痴呆知识的差距:保加利亚公众意识和误解的全国性研究。

IF 1.7
Sophia Lazarova, Dessislava Petrova-Antonova
{"title":"痴呆知识的差距:保加利亚公众意识和误解的全国性研究。","authors":"Sophia Lazarova, Dessislava Petrova-Antonova","doi":"10.1111/psyg.70016","DOIUrl":null,"url":null,"abstract":"<p><strong>Background: </strong>Dementia is a global health concern which can be mitigated by primary prevention and improved literacy. Effective educational initiatives are informed by studies of dementia knowledge. However, most of these studies are conducted in high-income countries, leaving the Balkan region underrepresented. This study aimed to conduct the first investigation of dementia knowledge among the Bulgarian population, exploring recognition of symptoms, general dementia knowledge, and risk factors awareness.</p><p><strong>Methods: </strong>Using an online survey we assessed the following components of knowledge: (i) recognition of dementia symptoms from a vignette; (ii) dementia literacy measured with the Dementia Knowledge Assessment Scale (DKAS); and (iii) knowledge about dementia risk factors. Demographic characteristics, previous experience with dementia, and patterns of informing about dementia were also considered in the study.</p><p><strong>Results: </strong>One thousand, eight hundred and ninety-six adults (mean age = 44.99; 51.79% female) completed the survey. Half of the respondents correctly recognised dementia symptoms from a vignette. The average DKAS score was 9.51. Dementia knowledge was linked to education, marital status, employment, ethnicity, experience with dementia, and informational sources. 56.7% of the respondents thought dementia was a normal part of ageing and 74.8% did not know a healthy lifestyle reduces the risk of dementia. The average number of identified risk factors was eight (out of 17), with many mistakenly citing dental fillings, laziness, and witchcraft as contributors to dementia.</p><p><strong>Conclusions: </strong>The Bulgarian society has a poor understanding of dementia, highlighting the need for improved awareness and education. Policy-makers should prioritise dementia as a social issue and take coordinated actions to educate society and eradicate harmful misconceptions.</p>","PeriodicalId":74597,"journal":{"name":"Psychogeriatrics : the official journal of the Japanese Psychogeriatric Society","volume":"25 2","pages":"e70016"},"PeriodicalIF":1.7000,"publicationDate":"2025-03-01","publicationTypes":"Journal Article","fieldsOfStudy":null,"isOpenAccess":false,"openAccessPdf":"https://www.ncbi.nlm.nih.gov/pmc/articles/PMC11868682/pdf/","citationCount":"0","resultStr":"{\"title\":\"Gaps in dementia knowledge: a nationwide study of public awareness and misconceptions in Bulgaria.\",\"authors\":\"Sophia Lazarova, Dessislava Petrova-Antonova\",\"doi\":\"10.1111/psyg.70016\",\"DOIUrl\":null,\"url\":null,\"abstract\":\"<p><strong>Background: </strong>Dementia is a global health concern which can be mitigated by primary prevention and improved literacy. Effective educational initiatives are informed by studies of dementia knowledge. However, most of these studies are conducted in high-income countries, leaving the Balkan region underrepresented. This study aimed to conduct the first investigation of dementia knowledge among the Bulgarian population, exploring recognition of symptoms, general dementia knowledge, and risk factors awareness.</p><p><strong>Methods: </strong>Using an online survey we assessed the following components of knowledge: (i) recognition of dementia symptoms from a vignette; (ii) dementia literacy measured with the Dementia Knowledge Assessment Scale (DKAS); and (iii) knowledge about dementia risk factors. Demographic characteristics, previous experience with dementia, and patterns of informing about dementia were also considered in the study.</p><p><strong>Results: </strong>One thousand, eight hundred and ninety-six adults (mean age = 44.99; 51.79% female) completed the survey. Half of the respondents correctly recognised dementia symptoms from a vignette. The average DKAS score was 9.51. Dementia knowledge was linked to education, marital status, employment, ethnicity, experience with dementia, and informational sources. 56.7% of the respondents thought dementia was a normal part of ageing and 74.8% did not know a healthy lifestyle reduces the risk of dementia. The average number of identified risk factors was eight (out of 17), with many mistakenly citing dental fillings, laziness, and witchcraft as contributors to dementia.</p><p><strong>Conclusions: </strong>The Bulgarian society has a poor understanding of dementia, highlighting the need for improved awareness and education. Policy-makers should prioritise dementia as a social issue and take coordinated actions to educate society and eradicate harmful misconceptions.</p>\",\"PeriodicalId\":74597,\"journal\":{\"name\":\"Psychogeriatrics : the official journal of the Japanese Psychogeriatric Society\",\"volume\":\"25 2\",\"pages\":\"e70016\"},\"PeriodicalIF\":1.7000,\"publicationDate\":\"2025-03-01\",\"publicationTypes\":\"Journal Article\",\"fieldsOfStudy\":null,\"isOpenAccess\":false,\"openAccessPdf\":\"https://www.ncbi.nlm.nih.gov/pmc/articles/PMC11868682/pdf/\",\"citationCount\":\"0\",\"resultStr\":null,\"platform\":\"Semanticscholar\",\"paperid\":null,\"PeriodicalName\":\"Psychogeriatrics : the official journal of the Japanese Psychogeriatric Society\",\"FirstCategoryId\":\"1085\",\"ListUrlMain\":\"https://doi.org/10.1111/psyg.70016\",\"RegionNum\":0,\"RegionCategory\":null,\"ArticlePicture\":[],\"TitleCN\":null,\"AbstractTextCN\":null,\"PMCID\":null,\"EPubDate\":\"\",\"PubModel\":\"\",\"JCR\":\"\",\"JCRName\":\"\",\"Score\":null,\"Total\":0}","platform":"Semanticscholar","paperid":null,"PeriodicalName":"Psychogeriatrics : the official journal of the Japanese Psychogeriatric Society","FirstCategoryId":"1085","ListUrlMain":"https://doi.org/10.1111/psyg.70016","RegionNum":0,"RegionCategory":null,"ArticlePicture":[],"TitleCN":null,"AbstractTextCN":null,"PMCID":null,"EPubDate":"","PubModel":"","JCR":"","JCRName":"","Score":null,"Total":0}
引用次数: 0

