空气污染、气象因素与变应性鼻炎患者外周血嗜酸性粒细胞计数关系的横断面研究。

IF 2.1 4区 医学 Q3 RESPIRATORY SYSTEM
Canadian respiratory journal Pub Date : 2025-02-20 eCollection Date: 2025-01-01 DOI:10.1155/carj/4709567
Boya Fan, Gang Wang, Lei Wang, Wei Wu
{"title":"空气污染、气象因素与变应性鼻炎患者外周血嗜酸性粒细胞计数关系的横断面研究。","authors":"Boya Fan, Gang Wang, Lei Wang, Wei Wu","doi":"10.1155/carj/4709567","DOIUrl":null,"url":null,"abstract":"<p><p><b>Objective:</b> To evaluate the relationship between air pollution, meteorological factors, and eosinophils in the peripheral blood of allergic rhinitis (AR) patients. <b>Methods:</b> We conducted a retrospective study of medical records from the Ninth Medical Center of PLA General Hospital in Beijing. A review of medical records (1<sup>st</sup> January 2014-31<sup>th</sup> August 2022) of 1080 AR patients who underwent peripheral blood eosinophil count tests. Patients were stratified into elevated and normal eosinophil count groups. Daily meteorological data (mean temperature and relative humidity) and ambient pollutant levels (PM2.5, PM10, NO<sub>2</sub>, SO<sub>2</sub>, CO, and ozone [O<sub>3</sub>]) were collected. The mean pollutant levels and meteorological factors on the day of eosinophil count measurement were calculated separately for each group. Linear regression was performed to analyze the association between eosinophil counts and both meteorological factors and pollutant levels among AR patients. <b>Results:</b> In 1080 AR patients, 11.85% had elevated eosinophil counts. Higher temperature (16.88 ± 9.09°C), humidity (57.75 ± 17.22%), and O<sub>3</sub> levels (116.54 ± 54.92 μg/m<sup>3</sup>) correlated significantly (<i>p</i> < 0.05) with elevated eosinophil counts. Linear regression confirmed positive associations between eosinophil count and temperature (<i>β</i> = 0.003), humidity (<i>β</i> = 0.001), and O<sub>3</sub> (<i>β</i> = 0.0004) (<i>p</i> < 0.05). Other pollutants showed no significant differences. <b>Conclusion:</b> Elevated eosinophil counts in AR patients correlated significantly with higher temperature, humidity, and O<sub>3</sub> levels. Linear regression confirmed positive associations between eosinophil count and these meteorological factors.</p>","PeriodicalId":9416,"journal":{"name":"Canadian respiratory journal","volume":"2025 ","pages":"4709567"},"PeriodicalIF":2.1000,"publicationDate":"2025-02-20","publicationTypes":"Journal Article","fieldsOfStudy":null,"isOpenAccess":false,"openAccessPdf":"https://www.ncbi.nlm.nih.gov/pmc/articles/PMC11867720/pdf/","citationCount":"0","resultStr":"{\"title\":\"The Relationship Between Air Pollution, Meteorological Factors, and Eosinophil Counts in Peripheral Blood of Patients With Allergic Rhinitis: A Cross-Sectional Study.\",\"authors\":\"Boya Fan, Gang Wang, Lei Wang, Wei Wu\",\"doi\":\"10.1155/carj/4709567\",\"DOIUrl\":null,\"url\":null,\"abstract\":\"<p><p><b>Objective:</b> To evaluate the relationship between air pollution, meteorological factors, and eosinophils in the peripheral blood of allergic rhinitis (AR) patients. <b>Methods:</b> We conducted a retrospective study of medical records from the Ninth Medical Center of PLA General Hospital in Beijing. A review of medical records (1<sup>st</sup> January 2014-31<sup>th</sup> August 2022) of 1080 AR patients who underwent peripheral blood eosinophil count tests. Patients were stratified into elevated and normal eosinophil count groups. Daily meteorological data (mean temperature and relative humidity) and ambient pollutant levels (PM2.5, PM10, NO<sub>2</sub>, SO<sub>2</sub>, CO, and ozone [O<sub>3</sub>]) were collected. The mean pollutant levels and meteorological factors on the day of eosinophil count measurement were calculated separately for each group. Linear regression was performed to analyze the association between eosinophil counts and both meteorological factors and pollutant levels among AR patients. <b>Results:</b> In 1080 AR patients, 11.85% had elevated eosinophil counts. Higher temperature (16.88 ± 9.09°C), humidity (57.75 ± 17.22%), and O<sub>3</sub> levels (116.54 ± 54.92 μg/m<sup>3</sup>) correlated significantly (<i>p</i> < 0.05) with elevated eosinophil counts. Linear regression confirmed positive associations between eosinophil count and temperature (<i>β</i> = 0.003), humidity (<i>β</i> = 0.001), and O<sub>3</sub> (<i>β</i> = 0.0004) (<i>p</i> < 0.05). Other pollutants showed no significant differences. <b>Conclusion:</b> Elevated eosinophil counts in AR patients correlated significantly with higher temperature, humidity, and O<sub>3</sub> levels. Linear regression confirmed positive associations between eosinophil count and these meteorological factors.</p>\",\"PeriodicalId\":9416,\"journal\":{\"name\":\"Canadian respiratory journal\",\"volume\":\"2025 \",\"pages\":\"4709567\"},\"PeriodicalIF\":2.1000,\"publicationDate\":\"2025-02-20\",\"publicationTypes\":\"Journal Article\",\"fieldsOfStudy\":null,\"isOpenAccess\":false,\"openAccessPdf\":\"https://www.ncbi.nlm.nih.gov/pmc/articles/PMC11867720/pdf/\",\"citationCount\":\"0\",\"resultStr\":null,\"platform\":\"Semanticscholar\",\"paperid\":null,\"PeriodicalName\":\"Canadian respiratory journal\",\"FirstCategoryId\":\"3\",\"ListUrlMain\":\"https://doi.org/10.1155/carj/4709567\",\"RegionNum\":4,\"RegionCategory\":\"医学\",\"ArticlePicture\":[],\"TitleCN\":null,\"AbstractTextCN\":null,\"PMCID\":null,\"EPubDate\":\"2025/1/1 0:00:00\",\"PubModel\":\"eCollection\",\"JCR\":\"Q3\",\"JCRName\":\"RESPIRATORY SYSTEM\",\"Score\":null,\"Total\":0}","platform":"Semanticscholar","paperid":null,"PeriodicalName":"Canadian respiratory journal","FirstCategoryId":"3","ListUrlMain":"https://doi.org/10.1155/carj/4709567","RegionNum":4,"RegionCategory":"医学","ArticlePicture":[],"TitleCN":null,"AbstractTextCN":null,"PMCID":null,"EPubDate":"2025/1/1 0:00:00","PubModel":"eCollection","JCR":"Q3","JCRName":"RESPIRATORY SYSTEM","Score":null,"Total":0}
引用次数: 0

