多遗传糖皮质激素暴露评分和HPA轴相关DNA甲基化与妊娠表观遗传衰老有关。

IF 3.2 3区 生物学 Q3 BIOCHEMISTRY & MOLECULAR BIOLOGY
Epigenetics Pub Date : 2025-12-01 Epub Date: 2025-02-25 DOI:10.1080/15592294.2025.2471129
Allison A Appleton
{"title":"多遗传糖皮质激素暴露评分和HPA轴相关DNA甲基化与妊娠表观遗传衰老有关。","authors":"Allison A Appleton","doi":"10.1080/15592294.2025.2471129","DOIUrl":null,"url":null,"abstract":"<p><p>Gestational epigenetic aging (GEA) is a novel approach for characterizing associations between prenatal exposures and postnatal risks. Psychosocial adversity in pregnancy may influence GEA, but the molecular mechanisms are not well understood. DNA methylation to glucocorticoid regulation and hypothalamic-pituitary-adrenal (HPA) axis genes are implicated but have not been fully examined in association with GEA. This study investigated whether a polyepigenetic glucocorticoid exposure score (PGES) and HPA axis gene (<i>NR3C1, HSD11B2, FKBP5</i>) methylation were associated with GEA, and whether associations were sex-specific. Participants were from a prospective cohort of racial/ethnic diverse and socially disadvantaged pregnant women and infants (<i>n</i> = 200). DNA methylation variables were estimated using umbilical cord blood. PGES was derived with CpGs shown to be sensitive to synthetic dexamethasone exposure. <i>NR3C1</i>, <i>HSD11B2</i>, and <i>FKBP5</i> methylation was summarized via factor analysis. We found that PGES (β = -1.12, SE = 0.47, <i>p</i> = 0.02) and several <i>NR3C1</i> and <i>FKBP5</i> factor scores were associated with decelerated GEA (all <i>p</i> < 0.05). A significant sex interaction was observed for <i>FKBP5</i> factor score 3 (β = -0.34, SE = 0.15, <i>p</i> = 0.02) suggesting decelerated GEA for males but not females. This study showed that glucocorticoid regulation-related DNA methylation was associated with a decelerated aging phenotype at birth that might indicate a neonatal risk.</p>","PeriodicalId":11767,"journal":{"name":"Epigenetics","volume":"20 1","pages":"2471129"},"PeriodicalIF":3.2000,"publicationDate":"2025-12-01","publicationTypes":"Journal Article","fieldsOfStudy":null,"isOpenAccess":false,"openAccessPdf":"https://www.ncbi.nlm.nih.gov/pmc/articles/PMC11866962/pdf/","citationCount":"0","resultStr":"{\"title\":\"A polyepigenetic glucocorticoid exposure score and HPA axis-related DNA methylation are associated with gestational epigenetic aging.\",\"authors\":\"Allison A Appleton\",\"doi\":\"10.1080/15592294.2025.2471129\",\"DOIUrl\":null,\"url\":null,\"abstract\":\"<p><p>Gestational epigenetic aging (GEA) is a novel approach for characterizing associations between prenatal exposures and postnatal risks. Psychosocial adversity in pregnancy may influence GEA, but the molecular mechanisms are not well understood. DNA methylation to glucocorticoid regulation and hypothalamic-pituitary-adrenal (HPA) axis genes are implicated but have not been fully examined in association with GEA. This study investigated whether a polyepigenetic glucocorticoid exposure score (PGES) and HPA axis gene (<i>NR3C1, HSD11B2, FKBP5</i>) methylation were associated with GEA, and whether associations were sex-specific. Participants were from a prospective cohort of racial/ethnic diverse and socially disadvantaged pregnant women and infants (<i>n</i> = 200). DNA methylation variables were estimated using umbilical cord blood. PGES was derived with CpGs shown to be sensitive to synthetic dexamethasone exposure. <i>NR3C1</i>, <i>HSD11B2</i>, and <i>FKBP5</i> methylation was summarized via factor analysis. We found that PGES (β = -1.12, SE = 0.47, <i>p</i> = 0.02) and several <i>NR3C1</i> and <i>FKBP5</i> factor scores were associated with decelerated GEA (all <i>p</i> < 0.05). A significant sex interaction was observed for <i>FKBP5</i> factor score 3 (β = -0.34, SE = 0.15, <i>p</i> = 0.02) suggesting decelerated GEA for males but not females. This study showed that glucocorticoid regulation-related DNA methylation was associated with a decelerated aging phenotype at birth that might indicate a neonatal risk.</p>\",\"PeriodicalId\":11767,\"journal\":{\"name\":\"Epigenetics\",\"volume\":\"20 1\",\"pages\":\"2471129\"},\"PeriodicalIF\":3.2000,\"publicationDate\":\"2025-12-01\",\"publicationTypes\":\"Journal Article\",\"fieldsOfStudy\":null,\"isOpenAccess\":false,\"openAccessPdf\":\"https://www.ncbi.nlm.nih.gov/pmc/articles/PMC11866962/pdf/\",\"citationCount\":\"0\",\"resultStr\":null,\"platform\":\"Semanticscholar\",\"paperid\":null,\"PeriodicalName\":\"Epigenetics\",\"FirstCategoryId\":\"99\",\"ListUrlMain\":\"https://doi.org/10.1080/15592294.2025.2471129\",\"RegionNum\":3,\"RegionCategory\":\"生物学\",\"ArticlePicture\":[],\"TitleCN\":null,\"AbstractTextCN\":null,\"PMCID\":null,\"EPubDate\":\"2025/2/25 0:00:00\",\"PubModel\":\"Epub\",\"JCR\":\"Q3\",\"JCRName\":\"BIOCHEMISTRY & MOLECULAR BIOLOGY\",\"Score\":null,\"Total\":0}","platform":"Semanticscholar","paperid":null,"PeriodicalName":"Epigenetics","FirstCategoryId":"99","ListUrlMain":"https://doi.org/10.1080/15592294.2025.2471129","RegionNum":3,"RegionCategory":"生物学","ArticlePicture":[],"TitleCN":null,"AbstractTextCN":null,"PMCID":null,"EPubDate":"2025/2/25 0:00:00","PubModel":"Epub","JCR":"Q3","JCRName":"BIOCHEMISTRY & MOLECULAR BIOLOGY","Score":null,"Total":0}
引用次数: 0