摘要

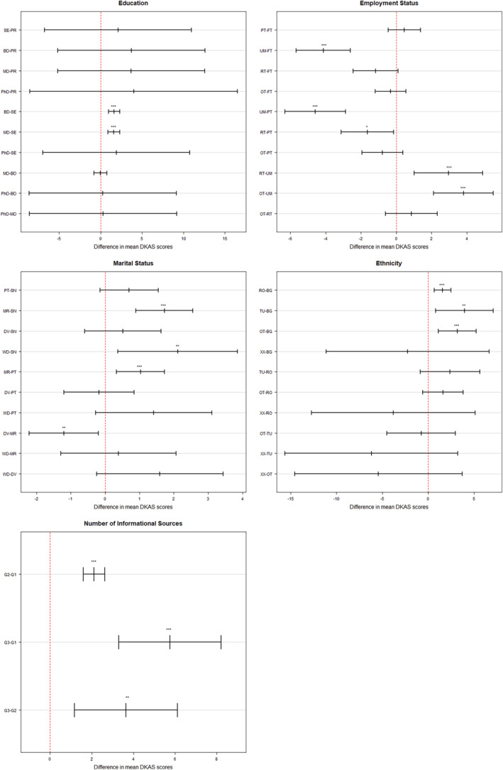
背景:痴呆症是一个全球性的健康问题,可以通过初级预防和提高识字率来缓解。对痴呆症知识的研究为有效的教育活动提供了信息。然而,这些研究大多是在高收入国家进行的,使得巴尔干地区的代表性不足。本研究旨在对保加利亚人群的痴呆症知识进行首次调查,探讨对痴呆症症状的认识、一般痴呆症知识和危险因素的认识。方法:通过在线调查,我们评估了以下知识组成部分:(i)从小插曲中识别痴呆症状;(ii)用痴呆知识评估量表(DKAS)衡量痴呆识字率;(三)对痴呆危险因素的了解。该研究还考虑了人口统计学特征、以前的痴呆症经历和痴呆症的告知模式。结果:成人1396人,平均年龄44.99岁;51.79%的女性)完成了调查。一半的受访者从一个小插曲中正确地识别出痴呆症状。平均DKAS评分为9.51分。痴呆症知识与教育、婚姻状况、就业、种族、痴呆症经历和信息来源有关。56.7%的受访者认为痴呆症是衰老的正常部分,74.8%的人不知道健康的生活方式可以降低痴呆症的风险。被确定的风险因素平均有8个(17个中),其中许多人错误地将补牙、懒惰和巫术列为痴呆症的诱因。结论:保加利亚社会对痴呆症的了解不足,突出了提高认识和教育的必要性。决策者应将痴呆症作为一个社会问题予以优先重视,并采取协调一致的行动,对社会进行教育,消除有害的误解。
本文章由计算机程序翻译,如有差异,请以英文原文为准。

