DOIUrl\":null,\"url\":null,\"abstract\":\"<p><p>Whiplash-associated disorders (WADs) affect 20-50 million individuals globally each year, with ≤50% developing persistent pain. WAD grade II (WADII) is the most common type and is characterized by neck symptoms and musculoskeletal signs without apparent nerve injury on routine diagnostic testing. However, emerging evidence suggests that nerve pathology might be present in some people with WADII. This longitudinal cohort study aimed to investigate comprehensively the presence, temporal patterns and prognostic value of nerve pathology and neuropathic pain in acute WADII. A prospective longitudinal cohort study was conducted with 129 acute participants with WADII (median age 36.0 years, 58% female) and 36 healthy controls (median age 39.0 years, 61% female). Participants with WADII were recruited within 4 weeks of injury from local emergency departments. Data collection included bedside neurological assessments, quantitative sensory testing, intraepidermal nerve fibre density and serum neurofilament light chain concentrations. Follow-up assessments were conducted 6 months after injury. Signs of neuropathic pain were present in 65% (84/129) acutely and persisted in 32% (21/66) 6 months post-injury. Bedside neurological assessment revealed that somatosensory loss-of-function was present in 54% (70/129) acutely, reducing to 25% (17/67) 6 months post-injury. Quantitative sensory testing demonstrated significantly reduced cold, warm, thermal sensory limen, mechanical and vibration detection thresholds in acute WADII compared with controls (d > 0.47). Acute loss-of-function in at least one quantitative sensory testing parameter was present in 67.6% (85/126) of WADII. At 6 months, participants with WADII showed persistent hypoaesthesia to warm, thermal sensory limen and mechanical detection thresholds, and decreased mechanical pain and pressure pain sensitivity compared with controls (d > 0.44). These functional neurological changes were accompanied by elevated serum neurofilament light chain levels in acute WADII compared with controls [d = -0.52 (95% confidence interval -0.94, -0.10)]. Intraepidermal nerve fibre densities at the index finger were not significantly different between groups. However, dermal myelin basic protein+/protein gene product+ myelinated nerve bundles at the index finger were reduced 6 months post-injury in WADII compared with controls [d = 0.69 (0.26, 1.11)]. Multivariable linear regression suggested that bedside tests for hypoaesthesia at the index finger were prognostic for whiplash-related upper quadrant pain 6 months post-injury (r2 = 0.13, P = 0.02). In conclusion, two-thirds of participants with acute WADII initially exhibited signs of neuropathic pain and nerve pathology. At the 6-month follow-up, neuropathic pain persisted in one-third of participants with WADII, and nerve pathology persisted in two-thirds. These findings challenge the traditional musculoskeletal classification of WADII and underscore the need for targeted neurological assessments and treatment.</p>\",\"PeriodicalId\":9063,\"journal\":{\"name\":\"Brain\",\"volume\":\" \",\"pages\":\"3392-3406\"},\"PeriodicalIF\":11.7000,\"publicationDate\":\"2025-09-03\",\"publicationTypes\":\"Journal Article\",\"fieldsOfStudy\":null,\"isOpenAccess\":false,\"openAccessPdf\":\"https://www.ncbi.nlm.nih.gov/pmc/articles/PMC12404775/pdf/\",\"citationCount\":\"0\",\"resultStr\":null,\"platform\":\"Semanticscholar\",\"paperid\":null,\"PeriodicalName\":\"Brain\",\"FirstCategoryId\":\"3\",\"ListUrlMain\":\"https://doi.org/10.1093/brain/awaf088\",\"RegionNum\":1,\"RegionCategory\":\"医学\",\"ArticlePicture\":[],\"TitleCN\":null,\"AbstractTextCN\":null,\"PMCID\":null,\"EPubDate\":\"\",\"PubModel\":\"\",\"JCR\":\"Q1\",\"JCRName\":\"CLINICAL NEUROLOGY\",\"Score\":null,\"Total\":0}","platform":"Semanticscholar","paperid":null,"PeriodicalName":"Brain","FirstCategoryId":"3","ListUrlMain":"https://doi.org/10.1093/brain/awaf088","RegionNum":1,"RegionCategory":"医学","ArticlePicture":[],"TitleCN":null,"AbstractTextCN":null,"PMCID":null,"EPubDate":"","PubModel":"","JCR":"Q1","JCRName":"CLINICAL NEUROLOGY","Score":null,"Total":0}
引用次数: 0

