浸润性乳腺癌的磁共振弹性成像:评估预后因素和治疗反应。

IF 2.2 4区 医学 Q2 RADIOLOGY, NUCLEAR MEDICINE & MEDICAL IMAGING
Jin Joo Kim, Jin You Kim, Yeon Joo Jeong, Suk Kim, In Sook Lee, Nam Kyung Lee, Taewoo Kang, Heeseung Park, Seokwon Lee
{"title":"浸润性乳腺癌的磁共振弹性成像:评估预后因素和治疗反应。","authors":"Jin Joo Kim, Jin You Kim, Yeon Joo Jeong, Suk Kim, In Sook Lee, Nam Kyung Lee, Taewoo Kang, Heeseung Park, Seokwon Lee","doi":"10.3390/tomography11020018","DOIUrl":null,"url":null,"abstract":"<p><p><b>Objectives:</b> To assess the elasticity values in breast tissues using magnetic resonance elastography (MRE) and examine the association between elasticity values of invasive breast cancer with prognostic factors and the pathologic response to neoadjuvant systemic therapy (NST). <b>Methods:</b> A total of 57 patients (mean age, 54.1 years) with invasive breast cancers larger than 2 cm in diameter on ultrasound were prospectively enrolled. The elasticity values (mean, minimum, and maximum) of invasive breast cancers, normal fibroglandular tissues, and normal fat tissues were measured via MRE using a commercially available acoustic driver and compared. Elasticity values of breast cancers were compared according to prognostic factors and pathologic responses in patients who received NST before surgery. Receiver operating curve analysis was performed to evaluate the predictive efficacy of elasticity values in terms of pathological response. <b>Results:</b> Among the 57 patients, the mean elasticity value of invasive breast cancers was significantly higher than that of normal fibroglandular tissue and normal fat tissue (7.90 ± 5.80 kPa vs. 2.54 ± 0.80 kPa vs. 1.32 ± 0.33 kPa, all <i>p</i>s < 0.001). Invasive breast cancers with a large diameter (>4 cm) exhibited significantly higher mean elasticity values relative to tumors with a small diameter (≤4 cm) (11.65 ± 7.22 kPa vs. 5.87 ± 3.58 kPa, <i>p</i> = 0.002). Among 24 patients who received NST, mean, minimum, and maximum elasticity values significantly differed between the pathologic complete response (pCR) and non-pCR groups (all <i>p</i>s < 0.05). For the mean elasticity value, the area under the curve value for distinguishing pCR and non-pCR groups was 0.880 (95% confidence interval, 0.682, 0.976; <i>p</i> < 0.001). <b>Conclusions:</b> The elasticity values of invasive breast cancers measured via breast MRE showed a positive correlation with tumor size and showed potential in predicting the therapeutic response in patients receiving NST.</p>","PeriodicalId":51330,"journal":{"name":"Tomography","volume":"11 2","pages":""},"PeriodicalIF":2.2000,"publicationDate":"2025-02-14","publicationTypes":"Journal Article","fieldsOfStudy":null,"isOpenAccess":false,"openAccessPdf":"https://www.ncbi.nlm.nih.gov/pmc/articles/PMC11860845/pdf/","citationCount":"0","resultStr":"{\"title\":\"Magnetic Resonance Elastography of Invasive Breast Cancer: Evaluating Prognostic Factors and Treatment Response.\",\"authors\":\"Jin Joo Kim, Jin You Kim, Yeon Joo Jeong, Suk Kim, In Sook Lee, Nam Kyung Lee, Taewoo Kang, Heeseung Park, Seokwon Lee\",\"doi\":\"10.3390/tomography11020018\",\"DOIUrl\":null,\"url\":null,\"abstract\":\"<p><p><b>Objectives:</b> To assess the elasticity values in breast tissues using magnetic resonance elastography (MRE) and examine the association between elasticity values of invasive breast cancer with prognostic factors and the pathologic response to neoadjuvant systemic therapy (NST). <b>Methods:</b> A total of 57 patients (mean age, 54.1 years) with invasive breast cancers larger than 2 cm in diameter on ultrasound were prospectively enrolled. The elasticity values (mean, minimum, and maximum) of invasive breast cancers, normal fibroglandular tissues, and normal fat tissues were measured via MRE using a commercially available acoustic driver and compared. Elasticity values of breast cancers were compared according to prognostic factors and pathologic responses in patients who received NST before surgery. Receiver operating curve analysis was performed to evaluate the predictive efficacy of elasticity values in terms of pathological response. <b>Results:</b> Among the 57 patients, the mean elasticity value of invasive breast cancers was significantly higher than that of normal fibroglandular tissue and normal fat tissue (7.90 ± 5.80 kPa vs. 2.54 ± 0.80 kPa vs. 1.32 ± 0.33 kPa, all <i>p</i>s < 0.001). Invasive breast cancers with a large diameter (>4 cm) exhibited significantly higher mean elasticity values relative to tumors with a small diameter (≤4 cm) (11.65 ± 7.22 kPa vs. 5.87 ± 3.58 kPa, <i>p</i> = 0.002). Among 24 patients who received NST, mean, minimum, and maximum elasticity values significantly differed between the pathologic complete response (pCR) and non-pCR groups (all <i>p</i>s < 0.05). For the mean elasticity value, the area under the curve value for distinguishing pCR and non-pCR groups was 0.880 (95% confidence interval, 0.682, 0.976; <i>p</i> < 0.001). <b>Conclusions:</b> The elasticity values of invasive breast cancers measured via breast MRE showed a positive correlation with tumor size and showed potential in predicting the therapeutic response in patients receiving NST.</p>\",\"PeriodicalId\":51330,\"journal\":{\"name\":\"Tomography\",\"volume\":\"11 2\",\"pages\":\"\"},\"PeriodicalIF\":2.2000,\"publicationDate\":\"2025-02-14\",\"publicationTypes\":\"Journal Article\",\"fieldsOfStudy\":null,\"isOpenAccess\":false,\"openAccessPdf\":\"https://www.ncbi.nlm.nih.gov/pmc/articles/PMC11860845/pdf/\",\"citationCount\":\"0\",\"resultStr\":null,\"platform\":\"Semanticscholar\",\"paperid\":null,\"PeriodicalName\":\"Tomography\",\"FirstCategoryId\":\"3\",\"ListUrlMain\":\"https://doi.org/10.3390/tomography11020018\",\"RegionNum\":4,\"RegionCategory\":\"医学\",\"ArticlePicture\":[],\"TitleCN\":null,\"AbstractTextCN\":null,\"PMCID\":null,\"EPubDate\":\"\",\"PubModel\":\"\",\"JCR\":\"Q2\",\"JCRName\":\"RADIOLOGY, NUCLEAR MEDICINE & MEDICAL IMAGING\",\"Score\":null,\"Total\":0}","platform":"Semanticscholar","paperid":null,"PeriodicalName":"Tomography","FirstCategoryId":"3","ListUrlMain":"https://doi.org/10.3390/tomography11020018","RegionNum":4,"RegionCategory":"医学","ArticlePicture":[],"TitleCN":null,"AbstractTextCN":null,"PMCID":null,"EPubDate":"","PubModel":"","JCR":"Q2","JCRName":"RADIOLOGY, NUCLEAR MEDICINE & MEDICAL IMAGING","Score":null,"Total":0}
引用次数: 0

