灌注指数预测儿童全身麻醉下锁骨上臂丛阻滞的有效性:一项随机对照试验。

IF 1.3 Q2 ANESTHESIOLOGY
Anesthesiology Research and Practice Pub Date : 2025-02-22 eCollection Date: 2025-01-01 DOI:10.1155/anrp/5583145
Tiantian Chu, Siqi Zhou, Ting Peng, Hong Tao, Han Chen, Xu Yan, Yueyang Xin, Zhang Tian, Jinxu Wang, Lingli Deng, Aijun Xu
{"title":"灌注指数预测儿童全身麻醉下锁骨上臂丛阻滞的有效性:一项随机对照试验。","authors":"Tiantian Chu, Siqi Zhou, Ting Peng, Hong Tao, Han Chen, Xu Yan, Yueyang Xin, Zhang Tian, Jinxu Wang, Lingli Deng, Aijun Xu","doi":"10.1155/anrp/5583145","DOIUrl":null,"url":null,"abstract":"<p><p><b>Objectives:</b> This study aimed to assess the predictive value of perfusion index (PI) in determining the effectiveness of supraclavicular block (SCB) in children under sevoflurane or propofol general anesthesia. <b>Methods:</b> In this randomized controlled study, 104 children who underwent elective upper extremity surgery under sevoflurane or propofol anesthesia were scheduled to be enrolled. The primary outcome was the effects of PI in predicting the effectiveness of SCB under general anesthesia. The PI value was obtained through pulse oximetries. Secondary outcomes include hemodynamic data, supplementary opioid doses, agitation score, pain score, and postoperative complications. <b>Results:</b> A total of 103 pediatric patients were analyzed. PI increased rapidly after anesthesia induction, and there was no significant difference in PI in the blocked side between the propofol group (PRO group) and sevoflurane group (SEV group). At 10 min after the block, PI in the blocked side was higher than that in the unblocked side in both groups (<i>p</i> < 0.05). However, PI showed low sensitivity and specificity in predicting the effect of SCB at 10 min in both groups. At PACU, PI exhibited a high sensitivity (0.837 vs. 0.796) and specificity (0.721 vs. 0.898) for SCB at cutoff values of 5.91 and 6.67 in both PRO and SEV groups. The area under the receiver operating characteristic curve (AUROC) values were 0.834 (95% CI 0.750-0.918) and 0.895 (95% CI 0.832-0.959). <b>Conclusion:</b> PI demonstrates limited sensitivity and specificity in predicting the effect of SCB at 10 min after block under general anesthesia. However, PI may serve as a more appropriate indicator to guide the necessity for supplemental analgesia in PACU. <b>Trial Registration:</b> ClinicalTrials.gov identifier: NCT04216823.</p>","PeriodicalId":7834,"journal":{"name":"Anesthesiology Research and Practice","volume":"2025 ","pages":"5583145"},"PeriodicalIF":1.3000,"publicationDate":"2025-02-22","publicationTypes":"Journal Article","fieldsOfStudy":null,"isOpenAccess":false,"openAccessPdf":"https://www.ncbi.nlm.nih.gov/pmc/articles/PMC11871980/pdf/","citationCount":"0","resultStr":"{\"title\":\"Perfusion Index Predicts the Effectiveness of Supraclavicular Brachial Plexus Block in Children Under General Anesthesia: A Randomized Controlled Trial.\",\"authors\":\"Tiantian Chu, Siqi Zhou, Ting Peng, Hong Tao, Han Chen, Xu Yan, Yueyang Xin, Zhang Tian, Jinxu Wang, Lingli Deng, Aijun Xu\",\"doi\":\"10.1155/anrp/5583145\",\"DOIUrl\":null,\"url\":null,\"abstract\":\"<p><p><b>Objectives:</b> This study aimed to assess the predictive value of perfusion index (PI) in determining the effectiveness of supraclavicular block (SCB) in children under sevoflurane or propofol general anesthesia. <b>Methods:</b> In this randomized controlled study, 104 children who underwent elective upper extremity surgery under sevoflurane or propofol anesthesia were scheduled to be enrolled. The primary outcome was the effects of PI in predicting the effectiveness of SCB under general anesthesia. The PI value was obtained through pulse oximetries. Secondary outcomes include hemodynamic data, supplementary opioid doses, agitation score, pain score, and postoperative complications. <b>Results:</b> A total of 103 pediatric patients were analyzed. PI increased rapidly after anesthesia induction, and there was no significant difference in PI in the blocked side between the propofol group (PRO group) and sevoflurane group (SEV group). At 10 min after the block, PI in the blocked side was higher than that in the unblocked side in both groups (<i>p</i> < 0.05). However, PI showed low sensitivity and specificity in predicting the effect of SCB at 10 min in both groups. At PACU, PI exhibited a high sensitivity (0.837 vs. 0.796) and specificity (0.721 vs. 0.898) for SCB at cutoff values of 5.91 and 6.67 in both PRO and SEV groups. The area under the receiver operating characteristic curve (AUROC) values were 0.834 (95% CI 0.750-0.918) and 0.895 (95% CI 0.832-0.959). <b>Conclusion:</b> PI demonstrates limited sensitivity and specificity in predicting the effect of SCB at 10 min after block under general anesthesia. However, PI may serve as a more appropriate indicator to guide the necessity for supplemental analgesia in PACU. <b>Trial Registration:</b> ClinicalTrials.gov identifier: NCT04216823.</p>\",\"PeriodicalId\":7834,\"journal\":{\"name\":\"Anesthesiology Research and Practice\",\"volume\":\"2025 \",\"pages\":\"5583145\"},\"PeriodicalIF\":1.3000,\"publicationDate\":\"2025-02-22\",\"publicationTypes\":\"Journal Article\",\"fieldsOfStudy\":null,\"isOpenAccess\":false,\"openAccessPdf\":\"https://www.ncbi.nlm.nih.gov/pmc/articles/PMC11871980/pdf/\",\"citationCount\":\"0\",\"resultStr\":null,\"platform\":\"Semanticscholar\",\"paperid\":null,\"PeriodicalName\":\"Anesthesiology Research and Practice\",\"FirstCategoryId\":\"1085\",\"ListUrlMain\":\"https://doi.org/10.1155/anrp/5583145\",\"RegionNum\":0,\"RegionCategory\":null,\"ArticlePicture\":[],\"TitleCN\":null,\"AbstractTextCN\":null,\"PMCID\":null,\"EPubDate\":\"2025/1/1 0:00:00\",\"PubModel\":\"eCollection\",\"JCR\":\"Q2\",\"JCRName\":\"ANESTHESIOLOGY\",\"Score\":null,\"Total\":0}","platform":"Semanticscholar","paperid":null,"PeriodicalName":"Anesthesiology Research and Practice","FirstCategoryId":"1085","ListUrlMain":"https://doi.org/10.1155/anrp/5583145","RegionNum":0,"RegionCategory":null,"ArticlePicture":[],"TitleCN":null,"AbstractTextCN":null,"PMCID":null,"EPubDate":"2025/1/1 0:00:00","PubModel":"eCollection","JCR":"Q2","JCRName":"ANESTHESIOLOGY","Score":null,"Total":0}
引用次数: 0

