超过3年的远程咨询:专科门诊姑息治疗的回顾性队列研究。

IF 3.9 2区 医学 Q1 HEALTH CARE SCIENCES & SERVICES
Palliative Medicine Pub Date : 2025-04-01 Epub Date: 2025-02-28 DOI:10.1177/02692163251321717
Sarah Veldeman, Tobias Martin, Johannes Wüeller, Michael Czaplik, Andreas Follmann
{"title":"超过3年的远程咨询:专科门诊姑息治疗的回顾性队列研究。","authors":"Sarah Veldeman, Tobias Martin, Johannes Wüeller, Michael Czaplik, Andreas Follmann","doi":"10.1177/02692163251321717","DOIUrl":null,"url":null,"abstract":"<p><strong>Background: </strong>Telemedicine in palliative care is advancing to conquer challenges like staff shortages and limited access. Though feasibility and acceptance are proven, the clinical effects of teleconsultations (a nurse on-site consulting with a remote physician) have yet to be studied. The impact on physicians' workload or which patients it suits best, remain unclear.</p><p><strong>Aim: </strong>This study analyses the effect of teleconsultations on physician quota (number of physician-attended home visits divided by total number of home visits) and hospitalizations in specialized outpatient palliative care (SOPC) after 3 years of use in Aachen, Germany.</p><p><strong>Design: </strong>In a single-center, retrospective cohort study (September 2019-March 2023), clinical data was retrieved from a palliative care provider.</p><p><strong>Setting/participants: </strong>1756 patients with diseases from all medical disciplines received care during the observation period. By clinicians' choice 384 received teleconsultations, while 1372 did not.</p><p><strong>Results: </strong>833 teleconsultations were conducted. Telemedicine patients were younger (72.8 ± 12.5 years vs. non-telemedicine 74.4 ± 12.8 years, <i>p</i> = 0.011), presented more diagnoses (<i>p</i> < 0.001), while scope of symptoms and diagnoses was equivalent. Telemedicine patients had a longer duration of stay within the SOPC and more home visits. Physician quota in the telemedicine group was lower (<i>p</i> < 0.001). A matched pairs analysis (<i>n</i> = 726) showed no significant difference in hospitalizations.</p><p><strong>Conclusions: </strong>Telemedicine can reduce physician quota, alleviating personnel shortages while providing time for care-intensive patients and creating capacity for more patients. Telemedicine seems suited for multimorbid, long-term patients. A matched pairs analysis showed no difference in hospitalizations in telemedicine patients.</p>","PeriodicalId":19849,"journal":{"name":"Palliative Medicine","volume":" ","pages":"499-506"},"PeriodicalIF":3.9000,"publicationDate":"2025-04-01","publicationTypes":"Journal Article","fieldsOfStudy":null,"isOpenAccess":false,"openAccessPdf":"https://www.ncbi.nlm.nih.gov/pmc/articles/PMC11977805/pdf/","citationCount":"0","resultStr":"{\"title\":\"More than 3 years of teleconsultations: A retrospective cohort study in specialized outpatient palliative care.\",\"authors\":\"Sarah Veldeman, Tobias Martin, Johannes Wüeller, Michael Czaplik, Andreas Follmann\",\"doi\":\"10.1177/02692163251321717\",\"DOIUrl\":null,\"url\":null,\"abstract\":\"<p><strong>Background: </strong>Telemedicine in palliative care is advancing to conquer challenges like staff shortages and limited access. Though feasibility and acceptance are proven, the clinical effects of teleconsultations (a nurse on-site consulting with a remote physician) have yet to be studied. The impact on physicians' workload or which patients it suits best, remain unclear.</p><p><strong>Aim: </strong>This study analyses the effect of teleconsultations on physician quota (number of physician-attended home visits divided by total number of home visits) and hospitalizations in specialized outpatient palliative care (SOPC) after 3 years of use in Aachen, Germany.</p><p><strong>Design: </strong>In a single-center, retrospective cohort study (September 2019-March 2023), clinical data was retrieved from a palliative care provider.</p><p><strong>Setting/participants: </strong>1756 patients with diseases from all medical disciplines received care during the observation period. By clinicians' choice 384 received teleconsultations, while 1372 did not.</p><p><strong>Results: </strong>833 teleconsultations were conducted. Telemedicine patients were younger (72.8 ± 12.5 years vs. non-telemedicine 74.4 ± 12.8 years, <i>p</i> = 0.011), presented more diagnoses (<i>p</i> < 0.001), while scope of symptoms and diagnoses was equivalent. Telemedicine patients had a longer duration of stay within the SOPC and more home visits. Physician quota in the telemedicine group was lower (<i>p</i> < 0.001). A matched pairs analysis (<i>n</i> = 726) showed no significant difference in hospitalizations.</p><p><strong>Conclusions: </strong>Telemedicine can reduce physician quota, alleviating personnel shortages while providing time for care-intensive patients and creating capacity for more patients. Telemedicine seems suited for multimorbid, long-term patients. A matched pairs analysis showed no difference in hospitalizations in telemedicine patients.</p>\",\"PeriodicalId\":19849,\"journal\":{\"name\":\"Palliative Medicine\",\"volume\":\" \",\"pages\":\"499-506\"},\"PeriodicalIF\":3.9000,\"publicationDate\":\"2025-04-01\",\"publicationTypes\":\"Journal Article\",\"fieldsOfStudy\":null,\"isOpenAccess\":false,\"openAccessPdf\":\"https://www.ncbi.nlm.nih.gov/pmc/articles/PMC11977805/pdf/\",\"citationCount\":\"0\",\"resultStr\":null,\"platform\":\"Semanticscholar\",\"paperid\":null,\"PeriodicalName\":\"Palliative Medicine\",\"FirstCategoryId\":\"3\",\"ListUrlMain\":\"https://doi.org/10.1177/02692163251321717\",\"RegionNum\":2,\"RegionCategory\":\"医学\",\"ArticlePicture\":[],\"TitleCN\":null,\"AbstractTextCN\":null,\"PMCID\":null,\"EPubDate\":\"2025/2/28 0:00:00\",\"PubModel\":\"Epub\",\"JCR\":\"Q1\",\"JCRName\":\"HEALTH CARE SCIENCES & SERVICES\",\"Score\":null,\"Total\":0}","platform":"Semanticscholar","paperid":null,"PeriodicalName":"Palliative Medicine","FirstCategoryId":"3","ListUrlMain":"https://doi.org/10.1177/02692163251321717","RegionNum":2,"RegionCategory":"医学","ArticlePicture":[],"TitleCN":null,"AbstractTextCN":null,"PMCID":null,"EPubDate":"2025/2/28 0:00:00","PubModel":"Epub","JCR":"Q1","JCRName":"HEALTH CARE SCIENCES & SERVICES","Score":null,"Total":0}
引用次数: 0

