在SPIRIT试验中,Ixekizumab治疗银屑病关节炎患者的滑膜炎、胃炎和患者报告结果的协同改善

IF 2.9 3区 医学 Q2 RHEUMATOLOGY
Rheumatology and Therapy Pub Date : 2025-04-01 Epub Date: 2025-02-27 DOI:10.1007/s40744-025-00748-8
Lars-Erik Kristensen, Dennis McGonagle, Martin Rudwaleit, Hideto Kameda, Peter Adler Würtzen, Marcus Ngantcha, Thorsten Holzkämper, Josef Smolen
{"title":"在SPIRIT试验中,Ixekizumab治疗银屑病关节炎患者的滑膜炎、胃炎和患者报告结果的协同改善","authors":"Lars-Erik Kristensen, Dennis McGonagle, Martin Rudwaleit, Hideto Kameda, Peter Adler Würtzen, Marcus Ngantcha, Thorsten Holzkämper, Josef Smolen","doi":"10.1007/s40744-025-00748-8","DOIUrl":null,"url":null,"abstract":"<p><strong>Introduction: </strong>Synovitis and enthesitis are key manifestations in psoriatic arthritis (PsA). This descriptive analysis investigated the association between improvement in synovitis and enthesitis, individually and combined, and improvement in patient-reported outcomes (PROs) including health-related quality of life (HRQoL) for patients with PsA from the SPIRIT-P1, SPIRIT-P2, and SPIRIT-H2H trials who presented with synovitis and enthesitis at baseline and received ixekizumab (IXE) treatment.</p><p><strong>Methods: </strong>In this post hoc analysis, data are presented from patients with PsA treated with IXE every 4 weeks from two phase III studies (SPIRIT-P1 and SPIRIT-P2) and one phase IIIb/IV study (SPIRIT-H2H) who had both synovitis and enthesitis at baseline. Associations between improvements in synovitis and improvements in enthesitis were explored using Pearson analyses through week 52. Associations between improvements in both, either, and neither condition with improvements in PROs (36-item Short Form Health Survey Physical Component Score [SF-36 PCS], the European Quality-of-Life 5 Dimensions 5 Levels [EQ-5D-5L] including the EQ-5D Visual Analogue Score [VAS] and the EQ-health index, Patient's Global Assessment [PtGA], and pain VAS) were assessed descriptively through week 52.</p><p><strong>Results: </strong>Results demonstrated the synergistic improvements in synovitis and enthesitis, individually or combined, and improvements in PROs including HRQoL, for patients treated with IXE through week 52. An association between improvements in synovitis and enthesitis symptoms was observed through week 52. Patients who achieved resolution of both synovitis and enthesitis reported highest improvements in SF-36 PCS, EQ-5D-5L, pain VAS, and PtGA.</p><p><strong>Conclusion: </strong>Synergistic improvements in two key PsA domains, namely synovitis and enthesitis, and improvements in PROs including HRQoL, were observed for patients with PsA treated with IXE through week 52. These findings support PsA treatment goal aiming to achieve the lowest possible level of disease activity in all disease domains.</p><p><strong>Trial registration numbers: </strong>SPIRIT-P1 (NCT01695239), SPIRIT-P2 (NCT02349295), and SPIRIT-H2H (NCT03151551).</p>","PeriodicalId":21267,"journal":{"name":"Rheumatology and Therapy","volume":" ","pages":"381-395"},"PeriodicalIF":2.9000,"publicationDate":"2025-04-01","publicationTypes":"Journal Article","fieldsOfStudy":null,"isOpenAccess":false,"openAccessPdf":"https://www.ncbi.nlm.nih.gov/pmc/articles/PMC11920489/pdf/","citationCount":"0","resultStr":"{\"title\":\"Synergistic Improvements in Synovitis, Enthesitis, and Patient-Reported Outcomes for Patients with Psoriatic Arthritis Treated with Ixekizumab in SPIRIT Trials.