摘要

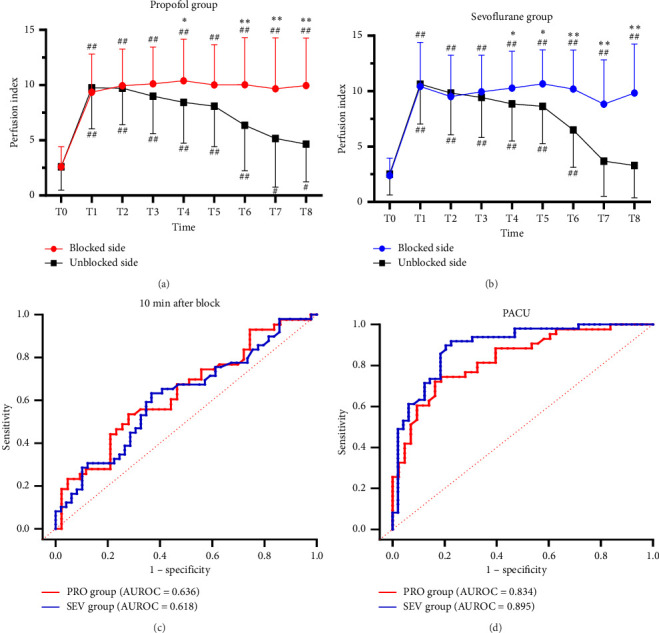
目的:本研究旨在评估灌注指数(PI)对七氟醚或异丙酚全身麻醉下儿童锁骨上阻滞(SCB)有效性的预测价值。方法:在这项随机对照研究中,104名在七氟醚或异丙酚麻醉下接受选择性上肢手术的儿童被纳入研究对象。主要结果是PI在预测全身麻醉下SCB有效性方面的作用。PI值通过脉搏血氧仪测定。次要结局包括血流动力学数据、补充阿片类药物剂量、躁动评分、疼痛评分和术后并发症。结果:共分析103例儿科患者。麻醉诱导后PI迅速升高,异丙酚组(PRO组)与七氟醚组(SEV组)阻滞侧PI无显著差异。阻滞后10 min,两组阻滞侧PI均高于未阻滞侧PI (p < 0.05)。然而,在两组中,PI在预测10分钟SCB的效果方面表现出较低的敏感性和特异性。在PACU中,PI对SCB的敏感性(0.837 vs. 0.796)和特异性(0.721 vs. 0.898)在PRO组和SEV组的截止值分别为5.91和6.67。受试者工作特征曲线下面积(AUROC)分别为0.834 (95% CI 0.750 ~ 0.918)和0.895 (95% CI 0.832 ~ 0.959)。结论:PI在预测全麻阻滞后10分钟SCB的影响方面具有有限的敏感性和特异性。然而,PI可能作为一个更合适的指标来指导PACU补充镇痛的必要性。试验注册:ClinicalTrials.gov标识符:NCT04216823。
本文章由计算机程序翻译,如有差异,请以英文原文为准。