摘要

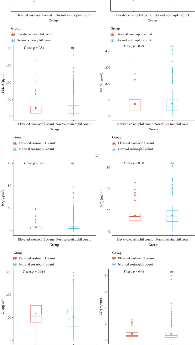
目的:探讨空气污染、气象因素与变应性鼻炎(AR)患者外周血嗜酸性粒细胞的关系。方法:对北京市人民解放军总医院第九医疗中心的病历资料进行回顾性分析。回顾性分析2014年1月1日至2022年8月31日1080例AR患者外周血嗜酸性粒细胞计数检测的病历。将患者分为嗜酸性粒细胞升高组和正常组。收集日气象资料(平均温度和相对湿度)和环境污染物水平(PM2.5、PM10、NO2、SO2、CO和臭氧[O3])。分别计算各组测定嗜酸性粒细胞计数当日的平均污染物水平和气象因子。采用线性回归分析AR患者嗜酸性粒细胞计数与气象因素和污染物水平之间的关系。结果:1080例AR患者中,11.85%的患者嗜酸性粒细胞计数升高。较高的温度(16.88±9.09℃)、湿度(57.75±17.22%)和O3水平(116.54±54.92 μg/m3)与嗜酸性粒细胞升高呈显著相关(p < 0.05)。线性回归证实嗜酸性粒细胞计数与温度(β = 0.003)、湿度(β = 0.001)和O3 (β = 0.0004)呈正相关(p < 0.05)。其他污染物无显著差异。结论:AR患者嗜酸性粒细胞计数升高与较高的温度、湿度和O3水平显著相关。线性回归证实了嗜酸性粒细胞计数与这些气象因子之间的正相关关系。
本文章由计算机程序翻译,如有差异,请以英文原文为准。

