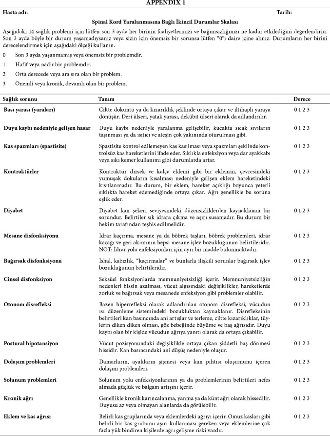
脊髓损伤继发性疾病量表在土耳其脊髓损伤人群中的信度和效度

IF 1.3 4区 医学 Q3 REHABILITATION
Pınar Akpınar, Arzu Atıcı, Zeynep Demir, Feyza Unlu Ozkan, İlknur Aktaş
{"title":"脊髓损伤继发性疾病量表在土耳其脊髓损伤人群中的信度和效度","authors":"Pınar Akpınar, Arzu Atıcı, Zeynep Demir, Feyza Unlu Ozkan, İlknur Aktaş","doi":"10.5606/tftrd.2024.14278","DOIUrl":null,"url":null,"abstract":"<p><strong>Objectives: </strong>The study aimed to determine the reliability and cross-cultural validation of the Turkish translation of the Spinal Cord Injury Secondary Conditions Scale (SCI-SCS) in individuals with spinal cord injuries (SCIs).</p><p><strong>Patients and methods: </strong>After the translation/validation process, the SCI-SCS was administered to 93 patients (69 males, 24 females; mean age: 47.9±14.3 years; range, 18 to 78 years) with SCI, diagnosed according to the American Spinal Injury Association impairment scale (grades from A to D), with at least one year after the injury, recruited between December 2022 and July 2023. Fifty-seven patients rated the SCI-SCS two to three days apart to investigate the test-retest reliability. Correlations between the first rates of the SCI-SCS and the Spinal Cord Independence Measure III (SCIM-III), Spinal Cord Injury Spasticity Evaluation Tool, Penn Spasm Frequency Scale, 36-item Short Form Health Survey (SF-36), Beck Depression Inventory, Beck Anxiety Inventory, and the pain-DETECT questionnaire were investigated for the evaluation of convergent validity.</p><p><strong>Results: </strong>There were 65 patients with paraplegia and 28 patients with tetraplegia. The SCI-SCS showed good internal consistency (alpha=0.753). The three-factor model demonstrated a good fit to the data (relative chi-square=1.12, comparative fit index=0.981, Tucker-Lewis index (TLI)=0.977, root mean square error of approximation=0.037, standardized root mean square residual=0.120). The test-retest reliability was excellent, with an intraclass correlation coefficient of 0.79 (95% confidence interval 0.67-0.87). There were statistically significant correlations between the total SCI-SCS and all other administered questionnaires, except for the social function, emotional, physical, and general health domains of SF-36 and the self-care, total, and mobility subscales of SCIM-III.</p><p><strong>Conclusion: </strong>The study demonstrated that the 14-item SCI-SCS represents a valuable scale for the assessment of secondary conditions among the Turkish population with SCI.</p>","PeriodicalId":56043,"journal":{"name":"Turkish Journal of Physical Medicine and Rehabilitation","volume":"70 4","pages":"495-505"},"PeriodicalIF":1.3000,"publicationDate":"2024-07-02","publicationTypes":"Journal Article","fieldsOfStudy":null,"isOpenAccess":false,"openAccessPdf":"https://www.ncbi.nlm.nih.gov/pmc/articles/PMC11868855/pdf/","citationCount":"0","resultStr":"{\"title\":\"Reliability and validity of the Spinal Cord Injury Secondary Conditions Scale among the Turkish population with spinal cord injury.\",\"authors\":\"Pınar Akpınar, Arzu Atıcı, Zeynep Demir, Feyza Unlu Ozkan, İlknur Aktaş\",\"doi\":\"10.5606/tftrd.2024.14278\",\"DOIUrl\":null,\"url\":null,\"abstract\":\"<p><strong>Objectives: </strong>The study aimed to determine the reliability and cross-cultural validation of the Turkish translation of the Spinal Cord Injury Secondary Conditions Scale (SCI-SCS) in individuals with spinal cord injuries (SCIs).</p><p><strong>Patients and methods: </strong>After the translation/validation process, the SCI-SCS was administered to 93 patients (69 males, 24 females; mean age: 47.9±14.3 years; range, 18 to 78 years) with SCI, diagnosed according to the American Spinal Injury Association impairment scale (grades from A to D), with at least one year after the injury, recruited between December 2022 and July 2023. Fifty-seven patients rated the SCI-SCS two to three days apart to investigate the test-retest reliability. Correlations between the first rates of the SCI-SCS and the Spinal Cord Independence Measure III (SCIM-III), Spinal Cord Injury Spasticity Evaluation Tool, Penn Spasm Frequency Scale, 36-item Short Form Health Survey (SF-36), Beck Depression Inventory, Beck Anxiety Inventory, and the pain-DETECT questionnaire were investigated for the evaluation of convergent validity.</p><p><strong>Results: </strong>There were 65 patients with paraplegia and 28 patients with tetraplegia. The SCI-SCS showed good internal consistency (alpha=0.753). The three-factor model demonstrated a good fit to the data (relative chi-square=1.12, comparative fit index=0.981, Tucker-Lewis index (TLI)=0.977, root mean square error of approximation=0.037, standardized root mean square residual=0.120). The test-retest reliability was excellent, with an intraclass correlation coefficient of 0.79 (95% confidence interval 0.67-0.87). There were statistically significant correlations between the total SCI-SCS and all other administered questionnaires, except for the social function, emotional, physical, and general health domains of SF-36 and the self-care, total, and mobility subscales of SCIM-III.</p><p><strong>Conclusion: </strong>The study demonstrated that the 14-item SCI-SCS represents a valuable scale for the assessment of secondary conditions among the Turkish population with SCI.</p>\",\"PeriodicalId\":56043,\"journal\":{\"name\":\"Turkish Journal of Physical Medicine and Rehabilitation\",\"volume\":\"70 4\",\"pages\":\"495-505\"},\"PeriodicalIF\":1.3000,\"publicationDate\":\"2024-07-02\",\"publicationTypes\":\"Journal Article\",\"fieldsOfStudy\":null,\"isOpenAccess\":false,\"openAccessPdf\":\"https://www.ncbi.nlm.nih.gov/pmc/articles/PMC11868855/pdf/\",\"citationCount\":\"0\",\"resultStr\":null,\"platform\":\"Semanticscholar\",\"paperid\":null,\"PeriodicalName\":\"Turkish Journal of Physical Medicine and Rehabilitation\",\"FirstCategoryId\":\"3\",\"ListUrlMain\":\"https://doi.org/10.5606/tftrd.2024.14278\",\"RegionNum\":4,\"RegionCategory\":\"医学\",\"ArticlePicture\":[],\"TitleCN\":null,\"AbstractTextCN\":null,\"PMCID\":null,\"EPubDate\":\"2024/12/1 0:00:00\",\"PubModel\":\"eCollection\",\"JCR\":\"Q3\",\"JCRName\":\"REHABILITATION\",\"Score\":null,\"Total\":0}","platform":"Semanticscholar","paperid":null,"PeriodicalName":"Turkish Journal of Physical Medicine and Rehabilitation","FirstCategoryId":"3","ListUrlMain":"https://doi.org/10.5606/tftrd.2024.14278","RegionNum":4,"RegionCategory":"医学","ArticlePicture":[],"TitleCN":null,"AbstractTextCN":null,"PMCID":null,"EPubDate":"2024/12/1 0:00:00","PubModel":"eCollection","JCR":"Q3","JCRName":"REHABILITATION","Score":null,"Total":0}
引用次数: 0

