血清淀粉样蛋白A和肾上腺髓质素原是危重症患儿脓毒症的早期标志物。

IF 3.6 Q1 PEDIATRICS
Clinical and Experimental Pediatrics Pub Date : 2025-08-01 Epub Date: 2025-02-26 DOI:10.3345/cep.2024.01928
Nagwan Y Saleh, Wafaa M Abo El Fotoh, Mona S Habib, Salem E Deraz
{"title":"血清淀粉样蛋白A和肾上腺髓质素原是危重症患儿脓毒症的早期标志物。","authors":"Nagwan Y Saleh, Wafaa M Abo El Fotoh, Mona S Habib, Salem E Deraz","doi":"10.3345/cep.2024.01928","DOIUrl":null,"url":null,"abstract":"<p><strong>Background: </strong>Proadrenomedullin (proADM), the most stable part of adrenomedullin (ADM), serves as an indirect marker of ADM levels. Serum amyloid A (SAA) is a protein produced primarily in the liver during acute inflammation.</p><p><strong>Purpose: </strong>To assess the role of SAA and proADM, individually and in combination, as diagnostic and prognostic markers in pediatric sepsis.</p><p><strong>Methods: </strong>This prospective case-control cohort study included 65 critically ill children admitted to the pediatric intensive care unit (PICU) and 31 controls. The study grouped the cases by confirmed diagnosis of sepsis, severe sepsis, or septic shock. All children included in this study underwent PICU scoring, routine laboratory investigations, and specific serum biomarker assessments (SAA and proADM).</p><p><strong>Results: </strong>The mean SAA and proADM levels were significantly higher in the patients versus controls. Both markers were elevated in patients with sepsis, with even higher levels observed in those with severe sepsis and septic shock. SAA demonstrated greater sensitivity for predicting mortality than proADM (61% vs. 52%, respectively). When used together, the sensitivity of the 2 tests for predicting mortality increased to 70%. The 2 tests exhibited fair specificity (57%).</p><p><strong>Conclusion: </strong>SAA and proADM are promising biomarkers for diagnosing and predicting outcomes of pediatric sepsis.</p>","PeriodicalId":36018,"journal":{"name":"Clinical and Experimental Pediatrics","volume":" ","pages":"578-586"},"PeriodicalIF":3.6000,"publicationDate":"2025-08-01","publicationTypes":"Journal Article","fieldsOfStudy":null,"isOpenAccess":false,"openAccessPdf":"https://www.ncbi.nlm.nih.gov/pmc/articles/PMC12326047/pdf/","citationCount":"0","resultStr":"{\"title\":\"Serum amyloid A and proadrenomedullin as early markers in critically ill children with sepsis.\",\"authors\":\"Nagwan Y Saleh, Wafaa M Abo El Fotoh, Mona S Habib, Salem E Deraz\",\"doi\":\"10.3345/cep.2024.01928\",\"DOIUrl\":null,\"url\":null,\"abstract\":\"<p><strong>Background: </strong>Proadrenomedullin (proADM), the most stable part of adrenomedullin (ADM), serves as an indirect marker of ADM levels. Serum amyloid A (SAA) is a protein produced primarily in the liver during acute inflammation.</p><p><strong>Purpose: </strong>To assess the role of SAA and proADM, individually and in combination, as diagnostic and prognostic markers in pediatric sepsis.</p><p><strong>Methods: </strong>This prospective case-control cohort study included 65 critically ill children admitted to the pediatric intensive care unit (PICU) and 31 controls. The study grouped the cases by confirmed diagnosis of sepsis, severe sepsis, or septic shock. All children included in this study underwent PICU scoring, routine laboratory investigations, and specific serum biomarker assessments (SAA and proADM).</p><p><strong>Results: </strong>The mean SAA and proADM levels were significantly higher in the patients versus controls. Both markers were elevated in patients with sepsis, with even higher levels observed in those with severe sepsis and septic shock. SAA demonstrated greater sensitivity for predicting mortality than proADM (61% vs. 52%, respectively). When used together, the sensitivity of the 2 tests for predicting mortality increased to 70%. The 2 tests exhibited fair specificity (57%).</p><p><strong>Conclusion: </strong>SAA and proADM are promising biomarkers for diagnosing and predicting outcomes of pediatric sepsis.</p>\",\"PeriodicalId\":36018,\"journal\":{\"name\":\"Clinical and Experimental Pediatrics\",\"volume\":\" \",\"pages\":\"578-586\"},\"PeriodicalIF\":3.6000,\"publicationDate\":\"2025-08-01\",\"publicationTypes\":\"Journal Article\",\"fieldsOfStudy\":null,\"isOpenAccess\":false,\"openAccessPdf\":\"https://www.ncbi.nlm.nih.gov/pmc/articles/PMC12326047/pdf/\",\"citationCount\":\"0\",\"resultStr\":null,\"platform\":\"Semanticscholar\",\"paperid\":null,\"PeriodicalName\":\"Clinical and Experimental Pediatrics\",\"FirstCategoryId\":\"1085\",\"ListUrlMain\":\"https://doi.org/10.3345/cep.2024.01928\",\"RegionNum\":0,\"RegionCategory\":null,\"ArticlePicture\":[],\"TitleCN\":null,\"AbstractTextCN\":null,\"PMCID\":null,\"EPubDate\":\"2025/2/26 0:00:00\",\"PubModel\":\"Epub\",\"JCR\":\"Q1\",\"JCRName\":\"PEDIATRICS\",\"Score\":null,\"Total\":0}","platform":"Semanticscholar","paperid":null,"PeriodicalName":"Clinical and Experimental Pediatrics","FirstCategoryId":"1085","ListUrlMain":"https://doi.org/10.3345/cep.2024.01928","RegionNum":0,"RegionCategory":null,"ArticlePicture":[],"TitleCN":null,"AbstractTextCN":null,"PMCID":null,"EPubDate":"2025/2/26 0:00:00","PubModel":"Epub","JCR":"Q1","JCRName":"PEDIATRICS","Score":null,"Total":0}
引用次数: 0