摘要

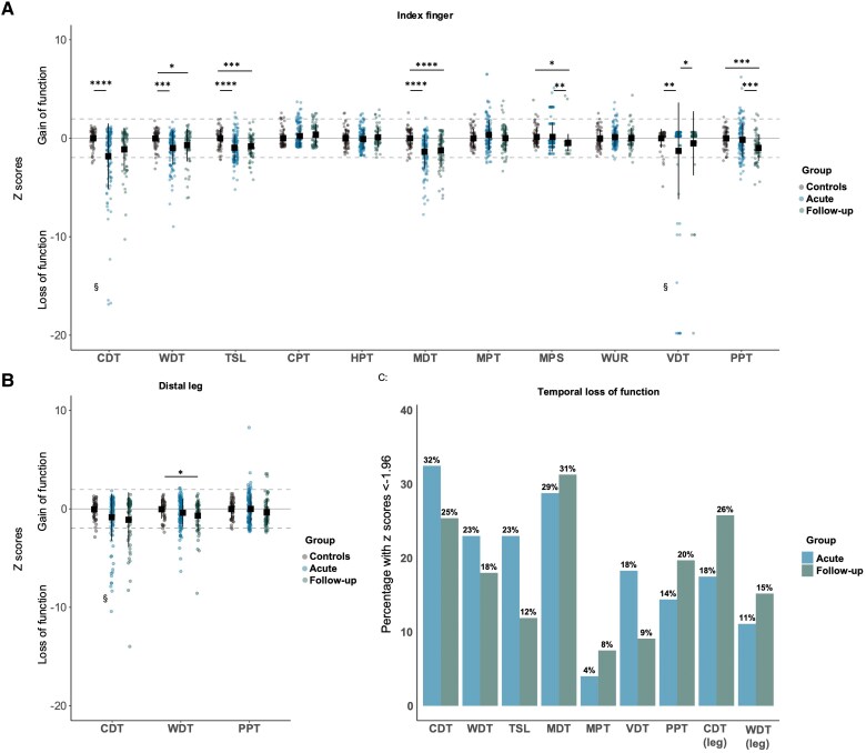
鞭打相关疾病(WAD)每年影响全球2000万至5000万人,其中高达50%的人会出现持续疼痛。WADII级(wdii)是最常见的类型,其特征是颈部症状和肌肉骨骼体征,常规诊断检查无明显的神经损伤。然而,新出现的证据表明,一些wdii患者可能存在神经病理。本纵向队列研究旨在全面探讨急性WADII中神经病理和神经性疼痛的存在、时间模式和预后价值。对129名急性WADII患者(中位年龄36.0岁,58%为女性)和36名健康对照(中位年龄39.0岁,61%为女性)进行了前瞻性纵向队列研究。患有WADII的参与者在受伤后四周内从当地急诊科招募。数据收集包括床边神经学评估、定量感觉测试(QST)、表皮内神经纤维密度和血清神经丝轻链(NfL)浓度。损伤后6个月进行随访评估。损伤后6个月,65%(84/129)患者急性出现神经性疼痛症状,32%(21/66)患者持续出现神经性疼痛症状。床边神经学评估显示,54%(70/129)的患者出现体感觉功能丧失,损伤后6个月降至25%(17/67)。与对照组相比,QST在急性WADII中显著降低了冷、热、热感觉阈值、机械和振动检测阈值(d>0.47)。67.6%(85/126)的WADII患者出现至少一个QST参数的急性功能丧失。在6个月时,与对照组相比,wdii患者对温暖、热感觉阈值和机械检测阈值表现出持续的感觉减退,并且机械疼痛和压痛敏感性降低(d>0.44)。与对照组相比,急性WADII患者的这些神经功能改变伴有血清神经丝轻链水平升高(d=-0.52(95%可信区间-0.94,-0.10)。食指表皮内神经纤维密度组间差异无统计学意义。然而,与对照组相比,wdii患者食指真皮MBP+/PGP+髓鞘神经束在损伤后6个月减少(d=0.69(0.26, 1.11))。多变量线性回归提示,床边试验中食指感觉减退对伤后6个月与鞭伤相关的上腹疼痛有预测作用(r2=0.13, p=0.02)。总之,三分之二的急性WADII患者最初表现出神经性疼痛和神经病理的迹象。在6个月的随访中,三分之一的wdii患者持续神经性疼痛,而三分之二的患者持续神经性疼痛。这些发现挑战了wdii的传统肌肉骨骼分类,并强调了有针对性的神经学评估和治疗的必要性。
本文章由计算机程序翻译,如有差异,请以英文原文为准。

The presence and prognosis of nerve pathology following whiplash injury: a prospective cohort study.