摘要

目的:本研究旨在确定脊髓损伤(sci)个体中脊髓损伤继发性疾病量表(SCI-SCS)土耳其语翻译的可靠性和跨文化验证。患者和方法:在翻译/验证过程后,对93例患者(男性69例,女性24例;平均年龄:47.9±14.3岁;根据美国脊髓损伤协会损伤量表(等级从A到D)诊断的SCI患者,在受伤后至少一年,在2022年12月至2023年7月期间招募。57例患者隔2 ~ 3天对SCI-SCS进行评分,以研究重测信度。研究SCI-SCS与脊髓独立性量表ⅲ(sci -III)、脊髓损伤痉挛评估工具、Penn痉挛频率量表、36项简短健康调查(SF-36)、Beck抑郁量表、Beck焦虑量表和疼痛检测问卷的首发率的相关性,以评估收敛效度。结果:截瘫65例,四肢瘫痪28例。SCI-SCS具有良好的内部一致性(alpha=0.753)。三因素模型与数据拟合良好(相对卡方=1.12,比较拟合指数=0.981,Tucker-Lewis指数(TLI)=0.977,近似均方根误差=0.037,标准化均方根残差=0.120)。重测信度极好,类内相关系数为0.79(95%置信区间为0.67 ~ 0.87)。除了SF-36的社会功能、情绪、身体和一般健康领域与sci - iii的自我保健、总体和行动能力分量表外,SCI-SCS总分与所有其他问卷均存在统计学上的显著相关性。结论:该研究表明,14项SCI- scs是评估土耳其SCI患者继发性疾病的有价值的量表。
本文章由计算机程序翻译,如有差异,请以英文原文为准。