\",\"authors\":\"Lars-Erik Kristensen, Dennis McGonagle, Martin Rudwaleit, Hideto Kameda, Peter Adler Würtzen, Marcus Ngantcha, Thorsten Holzkämper, Josef Smolen\",\"doi\":\"10.1007/s40744-025-00748-8\",\"DOIUrl\":null,\"url\":null,\"abstract\":\"<p><strong>Introduction: </strong>Synovitis and enthesitis are key manifestations in psoriatic arthritis (PsA). This descriptive analysis investigated the association between improvement in synovitis and enthesitis, individually and combined, and improvement in patient-reported outcomes (PROs) including health-related quality of life (HRQoL) for patients with PsA from the SPIRIT-P1, SPIRIT-P2, and SPIRIT-H2H trials who presented with synovitis and enthesitis at baseline and received ixekizumab (IXE) treatment.</p><p><strong>Methods: </strong>In this post hoc analysis, data are presented from patients with PsA treated with IXE every 4 weeks from two phase III studies (SPIRIT-P1 and SPIRIT-P2) and one phase IIIb/IV study (SPIRIT-H2H) who had both synovitis and enthesitis at baseline. Associations between improvements in synovitis and improvements in enthesitis were explored using Pearson analyses through week 52. Associations between improvements in both, either, and neither condition with improvements in PROs (36-item Short Form Health Survey Physical Component Score [SF-36 PCS], the European Quality-of-Life 5 Dimensions 5 Levels [EQ-5D-5L] including the EQ-5D Visual Analogue Score [VAS] and the EQ-health index, Patient's Global Assessment [PtGA], and pain VAS) were assessed descriptively through week 52.</p><p><strong>Results: </strong>Results demonstrated the synergistic improvements in synovitis and enthesitis, individually or combined, and improvements in PROs including HRQoL, for patients treated with IXE through week 52. An association between improvements in synovitis and enthesitis symptoms was observed through week 52. Patients who achieved resolution of both synovitis and enthesitis reported highest improvements in SF-36 PCS, EQ-5D-5L, pain VAS, and PtGA.</p><p><strong>Conclusion: </strong>Synergistic improvements in two key PsA domains, namely synovitis and enthesitis, and improvements in PROs including HRQoL, were observed for patients with PsA treated with IXE through week 52. These findings support PsA treatment goal aiming to achieve the lowest possible level of disease activity in all disease domains.</p><p><strong>Trial registration numbers: </strong>SPIRIT-P1 (NCT01695239), SPIRIT-P2 (NCT02349295), and SPIRIT-H2H (NCT03151551).</p>\",\"PeriodicalId\":21267,\"journal\":{\"name\":\"Rheumatology and Therapy\",\"volume\":\" \",\"pages\":\"381-395\"},\"PeriodicalIF\":2.9000,\"publicationDate\":\"2025-04-01\",\"publicationTypes\":\"Journal Article\",\"fieldsOfStudy\":null,\"isOpenAccess\":false,\"openAccessPdf\":\"https://www.ncbi.nlm.nih.gov/pmc/articles/PMC11920489/pdf/\",\"citationCount\":\"0\",\"resultStr\":null,\"platform\":\"Semanticscholar\",\"paperid\":null,\"PeriodicalName\":\"Rheumatology and Therapy\",\"FirstCategoryId\":\"3\",\"ListUrlMain\":\"https://doi.org/10.1007/s40744-025-00748-8\",\"RegionNum\":3,\"RegionCategory\":\"医学\",\"ArticlePicture\":[],\"TitleCN\":null,\"AbstractTextCN\":null,\"PMCID\":null,\"EPubDate\":\"2025/2/27 0:00:00\",\"PubModel\":\"Epub\",\"JCR\":\"Q2\",\"JCRName\":\"RHEUMATOLOGY\",\"Score\":null,\"Total\":0}","platform":"Semanticscholar","paperid":null,"PeriodicalName":"Rheumatology and Therapy","FirstCategoryId":"3","ListUrlMain":"https://doi.org/10.1007/s40744-025-00748-8","RegionNum":3,"RegionCategory":"医学","ArticlePicture":[],"TitleCN":null,"AbstractTextCN":null,"PMCID":null,"EPubDate":"2025/2/27 0:00:00","PubModel":"Epub","JCR":"Q2","JCRName":"RHEUMATOLOGY","Score":null,"Total":0}
引用次数: 0