Gaps in dementia knowledge: a nationwide study of public awareness and misconceptions in Bulgaria.

Gaps in dementia knowledge: a nationwide study of public awareness and misconceptions in Bulgaria.

Gaps in dementia knowledge: a nationwide study of public awareness and misconceptions in Bulgaria.

Gaps in dementia knowledge: a nationwide study of public awareness and misconceptions in Bulgaria.

Background: Dementia is a global health concern which can be mitigated by primary prevention and improved literacy. Effective educational initiatives are informed by studies of dementia knowledge. However, most of these studies are conducted in high-income countries, leaving the Balkan region underrepresented. This study aimed to conduct the first investigation of dementia knowledge among the Bulgarian population, exploring recognition of symptoms, general dementia knowledge, and risk factors awareness.

Methods: Using an online survey we assessed the following components of knowledge: (i) recognition of dementia symptoms from a vignette; (ii) dementia literacy measured with the Dementia Knowledge Assessment Scale (DKAS); and (iii) knowledge about dementia risk factors. Demographic characteristics, previous experience with dementia, and patterns of informing about dementia were also considered in the study.

Results: One thousand, eight hundred and ninety-six adults (mean age = 44.99; 51.79% female) completed the survey. Half of the respondents correctly recognised dementia symptoms from a vignette. The average DKAS score was 9.51. Dementia knowledge was linked to education, marital status, employment, ethnicity, experience with dementia, and informational sources. 56.7% of the respondents thought dementia was a normal part of ageing and 74.8% did not know a healthy lifestyle reduces the risk of dementia. The average number of identified risk factors was eight (out of 17), with many mistakenly citing dental fillings, laziness, and witchcraft as contributors to dementia.

Conclusions: The Bulgarian society has a poor understanding of dementia, highlighting the need for improved awareness and education. Policy-makers should prioritise dementia as a social issue and take coordinated actions to educate society and eradicate harmful misconceptions.

求助全文
通过发布文献求助,成功后即可免费获取论文全文。 去求助
来源期刊
自引率
0.00%
发文量
0
×
引用
GB/T 7714-2015
复制
MLA
复制
APA
复制
导出至
BibTeX EndNote RefMan NoteFirst NoteExpress
×
提示
您的信息不完整,为了账户安全,请先补充。
现在去补充
×
提示
您因"违规操作"
具体请查看互助需知
我知道了
×
提示
确定
请完成安全验证×
copy
已复制链接
快去分享给好友吧!
我知道了
右上角分享
点击右上角分享
0
联系我们:info@booksci.cn Book学术提供免费学术资源搜索服务,方便国内外学者检索中英文文献。致力于提供最便捷和优质的服务体验。 Copyright © 2023 布克学术 All rights reserved.
京ICP备2023020795号-1
ghs 京公网安备 11010802042870号
Book学术文献互助
Book学术文献互助群
群 号:604180095
Book学术官方微信