Benralizumab在现实生活中治疗的严重嗜酸性哮喘患者中的结果:来自中欧、东欧和波罗的海5个国家的BREEZE研究结果

IF 3 3区 医学 Q2 ALLERGY
Journal of Asthma and Allergy Pub Date : 2025-02-17 eCollection Date: 2025-01-01 DOI:10.2147/JAA.S503048
Florin Mihaltan, Zsuzsanna Csoma, Norbert Pauk, Béla Irás, Jūratė Baukienė, Gabriela Teodorescu, Kęstutis Malakauskas, Maria Staevska
{"title":"Benralizumab在现实生活中治疗的严重嗜酸性哮喘患者中的结果:来自中欧、东欧和波罗的海5个国家的BREEZE研究结果","authors":"Florin Mihaltan, Zsuzsanna Csoma, Norbert Pauk, Béla Irás, Jūratė Baukienė, Gabriela Teodorescu, Kęstutis Malakauskas, Maria Staevska","doi":"10.2147/JAA.S503048","DOIUrl":null,"url":null,"abstract":"<p><strong>Purpose: </strong>To describe real-world clinical characteristics, treatment patterns and outcomes of severe eosinophilic asthma (SEA) patients initiated on benralizumab after treatment authorization in Central Eastern Europe and Baltic Area.</p><p><strong>Patients and methods: </strong>BREEZE was a retrospective, medical chart review with a pre-post design conducted in 42 clinical centers from Bulgaria, Czech Republic, Hungary, Lithuania and Romania. Eligibility included diagnosis of SEA and at least one dose of benralizumab administered in real-life settings. Descriptive statistics were used in the full analysis set and key subgroups stratified by blood eosinophils (bEOS) number, maintenance oral corticosteroids (mOCS) use and prior biologics exposure and included calculation of the annualized exacerbation rate (AER) at baseline, and weeks (W) 16 and 48.</p><p><strong>Results: </strong>Of 381 patients included, 66% were female with overall mean age 56 ±12 years at benralizumab start. At baseline: median bEOS 580 cells/μL (74% bEOS>400), forced expiratory volume in 1 second (FEV<sub>1</sub>) 1660 mL, mOCS use in 25% of patients (10 mg/day prednisone equivalent, 68% >5 mg/day), AER 3.05 (95% CI 2.9-3.2), and poorly controlled asthma (Asthma Control Test [ACT] <16) in 63% of patients. Median duration of exposure to benralizumab was 11.5 (95% CI 7.7-12.3) months, and discontinuation rate was 1.3% (95% CI 0.4%-3.0%). Median bEOS decreased to 0 at W16 and maintained thereafter; FEV<sub>1</sub> increases of +240 mL at W16 and +335 mL at W48 were reported (p <0.001 for both). Overall relative reduction in AER at W16 and W48 was 92% and 93%, respectively, and 82-94% across key subgroups. mOCS dose reduction was 50%, and proportion of patients requiring >5 mg/day decreased constantly (25% at W16, 28% at W48). ACT scores increased from W16 to W56 (p <0.001 for all).</p><p><strong>Conclusion: </strong>Our findings indicate clinically meaningful benefits of benralizumab across multiple geographies and various subgroups of patients with SEA.</p>","PeriodicalId":15079,"journal":{"name":"Journal of Asthma and Allergy","volume":"18 ","pages":"195-210"},"PeriodicalIF":3.0000,"publicationDate":"2025-02-17","publicationTypes":"Journal Article","fieldsOfStudy":null,"isOpenAccess":false,"openAccessPdf":"https://www.ncbi.nlm.nih.gov/pmc/articles/PMC11844207/pdf/","citationCount":"0","resultStr":"{\"title\":\"Benralizumab Outcomes in Patients with Severe Eosinophilic Asthma Treated in Real-Life Settings: Results of the BREEZE Study in 5 Countries From Central Eastern Europe and Baltics.\",\"authors\":\"Florin Mihaltan, Zsuzsanna Csoma, Norbert Pauk, Béla Irás, Jūratė Baukienė, Gabriela Teodorescu, Kęstutis Malakauskas, Maria Staevska\",\"doi\":\"10.2147/JAA.S503048\",\"DOIUrl\":null,\"url\":null,\"abstract\":\"<p><strong>Purpose: </strong>To describe real-world clinical characteristics, treatment patterns and outcomes of severe eosinophilic asthma (SEA) patients initiated on benralizumab after treatment authorization in Central Eastern Europe and Baltic Area.</p><p><strong>Patients and methods: </strong>BREEZE was a retrospective, medical chart review with a pre-post design conducted in 42 clinical centers from Bulgaria, Czech Republic, Hungary, Lithuania and Romania. Eligibility included diagnosis of SEA and at least one dose of benralizumab administered in real-life settings. Descriptive statistics were used in the full analysis set and key subgroups stratified by blood eosinophils (bEOS) number, maintenance oral corticosteroids (mOCS) use and prior biologics exposure and included calculation of the annualized exacerbation rate (AER) at baseline, and weeks (W) 16 and 48.</p><p><strong>Results: </strong>Of 381 patients included, 66% were female with overall mean age 56 ±12 years at benralizumab start. At baseline: median bEOS 580 cells/μL (74% bEOS>400), forced expiratory volume in 1 second (FEV<sub>1</sub>) 1660 mL, mOCS use in 25% of patients (10 mg/day prednisone equivalent, 68% >5 mg/day), AER 3.05 (95% CI 2.9-3.2), and poorly controlled asthma (Asthma Control Test [ACT] <16) in 63% of patients. Median duration of exposure to benralizumab was 11.5 (95% CI 7.7-12.3) months, and discontinuation rate was 1.3% (95% CI 0.4%-3.0%). Median bEOS decreased to 0 at W16 and maintained thereafter; FEV<sub>1</sub> increases of +240 mL at W16 and +335 mL at W48 were reported (p <0.001 for both). Overall relative reduction in AER at W16 and W48 was 92% and 93%, respectively, and 82-94% across key subgroups. mOCS dose reduction was 50%, and proportion of patients requiring >5 mg/day decreased constantly (25% at W16, 28% at W48). ACT scores increased from W16 to W56 (p <0.001 for all).</p><p><strong>Conclusion: </strong>Our findings indicate clinically meaningful benefits of benralizumab across multiple geographies and various subgroups of patients with SEA.</p>\",\"PeriodicalId\":15079,\"journal\":{\"name\":\"Journal of Asthma and Allergy\",\"volume\":\"18 \",\"pages\":\"195-210\"},\"PeriodicalIF\":3.0000,\"publicationDate\":\"2025-02-17\",\"publicationTypes\":\"Journal Article\",\"fieldsOfStudy\":null,\"isOpenAccess\":false,\"openAccessPdf\":\"https://www.ncbi.nlm.nih.gov/pmc/articles/PMC11844207/pdf/\",\"citationCount\":\"0\",\"resultStr\":null,\"platform\":\"Semanticscholar\",\"paperid\":null,\"PeriodicalName\":\"Journal of Asthma and Allergy\",\"FirstCategoryId\":\"3\",\"ListUrlMain\":\"https://doi.org/10.2147/JAA.S503048\",\"RegionNum\":3,\"RegionCategory\":\"医学\",\"ArticlePicture\":[],\"TitleCN\":null,\"AbstractTextCN\":null,\"PMCID\":null,\"EPubDate\":\"2025/1/1 0:00:00\",\"PubModel\":\"eCollection\",\"JCR\":\"Q2\",\"JCRName\":\"ALLERGY\",\"Score\":null,\"Total\":0}","platform":"Semanticscholar","paperid":null,"PeriodicalName":"Journal of Asthma and Allergy","FirstCategoryId":"3","ListUrlMain":"https://doi.org/10.2147/JAA.S503048","RegionNum":3,"RegionCategory":"医学","ArticlePicture":[],"TitleCN":null,"AbstractTextCN":null,"PMCID":null,"EPubDate":"2025/1/1 0:00:00","PubModel":"eCollection","JCR":"Q2","JCRName":"ALLERGY","Score":null,"Total":0}
引用次数: 0

