脉冲振荡测量法在检测保存比率受损肺活量(PRISm)中的作用。

IF 2.3 Q3 RESPIRATORY SYSTEM
Chalerm Liwsrisakun, Warawut Chaiwong, Athavudh Deesomchok, Pilaiporn Duangjit, Chaicharn Pothirat
{"title":"脉冲振荡测量法在检测保存比率受损肺活量(PRISm)中的作用。","authors":"Chalerm Liwsrisakun, Warawut Chaiwong, Athavudh Deesomchok, Pilaiporn Duangjit, Chaicharn Pothirat","doi":"10.3390/arm93010002","DOIUrl":null,"url":null,"abstract":"<p><strong>Background: </strong>Information is limited regarding the role of impulse oscillometry (IOS) for the detection of preserved ratio impaired spirometry (PRISm). Therefore, we aimed to study the diagnostic ability of IOS in differentiating between PRISm and healthy subjects.</p><p><strong>Methods: </strong>This retrospective data collection was done at the Lung Health Center, Faculty of Medicine, Chiang Mai University, Thailand between July 2019 and April 2022. The potential diagnostic possibilities of difference in resistance at 5 Hz (R5) and resistance at 20 Hz (R20) (R5-R20) for PRISm detection were analyzed.</p><p><strong>Results: </strong>The prevalence of PRISm was higher when using the fixed ratio (FR) criteria (FEV<sub>1</sub>/FVC ≥0.7 with FEV<sub>1</sub> < 80% of predicted value) compared to the lower limit of normal (LLN) criteria (FEV<sub>1</sub>/FVC ≥ LLN and FEV<sub>1</sub> < LLN) (10.0% vs. 4.2%). The %prediction for R5-R20 provided an acceptable area under the curve (AUC) for PRISm, defined by the LLN and the FR criteria (AuROC = 0.75 (95%CI; 0.64, 0.85) and 0.72 (95%CI; 0.63, 0.81), respectively). The cut-off value of %predicted R5-R20 ≥120% resulted in the highest sensitivity and specificity for detecting PRISm.</p><p><strong>Conclusions: </strong>The %predicted of R5-R20 ≥ 120% showed an acceptable performance for PRISm detection and PRISm may be detected by IOS.</p>","PeriodicalId":7391,"journal":{"name":"Advances in respiratory medicine","volume":"93 1","pages":""},"PeriodicalIF":2.3000,"publicationDate":"2025-01-27","publicationTypes":"Journal Article","fieldsOfStudy":null,"isOpenAccess":false,"openAccessPdf":"https://www.ncbi.nlm.nih.gov/pmc/articles/PMC11851355/pdf/","citationCount":"0","resultStr":"{\"title\":\"The Role of Impulse Oscillometry in Detection of Preserved Ratio Impaired Spirometry (PRISm).\",\"authors\":\"Chalerm Liwsrisakun, Warawut Chaiwong, Athavudh Deesomchok, Pilaiporn Duangjit, Chaicharn Pothirat\",\"doi\":\"10.3390/arm93010002\",\"DOIUrl\":null,\"url\":null,\"abstract\":\"<p><strong>Background: </strong>Information is limited regarding the role of impulse oscillometry (IOS) for the detection of preserved ratio impaired spirometry (PRISm). Therefore, we aimed to study the diagnostic ability of IOS in differentiating between PRISm and healthy subjects.</p><p><strong>Methods: </strong>This retrospective data collection was done at the Lung Health Center, Faculty of Medicine, Chiang Mai University, Thailand between July 2019 and April 2022. The potential diagnostic possibilities of difference in resistance at 5 Hz (R5) and resistance at 20 Hz (R20) (R5-R20) for PRISm detection were analyzed.</p><p><strong>Results: </strong>The prevalence of PRISm was higher when using the fixed ratio (FR) criteria (FEV<sub>1</sub>/FVC ≥0.7 with FEV<sub>1</sub> < 80% of predicted value) compared to the lower limit of normal (LLN) criteria (FEV<sub>1</sub>/FVC ≥ LLN and FEV<sub>1</sub> < LLN) (10.0% vs. 4.2%). The %prediction for R5-R20 provided an acceptable area under the curve (AUC) for PRISm, defined by the LLN and the FR criteria (AuROC = 0.75 (95%CI; 0.64, 0.85) and 0.72 (95%CI; 0.63, 0.81), respectively). The cut-off value of %predicted R5-R20 ≥120% resulted in the highest sensitivity and specificity for detecting PRISm.</p><p><strong>Conclusions: </strong>The %predicted of R5-R20 ≥ 120% showed an acceptable performance for PRISm detection and PRISm may be detected by IOS.</p>\",\"PeriodicalId\":7391,\"journal\":{\"name\":\"Advances in respiratory medicine\",\"volume\":\"93 1\",\"pages\":\"\"},\"PeriodicalIF\":2.3000,\"publicationDate\":\"2025-01-27\",\"publicationTypes\":\"Journal Article\",\"fieldsOfStudy\":null,\"isOpenAccess\":false,\"openAccessPdf\":\"https://www.ncbi.nlm.nih.gov/pmc/articles/PMC11851355/pdf/\",\"citationCount\":\"0\",\"resultStr\":null,\"platform\":\"Semanticscholar\",\"paperid\":null,\"PeriodicalName\":\"Advances in respiratory medicine\",\"FirstCategoryId\":\"1085\",\"ListUrlMain\":\"https://doi.org/10.3390/arm93010002\",\"RegionNum\":0,\"RegionCategory\":null,\"ArticlePicture\":[],\"TitleCN\":null,\"AbstractTextCN\":null,\"PMCID\":null,\"EPubDate\":\"\",\"PubModel\":\"\",\"JCR\":\"Q3\",\"JCRName\":\"RESPIRATORY SYSTEM\",\"Score\":null,\"Total\":0}","platform":"Semanticscholar","paperid":null,"PeriodicalName":"Advances in respiratory medicine","FirstCategoryId":"1085","ListUrlMain":"https://doi.org/10.3390/arm93010002","RegionNum":0,"RegionCategory":null,"ArticlePicture":[],"TitleCN":null,"AbstractTextCN":null,"PMCID":null,"EPubDate":"","PubModel":"","JCR":"Q3","JCRName":"RESPIRATORY SYSTEM","Score":null,"Total":0}
引用次数: 0