The presence and prognosis of nerve pathology following whiplash injury: a prospective cohort study.

The presence and prognosis of nerve pathology following whiplash injury: a prospective cohort study.

The presence and prognosis of nerve pathology following whiplash injury: a prospective cohort study.

Whiplash-associated disorders (WADs) affect 20-50 million individuals globally each year, with ≤50% developing persistent pain. WAD grade II (WADII) is the most common type and is characterized by neck symptoms and musculoskeletal signs without apparent nerve injury on routine diagnostic testing. However, emerging evidence suggests that nerve pathology might be present in some people with WADII. This longitudinal cohort study aimed to investigate comprehensively the presence, temporal patterns and prognostic value of nerve pathology and neuropathic pain in acute WADII. A prospective longitudinal cohort study was conducted with 129 acute participants with WADII (median age 36.0 years, 58% female) and 36 healthy controls (median age 39.0 years, 61% female). Participants with WADII were recruited within 4 weeks of injury from local emergency departments. Data collection included bedside neurological assessments, quantitative sensory testing, intraepidermal nerve fibre density and serum neurofilament light chain concentrations. Follow-up assessments were conducted 6 months after injury. Signs of neuropathic pain were present in 65% (84/129) acutely and persisted in 32% (21/66) 6 months post-injury. Bedside neurological assessment revealed that somatosensory loss-of-function was present in 54% (70/129) acutely, reducing to 25% (17/67) 6 months post-injury. Quantitative sensory testing demonstrated significantly reduced cold, warm, thermal sensory limen, mechanical and vibration detection thresholds in acute WADII compared with controls (d > 0.47). Acute loss-of-function in at least one quantitative sensory testing parameter was present in 67.6% (85/126) of WADII. At 6 months, participants with WADII showed persistent hypoaesthesia to warm, thermal sensory limen and mechanical detection thresholds, and decreased mechanical pain and pressure pain sensitivity compared with controls (d > 0.44). These functional neurological changes were accompanied by elevated serum neurofilament light chain levels in acute WADII compared with controls [d = -0.52 (95% confidence interval -0.94, -0.10)]. Intraepidermal nerve fibre densities at the index finger were not significantly different between groups. However, dermal myelin basic protein+/protein gene product+ myelinated nerve bundles at the index finger were reduced 6 months post-injury in WADII compared with controls [d = 0.69 (0.26, 1.11)]. Multivariable linear regression suggested that bedside tests for hypoaesthesia at the index finger were prognostic for whiplash-related upper quadrant pain 6 months post-injury (r2 = 0.13, P = 0.02). In conclusion, two-thirds of participants with acute WADII initially exhibited signs of neuropathic pain and nerve pathology. At the 6-month follow-up, neuropathic pain persisted in one-third of participants with WADII, and nerve pathology persisted in two-thirds. These findings challenge the traditional musculoskeletal classification of WADII and underscore the need for targeted neurological assessments and treatment.

求助全文
通过发布文献求助,成功后即可免费获取论文全文。 去求助
来源期刊
Brain
Brain 医学-临床神经学
CiteScore
20.30
自引率
4.10%
发文量
458
审稿时长
3-6 weeks
期刊介绍: Brain, a journal focused on clinical neurology and translational neuroscience, has been publishing landmark papers since 1878. The journal aims to expand its scope by including studies that shed light on disease mechanisms and conducting innovative clinical trials for brain disorders. With a wide range of topics covered, the Editorial Board represents the international readership and diverse coverage of the journal. Accepted articles are promptly posted online, typically within a few weeks of acceptance. As of 2022, Brain holds an impressive impact factor of 14.5, according to the Journal Citation Reports.
×
引用
GB/T 7714-2015
复制
MLA
复制
APA
复制
导出至
BibTeX EndNote RefMan NoteFirst NoteExpress
×
提示
您的信息不完整,为了账户安全,请先补充。
现在去补充
×
提示
您因"违规操作"
具体请查看互助需知
我知道了
×
提示
确定
请完成安全验证×
copy
已复制链接
快去分享给好友吧!
我知道了
右上角分享
点击右上角分享
0
联系我们:info@booksci.cn Book学术提供免费学术资源搜索服务,方便国内外学者检索中英文文献。致力于提供最便捷和优质的服务体验。 Copyright © 2023 布克学术 All rights reserved.
京ICP备2023020795号-1
ghs 京公网安备 11010802042870号
Book学术文献互助
Book学术文献互助群
群 号:604180095
Book学术官方微信