摘要

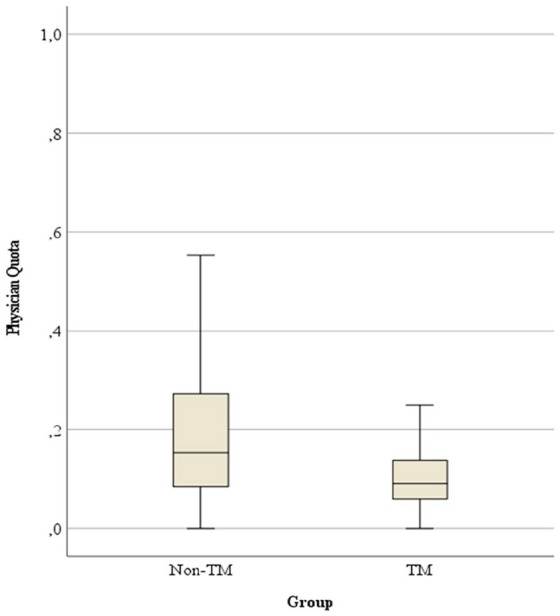
背景:姑息治疗领域的远程医疗正在取得进展,以克服人员短缺和获取受限等挑战。虽然远程会诊的可行性和可接受性已得到证实,但其临床效果(护士现场会诊远程医生)仍有待研究。对医生工作量的影响,或者它最适合哪些病人,目前还不清楚。目的:本研究分析远程会诊在德国亚琛实施3年后对专科门诊姑息治疗(SOPC)医师配额(医生出诊次数除以总出诊次数)和住院率的影响。设计:在一项单中心、回顾性队列研究(2019年9月- 2023年3月)中,从姑息治疗提供者处检索临床数据。环境/参与者:1756名所有医学学科的疾病患者在观察期间接受了护理。根据临床医生的选择,384人接受了远程咨询,而1372人没有。结果:共进行远程会诊833次。远程医疗患者更年轻(72.8±12.5岁vs.非远程医疗74.4±12.8岁,p = 0.011),诊出率更高(p = 726),住院率差异无统计学意义。结论:远程医疗可以减少医生配额,缓解人员短缺,同时为重症患者提供时间,为更多患者创造能力。远程医疗似乎适合多种疾病的长期患者。配对分析显示,远程医疗患者的住院治疗没有差异。
本文章由计算机程序翻译,如有差异,请以英文原文为准。

