COVID-19大流行期间医生领导及其对医生职业倦怠和满意度的影响

IF 3.8 Q1 HEALTH POLICY & SERVICES
Journal of Healthcare Leadership Pub Date : 2025-02-27 eCollection Date: 2025-01-01 DOI:10.2147/JHL.S487849
Edward G Spilg, Kylie McNeill, Melanie Dodd-Moher, Johanna Suzanne Dobransky, Elham Sabri, Jerry M Maniate, Kathleen A Gartke
{"title":"COVID-19大流行期间医生领导及其对医生职业倦怠和满意度的影响","authors":"Edward G Spilg, Kylie McNeill, Melanie Dodd-Moher, Johanna Suzanne Dobransky, Elham Sabri, Jerry M Maniate, Kathleen A Gartke","doi":"10.2147/JHL.S487849","DOIUrl":null,"url":null,"abstract":"<p><strong>Purpose: </strong>Physician burnout is a global issue associated with low job satisfaction, decreased quality of patient care, reduced productivity, and early retirement from clinical practice. We sought to evaluate the impact of the leadership qualities of direct physician supervisors on the burnout and professional satisfaction of the physicians they supervise.</p><p><strong>Methods: </strong>An online survey was distributed by Email to all staff physicians practicing at a large Canadian academic tertiary care hospital. The primary outcome was the prevalence of burnout and professional satisfaction, assessed using the 2-item Maslach Burnout Inventory and a single item 5-point Likert scale rating, respectively. The secondary outcome was the relationship between composite leadership score and burnout/satisfaction, with leadership assessed by the 12-item Mayo Clinic Participatory Management Leadership Index.</p><p><strong>Results: </strong>Out of the 1176 physicians surveyed, 383 (32.6%) responded (51.2% male; 41.5% female). Overall, 41.7% of physicians reported at least one symptom of burnout (40.0% reported high emotional exhaustion; 15.3% reported high depersonalization). 40.1% of physicians reported being satisfied with the organization, 26.3% were neutral, and 33.6% were dissatisfied. On multivariate analysis adjusting for age, sex, duration of employment at the institution, and specialty, each one-point increase in composite leadership score was associated with a 3.1% decrease in the likelihood of burnout (<i>p</i> = 0.0017), and a 6.6% increase in the likelihood of satisfaction (<i>p</i> < 0.0001).</p><p><strong>Conclusion: </strong>Physician burnout is prevalent and positive leadership qualities of direct supervisors decreases the likelihood of burnout in physicians and increases the likelihood of their satisfaction with the organization.</p><p><strong>Trial registration: </strong>ClinicalTrials.gov; Identifier: NCT04896307.</p>","PeriodicalId":44346,"journal":{"name":"Journal of Healthcare Leadership","volume":"17 ","pages":"49-61"},"PeriodicalIF":3.8000,"publicationDate":"2025-02-27","publicationTypes":"Journal Article","fieldsOfStudy":null,"isOpenAccess":false,"openAccessPdf":"https://www.ncbi.nlm.nih.gov/pmc/articles/PMC11874771/pdf/","citationCount":"0","resultStr":"{\"title\":\"Physician Leadership and Its Effect on Physician Burnout and Satisfaction During the COVID-19 Pandemic.\",\"authors\":\"Edward G Spilg, Kylie McNeill, Melanie Dodd-Moher, Johanna Suzanne Dobransky, Elham Sabri, Jerry M Maniate, Kathleen A Gartke\",\"doi\":\"10.2147/JHL.S487849\",\"DOIUrl\":null,\"url\":null,\"abstract\":\"<p><strong>Purpose: </strong>Physician burnout is a global issue associated with low job satisfaction, decreased quality of patient care, reduced productivity, and early retirement from clinical practice. We sought to evaluate the impact of the leadership qualities of direct physician supervisors on the burnout and professional satisfaction of the physicians they supervise.</p><p><strong>Methods: </strong>An online survey was distributed by Email to all staff physicians practicing at a large Canadian academic tertiary care hospital. The primary outcome was the prevalence of burnout and professional satisfaction, assessed using the 2-item Maslach Burnout Inventory and a single item 5-point Likert scale rating, respectively. The secondary outcome was the relationship between composite leadership score and burnout/satisfaction, with leadership assessed by the 12-item Mayo Clinic Participatory Management Leadership Index.</p><p><strong>Results: </strong>Out of the 1176 physicians surveyed, 383 (32.6%) responded (51.2% male; 41.5% female). Overall, 41.7% of physicians reported at least one symptom of burnout (40.0% reported high emotional exhaustion; 15.3% reported high depersonalization). 40.1% of physicians reported being satisfied with the organization, 26.3% were neutral, and 33.6% were dissatisfied. On multivariate analysis adjusting for age, sex, duration of employment at the institution, and specialty, each one-point increase in composite leadership score was associated with a 3.1% decrease in the likelihood of burnout (<i>p</i> = 0.0017), and a 6.6% increase in the likelihood of satisfaction (<i>p</i> < 0.0001).</p><p><strong>Conclusion: </strong>Physician burnout is prevalent and positive leadership qualities of direct supervisors decreases the likelihood of burnout in physicians and increases the likelihood of their satisfaction with the organization.</p><p><strong>Trial registration: </strong>ClinicalTrials.gov; Identifier: NCT04896307.</p>\",\"PeriodicalId\":44346,\"journal\":{\"name\":\"Journal of Healthcare Leadership\",\"volume\":\"17 \",\"pages\":\"49-61\"},\"PeriodicalIF\":3.8000,\"publicationDate\":\"2025-02-27\",\"publicationTypes\":\"Journal Article\",\"fieldsOfStudy\":null,\"isOpenAccess\":false,\"openAccessPdf\":\"https://www.ncbi.nlm.nih.gov/pmc/articles/PMC11874771/pdf/\",\"citationCount\":\"0\",\"resultStr\":null,\"platform\":\"Semanticscholar\",\"paperid\":null,\"PeriodicalName\":\"Journal of Healthcare Leadership\",\"FirstCategoryId\":\"1085\",\"ListUrlMain\":\"https://doi.org/10.2147/JHL.S487849\",\"RegionNum\":0,\"RegionCategory\":null,\"ArticlePicture\":[],\"TitleCN\":null,\"AbstractTextCN\":null,\"PMCID\":null,\"EPubDate\":\"2025/1/1 0:00:00\",\"PubModel\":\"eCollection\",\"JCR\":\"Q1\",\"JCRName\":\"HEALTH POLICY & SERVICES\",\"Score\":null,\"Total\":0}","platform":"Semanticscholar","paperid":null,"PeriodicalName":"Journal of Healthcare Leadership","FirstCategoryId":"1085","ListUrlMain":"https://doi.org/10.2147/JHL.S487849","RegionNum":0,"RegionCategory":null,"ArticlePicture":[],"TitleCN":null,"AbstractTextCN":null,"PMCID":null,"EPubDate":"2025/1/1 0:00:00","PubModel":"eCollection","JCR":"Q1","JCRName":"HEALTH POLICY & SERVICES","Score":null,"Total":0}
引用次数: 0