Reliability and validity of the Spinal Cord Injury Secondary Conditions Scale among the Turkish population with spinal cord injury.

Reliability and validity of the Spinal Cord Injury Secondary Conditions Scale among the Turkish population with spinal cord injury.

Objectives: The study aimed to determine the reliability and cross-cultural validation of the Turkish translation of the Spinal Cord Injury Secondary Conditions Scale (SCI-SCS) in individuals with spinal cord injuries (SCIs).

Patients and methods: After the translation/validation process, the SCI-SCS was administered to 93 patients (69 males, 24 females; mean age: 47.9±14.3 years; range, 18 to 78 years) with SCI, diagnosed according to the American Spinal Injury Association impairment scale (grades from A to D), with at least one year after the injury, recruited between December 2022 and July 2023. Fifty-seven patients rated the SCI-SCS two to three days apart to investigate the test-retest reliability. Correlations between the first rates of the SCI-SCS and the Spinal Cord Independence Measure III (SCIM-III), Spinal Cord Injury Spasticity Evaluation Tool, Penn Spasm Frequency Scale, 36-item Short Form Health Survey (SF-36), Beck Depression Inventory, Beck Anxiety Inventory, and the pain-DETECT questionnaire were investigated for the evaluation of convergent validity.

Results: There were 65 patients with paraplegia and 28 patients with tetraplegia. The SCI-SCS showed good internal consistency (alpha=0.753). The three-factor model demonstrated a good fit to the data (relative chi-square=1.12, comparative fit index=0.981, Tucker-Lewis index (TLI)=0.977, root mean square error of approximation=0.037, standardized root mean square residual=0.120). The test-retest reliability was excellent, with an intraclass correlation coefficient of 0.79 (95% confidence interval 0.67-0.87). There were statistically significant correlations between the total SCI-SCS and all other administered questionnaires, except for the social function, emotional, physical, and general health domains of SF-36 and the self-care, total, and mobility subscales of SCIM-III.

Conclusion: The study demonstrated that the 14-item SCI-SCS represents a valuable scale for the assessment of secondary conditions among the Turkish population with SCI.

求助全文
通过发布文献求助,成功后即可免费获取论文全文。 去求助
来源期刊
Turkish Journal of Physical Medicine and Rehabilitation
Turkish Journal of Physical Medicine and Rehabilitation Health Professions-Physical Therapy, Sports Therapy and Rehabilitation
CiteScore
2.20
自引率
0.00%
发文量
0
期刊介绍: The Turkish Journal of Physical Medicine and Rehabilitation (Formerly published as Türkiye Fiziksel Tıp ve Rehabilitasyon Dergisi) is the official journal of the Turkish Society of Physical Medicine and Rehabilitation. The journal is an international open-access, double-blind peer-reviewed periodical journal bringing the latest developments in all aspects of physical medicine and rehabilitation, and related fields. The journal publishes original articles, review articles, editorials, case reports (limited), letters to the editors. The target readership includes academic members, specialists, residents working in the fields of Physical Medicine and Rehabilitation. The language of the journal is English and it is published quarterly (in March, June, September, and December).
×
引用
GB/T 7714-2015
复制
MLA
复制
APA
复制
导出至
BibTeX EndNote RefMan NoteFirst NoteExpress
×
提示
您的信息不完整,为了账户安全,请先补充。
现在去补充
×
提示
您因"违规操作"
具体请查看互助需知
我知道了
×
提示
确定
请完成安全验证×
copy
已复制链接
快去分享给好友吧!
我知道了
右上角分享
点击右上角分享
0
联系我们:info@booksci.cn Book学术提供免费学术资源搜索服务,方便国内外学者检索中英文文献。致力于提供最便捷和优质的服务体验。 Copyright © 2023 布克学术 All rights reserved.
京ICP备2023020795号-1
ghs 京公网安备 11010802042870号
Book学术文献互助
Book学术文献互助群
群 号:604180095
Book学术官方微信