摘要

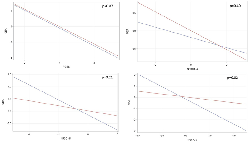
妊娠表观遗传老化(GEA)是表征产前暴露和产后风险之间关系的一种新方法。妊娠期社会心理逆境可能影响GEA,但分子机制尚不清楚。DNA甲基化与糖皮质激素调节和下丘脑-垂体-肾上腺(HPA)轴基因有关,但尚未充分研究与GEA的关系。本研究探讨了多遗传糖皮质激素暴露评分(PGES)和HPA轴基因(NR3C1, HSD11B2, FKBP5)甲基化是否与GEA相关,以及这种关联是否具有性别特异性。参与者来自种族/民族多样化和社会弱势孕妇和婴儿的前瞻性队列(n = 200)。使用脐带血估计DNA甲基化变量。PGES来源于CpGs, CpGs对合成地塞米松暴露敏感。通过因子分析总结NR3C1、HSD11B2和FKBP5的甲基化情况。我们发现PGES (β = -1.12, SE = 0.47, p = 0.02)和几个NR3C1和FKBP5因子评分与GEA减速相关(所有p FKBP5因子评分为3 (β = -0.34, SE = 0.15, p = 0.02)表明男性GEA减速而女性没有。这项研究表明,糖皮质激素调节相关的DNA甲基化与出生时衰老表型的减慢有关,这可能表明新生儿风险。
本文章由计算机程序翻译,如有差异,请以英文原文为准。

A polyepigenetic glucocorticoid exposure score and HPA axis-related DNA methylation are associated with gestational epigenetic aging.

A polyepigenetic glucocorticoid exposure score and HPA axis-related DNA methylation are associated with gestational epigenetic aging.

A polyepigenetic glucocorticoid exposure score and HPA axis-related DNA methylation are associated with gestational epigenetic aging.

Gestational epigenetic aging (GEA) is a novel approach for characterizing associations between prenatal exposures and postnatal risks. Psychosocial adversity in pregnancy may influence GEA, but the molecular mechanisms are not well understood. DNA methylation to glucocorticoid regulation and hypothalamic-pituitary-adrenal (HPA) axis genes are implicated but have not been fully examined in association with GEA. This study investigated whether a polyepigenetic glucocorticoid exposure score (PGES) and HPA axis gene (NR3C1, HSD11B2, FKBP5) methylation were associated with GEA, and whether associations were sex-specific. Participants were from a prospective cohort of racial/ethnic diverse and socially disadvantaged pregnant women and infants (n = 200). DNA methylation variables were estimated using umbilical cord blood. PGES was derived with CpGs shown to be sensitive to synthetic dexamethasone exposure. NR3C1, HSD11B2, and FKBP5 methylation was summarized via factor analysis. We found that PGES (β = -1.12, SE = 0.47, p = 0.02) and several NR3C1 and FKBP5 factor scores were associated with decelerated GEA (all p < 0.05). A significant sex interaction was observed for FKBP5 factor score 3 (β = -0.34, SE = 0.15, p = 0.02) suggesting decelerated GEA for males but not females. This study showed that glucocorticoid regulation-related DNA methylation was associated with a decelerated aging phenotype at birth that might indicate a neonatal risk.

求助全文
通过发布文献求助,成功后即可免费获取论文全文。 去求助
来源期刊
Epigenetics
Epigenetics 生物-生化与分子生物学
CiteScore
6.80
自引率
2.70%
发文量
82
审稿时长
3-8 weeks
期刊介绍: Epigenetics publishes peer-reviewed original research and review articles that provide an unprecedented forum where epigenetic mechanisms and their role in diverse biological processes can be revealed, shared, and discussed. Epigenetics research studies heritable changes in gene expression caused by mechanisms others than the modification of the DNA sequence. Epigenetics therefore plays critical roles in a variety of biological systems, diseases, and disciplines. Topics of interest include (but are not limited to): DNA methylation Nucleosome positioning and modification Gene silencing Imprinting Nuclear reprogramming Chromatin remodeling Non-coding RNA Non-histone chromosomal elements Dosage compensation Nuclear organization Epigenetic therapy and diagnostics Nutrition and environmental epigenetics Cancer epigenetics Neuroepigenetics
×
引用
GB/T 7714-2015
复制
MLA
复制
APA
复制
导出至
BibTeX EndNote RefMan NoteFirst NoteExpress
×
提示
您的信息不完整,为了账户安全,请先补充。
现在去补充
×
提示
您因"违规操作"
具体请查看互助需知
我知道了
×
提示
确定
请完成安全验证×
copy
已复制链接
快去分享给好友吧!
我知道了
右上角分享
点击右上角分享
0
联系我们:info@booksci.cn Book学术提供免费学术资源搜索服务,方便国内外学者检索中英文文献。致力于提供最便捷和优质的服务体验。 Copyright © 2023 布克学术 All rights reserved.
京ICP备2023020795号-1
ghs 京公网安备 11010802042870号
Book学术文献互助
Book学术文献互助群
群 号:604180095
Book学术官方微信