摘要

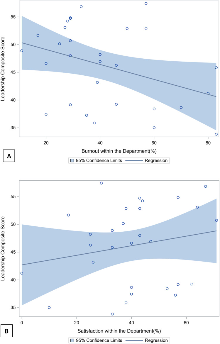
目的:医生职业倦怠是一个全球性的问题,与工作满意度低、病人护理质量下降、工作效率降低和提前退休有关。我们试图评估直接医师督导的领导素质对其督导医师的职业倦怠和职业满意度的影响。方法:通过电子邮件向加拿大一家大型学术三级护理医院的所有工作人员医师进行在线调查。主要结果是职业倦怠的患病率和职业满意度,分别使用2项马斯拉克职业倦怠量表和单项5分李克特量表进行评估。次要结果是综合领导力得分与倦怠/满意度的关系,领导力评估采用12项梅奥诊所参与式管理领导力指数。结果:在接受调查的1176名医生中,有383名(32.6%)回应,其中51.2%为男性;41.5%的女性)。总体而言,41.7%的医生报告至少有一种倦怠症状(40.0%报告高度情绪衰竭;15.3%报告高度人格解体)。40.1%的医生对该机构表示满意,26.3%表示一般,33.6%表示不满意。在调整年龄、性别、在机构工作时间和专业的多变量分析中,综合领导得分每增加1分,倦怠可能性降低3.1% (p = 0.0017),满意度可能性增加6.6% (p < 0.0001)。结论:医生职业倦怠是普遍存在的,直接主管的积极领导素质降低了医生职业倦怠的可能性,增加了他们对组织满意度的可能性。试验注册:ClinicalTrials.gov;标识符:NCT04896307。
本文章由计算机程序翻译,如有差异,请以英文原文为准。

Physician Leadership and Its Effect on Physician Burnout and Satisfaction During the COVID-19 Pandemic.