Perfusion Index Predicts the Effectiveness of Supraclavicular Brachial Plexus Block in Children Under General Anesthesia: A Randomized Controlled Trial.

Perfusion Index Predicts the Effectiveness of Supraclavicular Brachial Plexus Block in Children Under General Anesthesia: A Randomized Controlled Trial.

Perfusion Index Predicts the Effectiveness of Supraclavicular Brachial Plexus Block in Children Under General Anesthesia: A Randomized Controlled Trial.

Perfusion Index Predicts the Effectiveness of Supraclavicular Brachial Plexus Block in Children Under General Anesthesia: A Randomized Controlled Trial.

Objectives: This study aimed to assess the predictive value of perfusion index (PI) in determining the effectiveness of supraclavicular block (SCB) in children under sevoflurane or propofol general anesthesia. Methods: In this randomized controlled study, 104 children who underwent elective upper extremity surgery under sevoflurane or propofol anesthesia were scheduled to be enrolled. The primary outcome was the effects of PI in predicting the effectiveness of SCB under general anesthesia. The PI value was obtained through pulse oximetries. Secondary outcomes include hemodynamic data, supplementary opioid doses, agitation score, pain score, and postoperative complications. Results: A total of 103 pediatric patients were analyzed. PI increased rapidly after anesthesia induction, and there was no significant difference in PI in the blocked side between the propofol group (PRO group) and sevoflurane group (SEV group). At 10 min after the block, PI in the blocked side was higher than that in the unblocked side in both groups (p < 0.05). However, PI showed low sensitivity and specificity in predicting the effect of SCB at 10 min in both groups. At PACU, PI exhibited a high sensitivity (0.837 vs. 0.796) and specificity (0.721 vs. 0.898) for SCB at cutoff values of 5.91 and 6.67 in both PRO and SEV groups. The area under the receiver operating characteristic curve (AUROC) values were 0.834 (95% CI 0.750-0.918) and 0.895 (95% CI 0.832-0.959). Conclusion: PI demonstrates limited sensitivity and specificity in predicting the effect of SCB at 10 min after block under general anesthesia. However, PI may serve as a more appropriate indicator to guide the necessity for supplemental analgesia in PACU. Trial Registration: ClinicalTrials.gov identifier: NCT04216823.

求助全文
通过发布文献求助,成功后即可免费获取论文全文。 去求助
来源期刊
CiteScore
3.10
自引率
0.00%
发文量
29
审稿时长
18 weeks
×
引用
GB/T 7714-2015
复制
MLA
复制
APA
复制
导出至
BibTeX EndNote RefMan NoteFirst NoteExpress
×
提示
您的信息不完整,为了账户安全,请先补充。
现在去补充
×
提示
您因"违规操作"
具体请查看互助需知
我知道了
×
提示
确定
请完成安全验证×
copy
已复制链接
快去分享给好友吧!
我知道了
右上角分享
点击右上角分享
0
联系我们:info@booksci.cn Book学术提供免费学术资源搜索服务,方便国内外学者检索中英文文献。致力于提供最便捷和优质的服务体验。 Copyright © 2023 布克学术 All rights reserved.
京ICP备2023020795号-1
ghs 京公网安备 11010802042870号
Book学术文献互助
Book学术文献互助群
群 号:604180095
Book学术官方微信