摘要

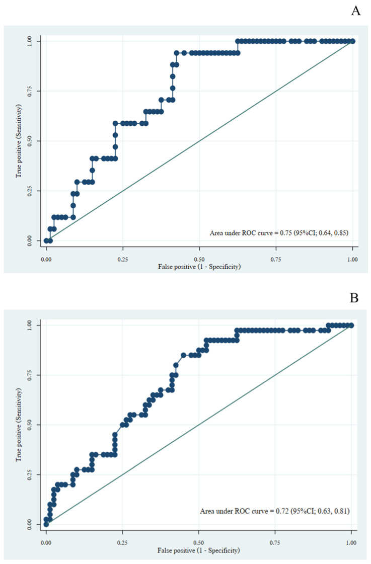
背景:关于脉冲振荡法(IOS)检测保存比受损肺活量法(PRISm)的作用的信息有限。因此,我们旨在研究IOS对PRISm与健康受试者的诊断能力。方法:该回顾性数据收集于2019年7月至2022年4月在泰国清迈大学医学院肺部健康中心进行。分析5 Hz电阻(R5)和20 Hz电阻(R20) (R5-R20)差异对PRISm检测的潜在诊断可能性。结果:固定比值(FR)标准(FEV1/FVC≥0.7,FEV1 <预测值的80%)的PRISm患病率高于正常(LLN)标准(FEV1/FVC≥LLN, FEV1 < LLN)的下限(10.0% vs. 4.2%)。R5-R20的%预测为PRISm提供了一个可接受的曲线下面积(AUC),由LLN和FR标准定义(AuROC = 0.75 (95%CI;0.64, 0.85)和0.72 (95%CI;0.63, 0.81))。预测R5-R20的临界值%≥120%时,PRISm的检测灵敏度和特异度最高。结论:R5-R20预测值≥120%为PRISm检测的可接受性能,可采用IOS检测PRISm。
本文章由计算机程序翻译,如有差异,请以英文原文为准。

