患者对远程康复与现场物理治疗的偏好:一个二元离散选择实验。

IF 1.8 Q3 REHABILITATION
Megan H Ross, Joshua Simmich, Thomas Magor, Trevor Russell
{"title":"患者对远程康复与现场物理治疗的偏好:一个二元离散选择实验。","authors":"Megan H Ross, Joshua Simmich, Thomas Magor, Trevor Russell","doi":"10.1002/pri.70042","DOIUrl":null,"url":null,"abstract":"<p><strong>Objective: </strong>To investigate the key factors that influence patients' preferences for telerehabilitation consultations in comparison to traditional in-person physiotherapy consultations and explore how these factors vary across different patient demographic characteristics.</p><p><strong>Methods: </strong>A binary discrete choice experiment was conducted with 152 participants who had participated in physiotherapy. The primary outcome measures were the attributes related to telerehabilitation and in-person consultations, including appointment duration, cost, distance, purpose, therapist, time of day, and wait time. Participants' preferences were assessed based on their choices in the binary choice experiment.</p><p><strong>Results: </strong>The study did not identify any attributes of consultations that clearly influenced patients' preference for telerehabilitation versus in-person physiotherapy. There was a trend towards preferring telerehabilitation with decreased appointment wait times and lower monetary costs. Patient demographics revealed that individuals with a single chronic health condition were clearly less inclined towards telerehabilitation (OR = 0.5, 95% CI 0.27-0.93), as were those located in outer regional locations (OR = 0.34, 95% CI 0.12-0.99). Additionally, respondents preferring a short 5 km travel distance showed markedly lower preference for telerehabilitation (β<sub>Telerehab×Distance_5km</sub> = -0.94, 95% CI -4.34 to -0.51, p < 0.001).</p><p><strong>Conclusion: </strong>To enable broader access to physiotherapy via telerehabilitation, clinicians, and policymakers should prioritize offering timely and cost-effective sessions. The results of this study can then inform the development of telerehabilitation offerings that are better matched to patient preferences.</p>","PeriodicalId":47243,"journal":{"name":"Physiotherapy Research International","volume":"30 2","pages":"e70042"},"PeriodicalIF":1.8000,"publicationDate":"2025-04-01","publicationTypes":"Journal Article","fieldsOfStudy":null,"isOpenAccess":false,"openAccessPdf":"https://www.ncbi.nlm.nih.gov/pmc/articles/PMC11863538/pdf/","citationCount":"0","resultStr":"{\"title\":\"Patient Preferences for Telerehabilitation Compared to In-Person Physiotherapy: A Binary Discrete Choice Experiment.\",\"authors\":\"Megan H Ross, Joshua Simmich, Thomas Magor, Trevor Russell\",\"doi\":\"10.1002/pri.70042\",\"DOIUrl\":null,\"url\":null,\"abstract\":\"<p><strong>Objective: </strong>To investigate the key factors that influence patients' preferences for telerehabilitation consultations in comparison to traditional in-person physiotherapy consultations and explore how these factors vary across different patient demographic characteristics.</p><p><strong>Methods: </strong>A binary discrete choice experiment was conducted with 152 participants who had participated in physiotherapy. The primary outcome measures were the attributes related to telerehabilitation and in-person consultations, including appointment duration, cost, distance, purpose, therapist, time of day, and wait time. Participants' preferences were assessed based on their choices in the binary choice experiment.</p><p><strong>Results: </strong>The study did not identify any attributes of consultations that clearly influenced patients' preference for telerehabilitation versus in-person physiotherapy. There was a trend towards preferring telerehabilitation with decreased appointment wait times and lower monetary costs. Patient demographics revealed that individuals with a single chronic health condition were clearly less inclined towards telerehabilitation (OR = 0.5, 95% CI 0.27-0.93), as were those located in outer regional locations (OR = 0.34, 95% CI 0.12-0.99). Additionally, respondents preferring a short 5 km travel distance showed markedly lower preference for telerehabilitation (β<sub>Telerehab×Distance_5km</sub> = -0.94, 95% CI -4.34 to -0.51, p < 0.001).</p><p><strong>Conclusion: </strong>To enable broader access to physiotherapy via telerehabilitation, clinicians, and policymakers should prioritize offering timely and cost-effective sessions. The results of this study can then inform the development of telerehabilitation offerings that are better matched to patient preferences.</p>\",\"PeriodicalId\":47243,\"journal\":{\"name\":\"Physiotherapy Research International\",\"volume\":\"30 2\",\"pages\":\"e70042\"},\"PeriodicalIF\":1.8000,\"publicationDate\":\"2025-04-01\",\"publicationTypes\":\"Journal Article\",\"fieldsOfStudy\":null,\"isOpenAccess\":false,\"openAccessPdf\":\"https://www.ncbi.nlm.nih.gov/pmc/articles/PMC11863538/pdf/\",\"citationCount\":\"0\",\"resultStr\":null,\"platform\":\"Semanticscholar\",\"paperid\":null,\"PeriodicalName\":\"Physiotherapy Research International\",\"FirstCategoryId\":\"1085\",\"ListUrlMain\":\"https://doi.org/10.1002/pri.70042\",\"RegionNum\":0,\"RegionCategory\":null,\"ArticlePicture\":[],\"TitleCN\":null,\"AbstractTextCN\":null,\"PMCID\":null,\"EPubDate\":\"\",\"PubModel\":\"\",\"JCR\":\"Q3\",\"JCRName\":\"REHABILITATION\",\"Score\":null,\"Total\":0}","platform":"Semanticscholar","paperid":null,"PeriodicalName":"Physiotherapy Research International","FirstCategoryId":"1085","ListUrlMain":"https://doi.org/10.1002/pri.70042","RegionNum":0,"RegionCategory":null,"ArticlePicture":[],"TitleCN":null,"AbstractTextCN":null,"PMCID":null,"EPubDate":"","PubModel":"","JCR":"Q3","JCRName":"REHABILITATION","Score":null,"Total":0}
引用次数: 0