Physician Leadership and Its Effect on Physician Burnout and Satisfaction During the COVID-19 Pandemic.

Physician Leadership and Its Effect on Physician Burnout and Satisfaction During the COVID-19 Pandemic.

Physician Leadership and Its Effect on Physician Burnout and Satisfaction During the COVID-19 Pandemic.

Purpose: Physician burnout is a global issue associated with low job satisfaction, decreased quality of patient care, reduced productivity, and early retirement from clinical practice. We sought to evaluate the impact of the leadership qualities of direct physician supervisors on the burnout and professional satisfaction of the physicians they supervise.

Methods: An online survey was distributed by Email to all staff physicians practicing at a large Canadian academic tertiary care hospital. The primary outcome was the prevalence of burnout and professional satisfaction, assessed using the 2-item Maslach Burnout Inventory and a single item 5-point Likert scale rating, respectively. The secondary outcome was the relationship between composite leadership score and burnout/satisfaction, with leadership assessed by the 12-item Mayo Clinic Participatory Management Leadership Index.

Results: Out of the 1176 physicians surveyed, 383 (32.6%) responded (51.2% male; 41.5% female). Overall, 41.7% of physicians reported at least one symptom of burnout (40.0% reported high emotional exhaustion; 15.3% reported high depersonalization). 40.1% of physicians reported being satisfied with the organization, 26.3% were neutral, and 33.6% were dissatisfied. On multivariate analysis adjusting for age, sex, duration of employment at the institution, and specialty, each one-point increase in composite leadership score was associated with a 3.1% decrease in the likelihood of burnout (p = 0.0017), and a 6.6% increase in the likelihood of satisfaction (p < 0.0001).

Conclusion: Physician burnout is prevalent and positive leadership qualities of direct supervisors decreases the likelihood of burnout in physicians and increases the likelihood of their satisfaction with the organization.

Trial registration: ClinicalTrials.gov; Identifier: NCT04896307.

求助全文
通过发布文献求助,成功后即可免费获取论文全文。 去求助
来源期刊
Journal of Healthcare Leadership
Journal of Healthcare Leadership HEALTH POLICY & SERVICES-
CiteScore
5.40
自引率
2.30%
发文量
27
审稿时长
16 weeks
期刊介绍: Efficient and successful modern healthcare depends on a growing group of professionals working together as an interdisciplinary team. However, many forces shape the delivery of healthcare; changes are being driven by the markets, transformations in concepts of health and wellbeing, technology and research and discovery. Dynamic leadership will guide these necessary transformations. The Journal of Healthcare Leadership is an international, peer-reviewed, open access journal focusing on leadership for the healthcare professions. The publication strives to amalgamate current and future healthcare professionals and managers by providing key insights into leadership progress and challenges to improve patient care. The journal aspires to inform key decision makers and those professionals with ambitions of leadership and management; it seeks to connect professionals who are engaged in similar endeavours and to provide wisdom from those working in other industries. Senior and trainee doctors, nurses and allied healthcare professionals, medical students, healthcare managers and allied leaders are invited to contribute to this publication
×
引用
GB/T 7714-2015
复制
MLA
复制
APA
复制
导出至
BibTeX EndNote RefMan NoteFirst NoteExpress
×
提示
您的信息不完整,为了账户安全,请先补充。
现在去补充
×
提示
您因"违规操作"
具体请查看互助需知
我知道了
×
提示
确定
请完成安全验证×
copy
已复制链接
快去分享给好友吧!
我知道了
右上角分享
点击右上角分享
0
联系我们:info@booksci.cn Book学术提供免费学术资源搜索服务,方便国内外学者检索中英文文献。致力于提供最便捷和优质的服务体验。 Copyright © 2023 布克学术 All rights reserved.
京ICP备2023020795号-1
ghs 京公网安备 11010802042870号
Book学术文献互助
Book学术文献互助群
群 号:604180095
Book学术官方微信