摘要

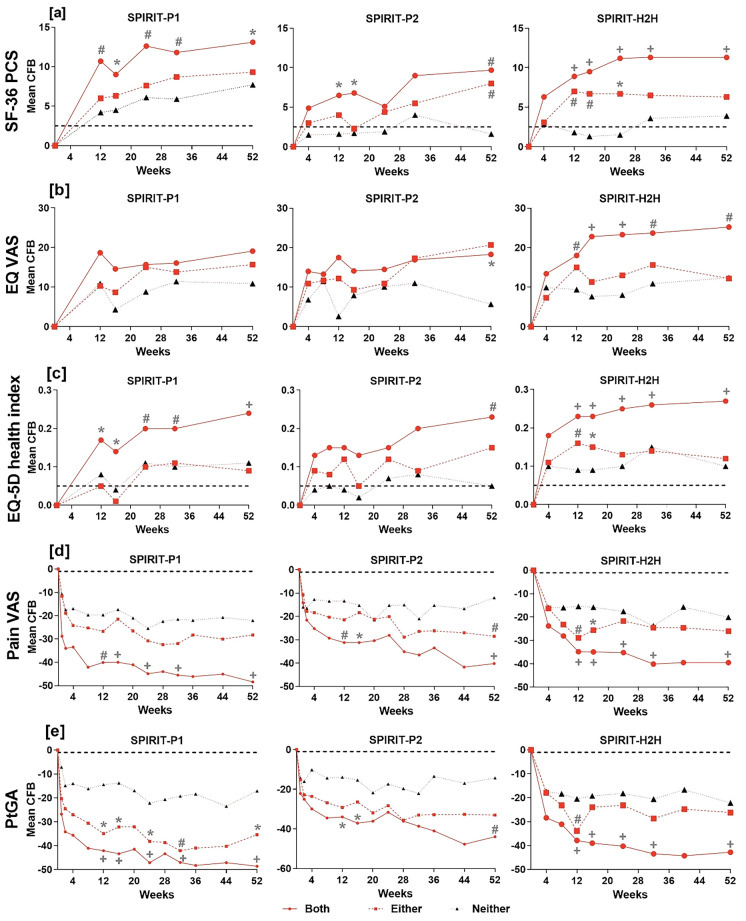
滑膜炎和肌炎是银屑病关节炎(PsA)的主要表现。这项描述性分析调查了单独和联合的滑膜炎和腱鞘炎的改善与患者报告的结果(PROs)的改善之间的关系,包括基线时出现滑膜炎和腱鞘炎并接受ixekizumab (IXE)治疗的SPIRIT-P1、SPIRIT-P2和SPIRIT-H2H试验中PsA患者的健康相关生活质量(HRQoL)的改善。方法:在这项事后分析中,数据来自两项III期研究(SPIRIT-P1和SPIRIT-P2)和一项IIIb/IV期研究(SPIRIT-H2H)中每4周接受IXE治疗的PsA患者,这些患者在基线时同时患有滑膜炎和鼻炎。通过第52周的Pearson分析探讨滑膜炎的改善和肌炎的改善之间的关系。到第52周,对两种、两种和两种情况的改善与PROs(36项简短健康调查物理成分评分[sf - 36pcs]、欧洲生活质量5维度5水平[EQ-5D- 5l],包括EQ-5D视觉模拟评分[VAS]和eq -健康指数、患者整体评估[PtGA]和疼痛VAS)的改善之间的关系进行描述性评估。结果:结果显示,到第52周,IXE治疗的患者滑膜炎和腱鞘炎(单独或联合)均有协同改善,包括HRQoL在内的PROs也有改善。在第52周观察到滑膜炎和腱鞘炎症状的改善之间的关联。滑膜炎和腱鞘炎均得到缓解的患者报告SF-36 PCS、EQ-5D-5L、疼痛VAS和PtGA的改善最大。结论:到第52周,IXE治疗的PsA患者在两个关键PsA域(滑膜炎和肌炎)和PROs(包括HRQoL)的改善中观察到协同改善。这些发现支持PsA治疗目标,即在所有疾病域中实现尽可能低的疾病活动水平。试验注册号:SPIRIT-P1 (NCT01695239)、SPIRIT-P2 (NCT02349295)和SPIRIT-H2H (NCT03151551)。
本文章由计算机程序翻译,如有差异,请以英文原文为准。

Synergistic Improvements in Synovitis, Enthesitis, and Patient-Reported Outcomes for Patients with Psoriatic Arthritis Treated with Ixekizumab in SPIRIT Trials.

Synergistic Improvements in Synovitis, Enthesitis, and Patient-Reported Outcomes for Patients with Psoriatic Arthritis Treated with Ixekizumab in SPIRIT Trials.

Synergistic Improvements in Synovitis, Enthesitis, and Patient-Reported Outcomes for Patients with Psoriatic Arthritis Treated with Ixekizumab in SPIRIT Trials.

Introduction: Synovitis and enthesitis are key manifestations in psoriatic arthritis (PsA). This descriptive analysis investigated the association between improvement in synovitis and enthesitis, individually and combined, and improvement in patient-reported outcomes (PROs) including health-related quality of life (HRQoL) for patients with PsA from the SPIRIT-P1, SPIRIT-P2, and SPIRIT-H2H trials who presented with synovitis and enthesitis at baseline and received ixekizumab (IXE) treatment.