摘要

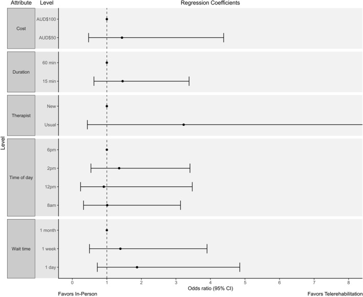
目的:探讨影响远程康复咨询与传统面对面物理治疗咨询患者偏好的关键因素,并探讨这些因素在不同患者人口统计学特征中的差异。方法:采用二元离散选择法对152例接受过物理治疗的患者进行实验。主要结果测量是与远程康复和面对面咨询相关的属性,包括预约时间、费用、距离、目的、治疗师、一天中的时间和等待时间。参与者的偏好是根据他们在二元选择实验中的选择来评估的。结果:该研究没有发现任何明显影响患者对远程康复和现场物理治疗偏好的咨询属性。有一种倾向于远程康复的趋势,因为远程康复缩短了预约等待时间,降低了费用。患者人口统计数据显示,患有单一慢性健康状况的个体明显不太倾向于远程康复(OR = 0.5, 95% CI 0.27-0.93),位于外部区域位置的个体也是如此(OR = 0.34, 95% CI 0.12-0.99)。此外,喜欢5公里短途旅行的受访者对远程康复的偏好明显较低(βTelerehab×Distance_5km = -0.94, 95% CI -4.34至-0.51,p)。结论:为了通过远程康复更广泛地获得物理治疗,临床医生和政策制定者应优先提供及时和具有成本效益的会议。这项研究的结果可以为开发更符合患者偏好的远程康复服务提供信息。
本文章由计算机程序翻译,如有差异,请以英文原文为准。

Patient Preferences for Telerehabilitation Compared to In-Person Physiotherapy: A Binary Discrete Choice Experiment.