More than 3 years of teleconsultations: A retrospective cohort study in specialized outpatient palliative care.

More than 3 years of teleconsultations: A retrospective cohort study in specialized outpatient palliative care.

More than 3 years of teleconsultations: A retrospective cohort study in specialized outpatient palliative care.

More than 3 years of teleconsultations: A retrospective cohort study in specialized outpatient palliative care.

Background: Telemedicine in palliative care is advancing to conquer challenges like staff shortages and limited access. Though feasibility and acceptance are proven, the clinical effects of teleconsultations (a nurse on-site consulting with a remote physician) have yet to be studied. The impact on physicians' workload or which patients it suits best, remain unclear.

Aim: This study analyses the effect of teleconsultations on physician quota (number of physician-attended home visits divided by total number of home visits) and hospitalizations in specialized outpatient palliative care (SOPC) after 3 years of use in Aachen, Germany.

Design: In a single-center, retrospective cohort study (September 2019-March 2023), clinical data was retrieved from a palliative care provider.

Setting/participants: 1756 patients with diseases from all medical disciplines received care during the observation period. By clinicians' choice 384 received teleconsultations, while 1372 did not.

Results: 833 teleconsultations were conducted. Telemedicine patients were younger (72.8 ± 12.5 years vs. non-telemedicine 74.4 ± 12.8 years, p = 0.011), presented more diagnoses (p < 0.001), while scope of symptoms and diagnoses was equivalent. Telemedicine patients had a longer duration of stay within the SOPC and more home visits. Physician quota in the telemedicine group was lower (p < 0.001). A matched pairs analysis (n = 726) showed no significant difference in hospitalizations.

Conclusions: Telemedicine can reduce physician quota, alleviating personnel shortages while providing time for care-intensive patients and creating capacity for more patients. Telemedicine seems suited for multimorbid, long-term patients. A matched pairs analysis showed no difference in hospitalizations in telemedicine patients.

求助全文
通过发布文献求助,成功后即可免费获取论文全文。 去求助
来源期刊
Palliative Medicine
Palliative Medicine 医学-公共卫生、环境卫生与职业卫生
CiteScore
7.60
自引率
9.10%
发文量
125
审稿时长
6-12 weeks
期刊介绍: Palliative Medicine is a highly ranked, peer reviewed scholarly journal dedicated to improving knowledge and clinical practice in the palliative care of patients with far advanced disease. This outstanding journal features editorials, original papers, review articles, case reports, correspondence and book reviews. Essential reading for all members of the palliative care team. This journal is a member of the Committee on Publication Ethics (COPE).
×
引用
GB/T 7714-2015
复制
MLA
复制
APA
复制
导出至
BibTeX EndNote RefMan NoteFirst NoteExpress
×
提示
您的信息不完整,为了账户安全,请先补充。
现在去补充
×
提示
您因"违规操作"
具体请查看互助需知
我知道了
×
提示
确定
请完成安全验证×
copy
已复制链接
快去分享给好友吧!
我知道了
右上角分享
点击右上角分享
0
联系我们:info@booksci.cn Book学术提供免费学术资源搜索服务,方便国内外学者检索中英文文献。致力于提供最便捷和优质的服务体验。 Copyright © 2023 布克学术 All rights reserved.
京ICP备2023020795号-1
ghs 京公网安备 11010802042870号
Book学术文献互助
Book学术文献互助群
群 号:604180095
Book学术官方微信