摘要

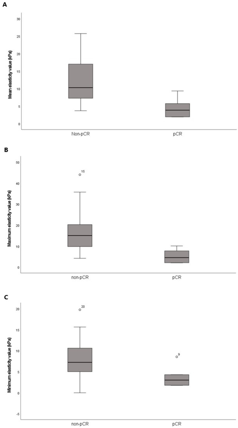
目的:利用磁共振弹性成像(MRE)评估乳腺组织的弹性值,探讨浸润性乳腺癌弹性值与预后因素和新辅助全身治疗(NST)的病理反应之间的关系。方法:前瞻性纳入57例超声检查直径大于2cm的浸润性乳腺癌患者(平均年龄54.1岁)。采用商用声学驱动器通过MRE测量浸润性乳腺癌、正常纤维腺组织和正常脂肪组织的弹性值(平均值、最小值和最大值)并进行比较。根据术前接受NST的患者的预后因素和病理反应比较乳腺癌的弹性值。采用受试者工作曲线分析来评价弹性值对病理反应的预测作用。结果:57例浸润性乳腺癌患者的平均弹性值明显高于正常纤维腺组织和正常脂肪组织(7.90±5.80 kPa vs. 2.54±0.80 kPa vs. 1.32±0.33 kPa, ps均< 0.001)。大直径浸润性乳腺癌(> ~ 4cm)的平均弹性值明显高于小直径肿瘤(≤4cm)(11.65±7.22 kPa vs. 5.87±3.58 kPa, p = 0.002)。在24例接受NST治疗的患者中,病理完全缓解(pCR)组和非pCR组的平均、最小和最大弹性值差异有统计学意义(均p < 0.05)。对于平均弹性值,区分pCR组和非pCR组的曲线下面积为0.880(95%可信区间为0.682,0.976;P < 0.001)。结论:通过乳腺MRE测量的浸润性乳腺癌的弹性值与肿瘤大小呈正相关,具有预测NST患者治疗反应的潜力。
本文章由计算机程序翻译,如有差异,请以英文原文为准。

Magnetic Resonance Elastography of Invasive Breast Cancer: Evaluating Prognostic Factors and Treatment Response.