Patient Preferences for Telerehabilitation Compared to In-Person Physiotherapy: A Binary Discrete Choice Experiment.

Patient Preferences for Telerehabilitation Compared to In-Person Physiotherapy: A Binary Discrete Choice Experiment.

Patient Preferences for Telerehabilitation Compared to In-Person Physiotherapy: A Binary Discrete Choice Experiment.

Objective: To investigate the key factors that influence patients' preferences for telerehabilitation consultations in comparison to traditional in-person physiotherapy consultations and explore how these factors vary across different patient demographic characteristics.

Methods: A binary discrete choice experiment was conducted with 152 participants who had participated in physiotherapy. The primary outcome measures were the attributes related to telerehabilitation and in-person consultations, including appointment duration, cost, distance, purpose, therapist, time of day, and wait time. Participants' preferences were assessed based on their choices in the binary choice experiment.

Results: The study did not identify any attributes of consultations that clearly influenced patients' preference for telerehabilitation versus in-person physiotherapy. There was a trend towards preferring telerehabilitation with decreased appointment wait times and lower monetary costs. Patient demographics revealed that individuals with a single chronic health condition were clearly less inclined towards telerehabilitation (OR = 0.5, 95% CI 0.27-0.93), as were those located in outer regional locations (OR = 0.34, 95% CI 0.12-0.99). Additionally, respondents preferring a short 5 km travel distance showed markedly lower preference for telerehabilitation (βTelerehab×Distance_5km = -0.94, 95% CI -4.34 to -0.51, p < 0.001).

Conclusion: To enable broader access to physiotherapy via telerehabilitation, clinicians, and policymakers should prioritize offering timely and cost-effective sessions. The results of this study can then inform the development of telerehabilitation offerings that are better matched to patient preferences.

求助全文
通过发布文献求助,成功后即可免费获取论文全文。 去求助
来源期刊
CiteScore
3.30
自引率
5.90%
发文量
53
期刊介绍: Physiotherapy Research International is an international peer reviewed journal dedicated to the exchange of knowledge that is directly relevant to specialist areas of physiotherapy theory, practice, and research. Our aim is to promote a high level of scholarship and build on the current evidence base to inform the advancement of the physiotherapy profession. We publish original research on a wide range of topics e.g. Primary research testing new physiotherapy treatments; methodological research; measurement and outcome research and qualitative research of interest to researchers, clinicians and educators. Further, we aim to publish high quality papers that represent the range of cultures and settings where physiotherapy services are delivered. We attract a wide readership from physiotherapists and others working in diverse clinical and academic settings. We aim to promote an international debate amongst the profession about current best evidence based practice. Papers are directed primarily towards the physiotherapy profession, but can be relevant to a wide range of professional groups. The growth of interdisciplinary research is also key to our aims and scope, and we encourage relevant submissions from other professional groups. The journal actively encourages submissions which utilise a breadth of different methodologies and research designs to facilitate addressing key questions related to the physiotherapy practice. PRI seeks to encourage good quality topical debates on a range of relevant issues and promote critical reflection on decision making and implementation of physiotherapy interventions.
×
引用
GB/T 7714-2015
复制
MLA
复制
APA
复制
导出至
BibTeX EndNote RefMan NoteFirst NoteExpress
×
提示
您的信息不完整,为了账户安全,请先补充。
现在去补充
×
提示
您因"违规操作"
具体请查看互助需知
我知道了
×
提示
确定
请完成安全验证×
copy
已复制链接
快去分享给好友吧!
我知道了
右上角分享
点击右上角分享
0
联系我们:info@booksci.cn Book学术提供免费学术资源搜索服务,方便国内外学者检索中英文文献。致力于提供最便捷和优质的服务体验。 Copyright © 2023 布克学术 All rights reserved.
京ICP备2023020795号-1
ghs 京公网安备 11010802042870号
Book学术文献互助
Book学术文献互助群
群 号:604180095
Book学术官方微信