Methods: In this post hoc analysis, data are presented from patients with PsA treated with IXE every 4 weeks from two phase III studies (SPIRIT-P1 and SPIRIT-P2) and one phase IIIb/IV study (SPIRIT-H2H) who had both synovitis and enthesitis at baseline. Associations between improvements in synovitis and improvements in enthesitis were explored using Pearson analyses through week 52. Associations between improvements in both, either, and neither condition with improvements in PROs (36-item Short Form Health Survey Physical Component Score [SF-36 PCS], the European Quality-of-Life 5 Dimensions 5 Levels [EQ-5D-5L] including the EQ-5D Visual Analogue Score [VAS] and the EQ-health index, Patient's Global Assessment [PtGA], and pain VAS) were assessed descriptively through week 52.

Results: Results demonstrated the synergistic improvements in synovitis and enthesitis, individually or combined, and improvements in PROs including HRQoL, for patients treated with IXE through week 52. An association between improvements in synovitis and enthesitis symptoms was observed through week 52. Patients who achieved resolution of both synovitis and enthesitis reported highest improvements in SF-36 PCS, EQ-5D-5L, pain VAS, and PtGA.

Conclusion: Synergistic improvements in two key PsA domains, namely synovitis and enthesitis, and improvements in PROs including HRQoL, were observed for patients with PsA treated with IXE through week 52. These findings support PsA treatment goal aiming to achieve the lowest possible level of disease activity in all disease domains.

Trial registration numbers: SPIRIT-P1 (NCT01695239), SPIRIT-P2 (NCT02349295), and SPIRIT-H2H (NCT03151551).