The Relationship Between Air Pollution, Meteorological Factors, and Eosinophil Counts in Peripheral Blood of Patients With Allergic Rhinitis: A Cross-Sectional Study.

The Relationship Between Air Pollution, Meteorological Factors, and Eosinophil Counts in Peripheral Blood of Patients With Allergic Rhinitis: A Cross-Sectional Study.

The Relationship Between Air Pollution, Meteorological Factors, and Eosinophil Counts in Peripheral Blood of Patients With Allergic Rhinitis: A Cross-Sectional Study.

Objective: To evaluate the relationship between air pollution, meteorological factors, and eosinophils in the peripheral blood of allergic rhinitis (AR) patients. Methods: We conducted a retrospective study of medical records from the Ninth Medical Center of PLA General Hospital in Beijing. A review of medical records (1st January 2014-31th August 2022) of 1080 AR patients who underwent peripheral blood eosinophil count tests. Patients were stratified into elevated and normal eosinophil count groups. Daily meteorological data (mean temperature and relative humidity) and ambient pollutant levels (PM2.5, PM10, NO2, SO2, CO, and ozone [O3]) were collected. The mean pollutant levels and meteorological factors on the day of eosinophil count measurement were calculated separately for each group. Linear regression was performed to analyze the association between eosinophil counts and both meteorological factors and pollutant levels among AR patients. Results: In 1080 AR patients, 11.85% had elevated eosinophil counts. Higher temperature (16.88 ± 9.09°C), humidity (57.75 ± 17.22%), and O3 levels (116.54 ± 54.92 μg/m3) correlated significantly (p < 0.05) with elevated eosinophil counts. Linear regression confirmed positive associations between eosinophil count and temperature (β = 0.003), humidity (β = 0.001), and O3 (β = 0.0004) (p < 0.05). Other pollutants showed no significant differences. Conclusion: Elevated eosinophil counts in AR patients correlated significantly with higher temperature, humidity, and O3 levels. Linear regression confirmed positive associations between eosinophil count and these meteorological factors.

求助全文
通过发布文献求助,成功后即可免费获取论文全文。 去求助
来源期刊
Canadian respiratory journal
Canadian respiratory journal 医学-呼吸系统
CiteScore
4.20
自引率
0.00%
发文量
61
审稿时长
6-12 weeks
期刊介绍: Canadian Respiratory Journal is a peer-reviewed, Open Access journal that aims to provide a multidisciplinary forum for research in all areas of respiratory medicine. The journal publishes original research articles, review articles, and clinical studies related to asthma, allergy, COPD, non-invasive ventilation, therapeutic intervention, lung cancer, airway and lung infections, as well as any other respiratory diseases.
×
引用
GB/T 7714-2015
复制
MLA
复制
APA
复制
导出至
BibTeX EndNote RefMan NoteFirst NoteExpress
×
提示
您的信息不完整,为了账户安全,请先补充。
现在去补充
×
提示
您因"违规操作"
具体请查看互助需知
我知道了
×
提示
确定
请完成安全验证×
copy
已复制链接
快去分享给好友吧!
我知道了
右上角分享
点击右上角分享
0
联系我们:info@booksci.cn Book学术提供免费学术资源搜索服务,方便国内外学者检索中英文文献。致力于提供最便捷和优质的服务体验。 Copyright © 2023 布克学术 All rights reserved.
京ICP备2023020795号-1
ghs 京公网安备 11010802042870号
Book学术文献互助
Book学术文献互助群
群 号:604180095
Book学术官方微信