摘要

背景:前肾上腺髓质素(pro-ADM)是ADM中最稳定的部分,是ADM水平的间接标志物。目的:评估血清淀粉样蛋白 A(SAA)和前肾上腺髓质素(pro-ADM)单独或联合作为儿科败血症诊断和预后标志物的作用:这项前瞻性病例对照队列研究包括 65 名入住儿科重症监护室(PICU)的重症患儿和 31 名对照组患儿。研究按照脓毒症、严重脓毒症或脓毒性休克的确诊情况对病例进行分组。研究中的所有患儿都接受了 PICU 评分、常规实验室检查和特定血清生物标志物评估(SAA 和 pro-ADM):结果:与对照组相比,患者的平均SAA和pro-ADM水平明显升高。这两种标志物在败血症患者中均有升高,在严重败血症和脓毒性休克患者中甚至更高。在预测死亡率方面,SAA 的灵敏度高于原ADM(分别为 61% 和 52%)。当两种检测一起使用时,预测死亡率的灵敏度增加到 70%。结论:SAA和pro-ADM是预测死亡率的有效方法:结论:SAA和pro-ADM是诊断和预测小儿败血症结果的有前途的生物标记物。
本文章由计算机程序翻译,如有差异,请以英文原文为准。

Serum amyloid A and proadrenomedullin as early markers in critically ill children with sepsis.

Serum amyloid A and proadrenomedullin as early markers in critically ill children with sepsis.

Serum amyloid A and proadrenomedullin as early markers in critically ill children with sepsis.

Serum amyloid A and proadrenomedullin as early markers in critically ill children with sepsis.

Serum amyloid A and proadrenomedullin as early markers in critically ill children with sepsis.

Serum amyloid A and proadrenomedullin as early markers in critically ill children with sepsis.

Serum amyloid A and proadrenomedullin as early markers in critically ill children with sepsis.

Background: Proadrenomedullin (proADM), the most stable part of adrenomedullin (ADM), serves as an indirect marker of ADM levels. Serum amyloid A (SAA) is a protein produced primarily in the liver during acute inflammation.

Purpose: To assess the role of SAA and proADM, individually and in combination, as diagnostic and prognostic markers in pediatric sepsis.

Methods: This prospective case-control cohort study included 65 critically ill children admitted to the pediatric intensive care unit (PICU) and 31 controls. The study grouped the cases by confirmed diagnosis of sepsis, severe sepsis, or septic shock. All children included in this study underwent PICU scoring, routine laboratory investigations, and specific serum biomarker assessments (SAA and proADM).

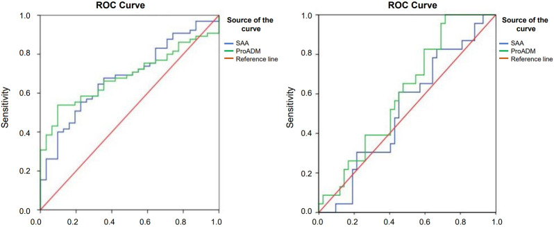
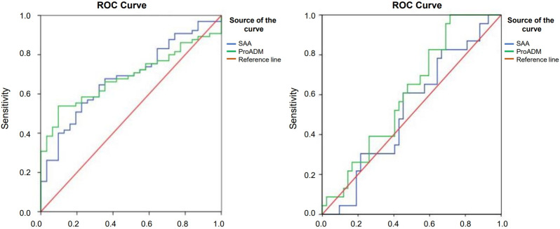
Results: The mean SAA and proADM levels were significantly higher in the patients versus controls. Both markers were elevated in patients with sepsis, with even higher levels observed in those with severe sepsis and septic shock. SAA demonstrated greater sensitivity for predicting mortality than proADM (61% vs. 52%, respectively). When used together, the sensitivity of the 2 tests for predicting mortality increased to 70%. The 2 tests exhibited fair specificity (57%).

Conclusion: SAA and proADM are promising biomarkers for diagnosing and predicting outcomes of pediatric sepsis.

求助全文
通过发布文献求助,成功后即可免费获取论文全文。 去求助
来源期刊
CiteScore
8.00
自引率
2.40%
发文量
88
审稿时长
60 weeks
×
引用
GB/T 7714-2015
复制
MLA
复制
APA
复制
导出至
BibTeX EndNote RefMan NoteFirst NoteExpress
×
提示
您的信息不完整,为了账户安全,请先补充。
现在去补充
×
提示
您因"违规操作"
具体请查看互助需知
我知道了
×
提示
确定
请完成安全验证×
copy
已复制链接
快去分享给好友吧!
我知道了
右上角分享
点击右上角分享
0
联系我们:info@booksci.cn Book学术提供免费学术资源搜索服务,方便国内外学者检索中英文文献。致力于提供最便捷和优质的服务体验。 Copyright © 2023 布克学术 All rights reserved.
京ICP备2023020795号-1
ghs 京公网安备 11010802042870号
Book学术文献互助
Book学术文献互助群
群 号:604180095
Book学术官方微信