求助全文
通过发布文献求助,成功后即可免费获取论文全文。 去求助
来源期刊
Rheumatology and Therapy
Rheumatology and Therapy RHEUMATOLOGY-
CiteScore
6.00
自引率
5.30%
发文量
91
审稿时长
6 weeks
期刊介绍: Aims and Scope Rheumatology and Therapy is an international, open access, peer reviewed, rapid publication journal dedicated to the publication of high-quality clinical (all phases), observational, real-world and health outcomes research around the discovery, development, and use of rheumatologic therapies. Studies relating to diagnosis, pharmacoeconomics, public health, quality of life, and patient care, management, and education are also welcomed. Areas of focus include, but are not limited to, rheumatoid arthritis, gout, gouty arthritis, psoriatic arthritis, osteoarthritis, juvenile idiopathic/rheumatoid arthritis, systemic lupus erythematosus, axial spondyloarthritis, Pompe’s disease, inflammatory joint conditions, musculoskeletal conditions, systemic sclerosis, and fibromyalgia. The journal is of interest to a broad audience of healthcare professionals and publishes original research, reviews, case reports, trial protocols, communications and letters. The journal is read by a global audience and receives submissions from all over the world. Rheumatology and Therapy will consider all scientifically sound research be it positive, confirmatory or negative data. Submissions are welcomed whether they relate to an international and/or a country-specific audience, something that is crucially important when researchers are trying to target more specific patient populations. This inclusive approach allows the journal to assist in the dissemination of all scientifically and ethically sound research. Ethics and Disclosures The journal is a member of the Committee on Publication Ethics (COPE) and subscribes to its principles on how to deal with acts of misconduct thereby committing to investigate allegations of misconduct in order to ensure the integrity of research. Content in this journal is peer-reviewed (Single-blind). For more information on our publishing ethics policies, please see here: https://www.springer.com/gp/editorial-policies Rapid Publication The journal’s rapid publication timelines aim for a peer review decision within 2 weeks of submission. If an article is accepted it will be published online 3-4 weeks from acceptance. These rapid timelines are achieved through the combination of a dedicated in-house editorial team, who closely manage article workflow, and an extensive Editorial and Advisory Board who assist with rapid peer review. This allows the journal to support the rapid dissemination of research, whilst still providing robust peer review. Combined with the journal’s open access model this allows for the rapid and efficient communication of the latest research and reviews, allowing the advancement of rheumatologic therapies. Personal Service The journal’s dedicated in-house editorial team offer a personal “concierge service” meaning that authors will always have a personal point of contact able to update them on the status of their manuscript. The editorial team check all manuscripts to ensure that articles conform to the most recent COPE, GPP and ICMJE publishing guidelines. This supports the publication of ethically sound and transparent research. We also encourage pre-submission enquiries and are always happy to provide a confidential assessment of manuscripts. Digital Features Rheumatology and Therapy offers a range of additional features designed to increase the visibility, readership and educational value of the journal’s content. Each article is accompanied by key summary points, giving a time-efficient overview of the content to a wide readership. Articles may be accompanied by plain language summaries to assist readers who have some knowledge of, but not in-depth expertise in, the area to understand the scientific content and overall implications of the article. The journal also provides the option to include various types of digital features including animated abstracts, video abstracts, slide decks, audio slides, instructional videos, infographics, podcasts and animations. All additional features are peer reviewed to the same high standard as the article itself. If you consider that your paper would benefit from the inclusion of a digital feature, please let us know. Our editorial team are able to create high-quality slide decks and infographics in-house, and video abstracts through our partner Research Square, and would be happy to assist in any way we can. For further information about digital features, please contact the journal editor (see ‘Contact the Journal’ for email address), and see the ‘Guidelines for digital features and plain language summaries’ document under ‘Submission guidelines’. For examples of digital features please visit: https://springerhealthcare.com/expertise/publishing-digital-features/ Preprints We encourage posting of preprints of primary research manuscripts on preprint servers, authors'' or institutional websites, and open communications between researchers whether on community preprint servers or preprint commenting platforms. Posting of preprints is not considered prior publication and will not jeopardize consideration in our journals. Authors should disclose details of preprint posting during the submission process or at any other point during consideration in the journal. Once the manuscript is published, it is the author''s responsibility to ensure that the preprint record is updated with a publication reference, including the DOI and a URL link to the published version of the article on the journal website. Please see here for further information on preprint sharing: https://www.springer.com/gp/authors-editors/journal-author/journal-author-helpdesk/submission/1302#c16721550 Peer Review Process Upon submission, manuscripts are assessed by the editorial team to ensure they fit within the aims and scope of the journal and are also checked for plagiarism. All suitable submissions are then subject to a comprehensive single-blind peer review. Reviewers are selected based on their relevant expertise and publication history in the subject area. The journal has an extensive pool of editorial and advisory board members who have been selected to assist with peer review based on the afore-mentioned criteria. At least two extensive reviews are required to make the editorial decision. Where reviewer recommendations are conflicted, the editorial board will be contacted for further advice and a presiding decision. Manuscripts are then either accepted, rejected or authors are required to make major or minor revisions (both reviewer comments and editorial comments may need to be addressed). Once a revised manuscript is re-submitted, it is assessed along with the responses to reviewer comments and if it has been adequately revised it will be accepted for publication. Accepted manuscripts are then copyedited and typeset by the production team before online publication. Appeals against decisions following peer review are considered on a case-by-case basis and should be sent to the journal editor, and authors are welcome to make rebuttals against individual reviewer comments if appropriate. Considering the time and effort required for a detailed peer review we reward our regular reviewers with the opportunity to publish without publication fees (pending peer review) for every three reviews completed per calendar year. Copyright Rheumatology and Therapy is published under the Creative Commons Attribution-Noncommercial License, which allows users to read, copy, distribute, and make derivative works for non-commercial purposes from the material, as long as the author of the original work is cited. The author assigns the exclusive right to any commercial use of the article to Springer. For more information about the Creative Commons Attribution-Noncommercial License, click here: http://creativecommons.org/licenses/by-nc/4.0. Publication Fees Upon acceptance of an article, authors will be required to pay the mandatory Rapid Service Fee of €5,250/$6,000/£4,300. The journal will consider fee discounts and waivers for developing countries and this is decided on a case-by-case basis. Open Access All articles published by Rheumatology and Therapy are published open access. Contact For more information about the journal, including pre-submission enquiries, please contact charlotte.maddocks@springernature.com.
×
引用
GB/T 7714-2015
复制
MLA
复制
APA
复制
导出至
BibTeX EndNote RefMan NoteFirst NoteExpress
×
提示
您的信息不完整,为了账户安全,请先补充。
现在去补充
×
提示
您因"违规操作"
具体请查看互助需知
我知道了
×
提示
确定
请完成安全验证×
copy
已复制链接
快去分享给好友吧!
我知道了
右上角分享
点击右上角分享
0
联系我们:info@booksci.cn Book学术提供免费学术资源搜索服务,方便国内外学者检索中英文文献。致力于提供最便捷和优质的服务体验。 Copyright © 2023 布克学术 All rights reserved.
京ICP备2023020795号-1
ghs 京公网安备 11010802042870号
Book学术文献互助
Book学术文献互助群
群 号:604180095
Book学术官方微信