The Role of Impulse Oscillometry in Detection of Preserved Ratio Impaired Spirometry (PRISm).

The Role of Impulse Oscillometry in Detection of Preserved Ratio Impaired Spirometry (PRISm).

The Role of Impulse Oscillometry in Detection of Preserved Ratio Impaired Spirometry (PRISm).

Background: Information is limited regarding the role of impulse oscillometry (IOS) for the detection of preserved ratio impaired spirometry (PRISm). Therefore, we aimed to study the diagnostic ability of IOS in differentiating between PRISm and healthy subjects.

Methods: This retrospective data collection was done at the Lung Health Center, Faculty of Medicine, Chiang Mai University, Thailand between July 2019 and April 2022. The potential diagnostic possibilities of difference in resistance at 5 Hz (R5) and resistance at 20 Hz (R20) (R5-R20) for PRISm detection were analyzed.

Results: The prevalence of PRISm was higher when using the fixed ratio (FR) criteria (FEV1/FVC ≥0.7 with FEV1 < 80% of predicted value) compared to the lower limit of normal (LLN) criteria (FEV1/FVC ≥ LLN and FEV1 < LLN) (10.0% vs. 4.2%). The %prediction for R5-R20 provided an acceptable area under the curve (AUC) for PRISm, defined by the LLN and the FR criteria (AuROC = 0.75 (95%CI; 0.64, 0.85) and 0.72 (95%CI; 0.63, 0.81), respectively). The cut-off value of %predicted R5-R20 ≥120% resulted in the highest sensitivity and specificity for detecting PRISm.

Conclusions: The %predicted of R5-R20 ≥ 120% showed an acceptable performance for PRISm detection and PRISm may be detected by IOS.

求助全文
通过发布文献求助,成功后即可免费获取论文全文。 去求助
来源期刊
Advances in respiratory medicine
Advances in respiratory medicine RESPIRATORY SYSTEM-
CiteScore
2.60
自引率
0.00%
发文量
90
期刊介绍: "Advances in Respiratory Medicine" is a new international title for "Pneumonologia i Alergologia Polska", edited bimonthly and addressed to respiratory professionals. The Journal contains peer-reviewed original research papers, short communications, case-reports, recommendations of the Polish Respiratory Society concerning the diagnosis and treatment of lung diseases, editorials, postgraduate education articles, letters and book reviews in the field of pneumonology, allergology, oncology, immunology and infectious diseases. "Advances in Respiratory Medicine" is an open access, official journal of Polish Society of Lung Diseases, Polish Society of Allergology and National Research Institute of Tuberculosis and Lung Diseases.
×
引用
GB/T 7714-2015
复制
MLA
复制
APA
复制
导出至
BibTeX EndNote RefMan NoteFirst NoteExpress
×
提示
您的信息不完整,为了账户安全,请先补充。
现在去补充
×
提示
您因"违规操作"
具体请查看互助需知
我知道了
×
提示
确定
请完成安全验证×
copy
已复制链接
快去分享给好友吧!
我知道了
右上角分享
点击右上角分享
0
联系我们:info@booksci.cn Book学术提供免费学术资源搜索服务,方便国内外学者检索中英文文献。致力于提供最便捷和优质的服务体验。 Copyright © 2023 布克学术 All rights reserved.
京ICP备2023020795号-1
ghs 京公网安备 11010802042870号
Book学术文献互助
Book学术文献互助群
群 号:604180095
Book学术官方微信