Magnetic Resonance Elastography of Invasive Breast Cancer: Evaluating Prognostic Factors and Treatment Response.

Magnetic Resonance Elastography of Invasive Breast Cancer: Evaluating Prognostic Factors and Treatment Response.

Magnetic Resonance Elastography of Invasive Breast Cancer: Evaluating Prognostic Factors and Treatment Response.

Objectives: To assess the elasticity values in breast tissues using magnetic resonance elastography (MRE) and examine the association between elasticity values of invasive breast cancer with prognostic factors and the pathologic response to neoadjuvant systemic therapy (NST). Methods: A total of 57 patients (mean age, 54.1 years) with invasive breast cancers larger than 2 cm in diameter on ultrasound were prospectively enrolled. The elasticity values (mean, minimum, and maximum) of invasive breast cancers, normal fibroglandular tissues, and normal fat tissues were measured via MRE using a commercially available acoustic driver and compared. Elasticity values of breast cancers were compared according to prognostic factors and pathologic responses in patients who received NST before surgery. Receiver operating curve analysis was performed to evaluate the predictive efficacy of elasticity values in terms of pathological response. Results: Among the 57 patients, the mean elasticity value of invasive breast cancers was significantly higher than that of normal fibroglandular tissue and normal fat tissue (7.90 ± 5.80 kPa vs. 2.54 ± 0.80 kPa vs. 1.32 ± 0.33 kPa, all ps < 0.001). Invasive breast cancers with a large diameter (>4 cm) exhibited significantly higher mean elasticity values relative to tumors with a small diameter (≤4 cm) (11.65 ± 7.22 kPa vs. 5.87 ± 3.58 kPa, p = 0.002). Among 24 patients who received NST, mean, minimum, and maximum elasticity values significantly differed between the pathologic complete response (pCR) and non-pCR groups (all ps < 0.05). For the mean elasticity value, the area under the curve value for distinguishing pCR and non-pCR groups was 0.880 (95% confidence interval, 0.682, 0.976; p < 0.001). Conclusions: The elasticity values of invasive breast cancers measured via breast MRE showed a positive correlation with tumor size and showed potential in predicting the therapeutic response in patients receiving NST.

求助全文
通过发布文献求助,成功后即可免费获取论文全文。 去求助
来源期刊
Tomography
Tomography Medicine-Radiology, Nuclear Medicine and Imaging
CiteScore
2.70
自引率
10.50%
发文量
222
期刊介绍: TomographyTM publishes basic (technical and pre-clinical) and clinical scientific articles which involve the advancement of imaging technologies. Tomography encompasses studies that use single or multiple imaging modalities including for example CT, US, PET, SPECT, MR and hyperpolarization technologies, as well as optical modalities (i.e. bioluminescence, photoacoustic, endomicroscopy, fiber optic imaging and optical computed tomography) in basic sciences, engineering, preclinical and clinical medicine. Tomography also welcomes studies involving exploration and refinement of contrast mechanisms and image-derived metrics within and across modalities toward the development of novel imaging probes for image-based feedback and intervention. The use of imaging in biology and medicine provides unparalleled opportunities to noninvasively interrogate tissues to obtain real-time dynamic and quantitative information required for diagnosis and response to interventions and to follow evolving pathological conditions. As multi-modal studies and the complexities of imaging technologies themselves are ever increasing to provide advanced information to scientists and clinicians. Tomography provides a unique publication venue allowing investigators the opportunity to more precisely communicate integrated findings related to the diverse and heterogeneous features associated with underlying anatomical, physiological, functional, metabolic and molecular genetic activities of normal and diseased tissue. Thus Tomography publishes peer-reviewed articles which involve the broad use of imaging of any tissue and disease type including both preclinical and clinical investigations. In addition, hardware/software along with chemical and molecular probe advances are welcome as they are deemed to significantly contribute towards the long-term goal of improving the overall impact of imaging on scientific and clinical discovery.
×
引用
GB/T 7714-2015
复制
MLA
复制
APA
复制
导出至
BibTeX EndNote RefMan NoteFirst NoteExpress
×
提示
您的信息不完整,为了账户安全,请先补充。
现在去补充
×
提示
您因"违规操作"
具体请查看互助需知
我知道了
×
提示
确定
请完成安全验证×
copy
已复制链接
快去分享给好友吧!
我知道了
右上角分享
点击右上角分享
0
联系我们:info@booksci.cn Book学术提供免费学术资源搜索服务,方便国内外学者检索中英文文献。致力于提供最便捷和优质的服务体验。 Copyright © 2023 布克学术 All rights reserved.
京ICP备2023020795号-1
ghs 京公网安备 11010802042870号
Book学术文献互助
Book学术文献互助群
群 号:604180095
Book学术官方微信