摘要

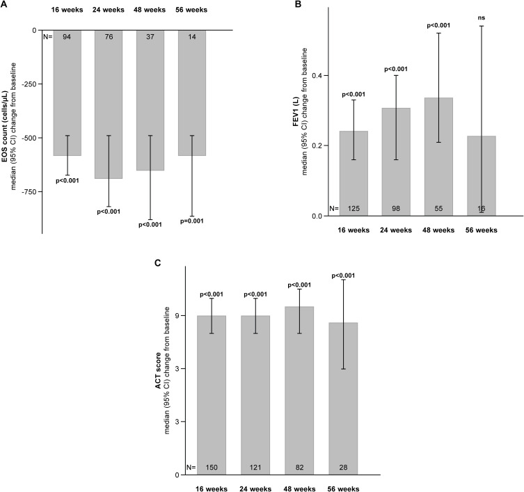
目的:描述在中东欧和波罗的海地区获得治疗授权后开始使用贝纳利珠单抗的严重嗜酸性哮喘(SEA)患者的真实世界临床特征、治疗模式和结局。患者和方法:BREEZE是在保加利亚、捷克共和国、匈牙利、立陶宛和罗马尼亚的42个临床中心进行的一项回顾性、前后设计的病历回顾。入选条件包括SEA诊断和在现实生活中至少使用一剂benralizumab。在整个分析集和按嗜酸性粒细胞(bEOS)数量、维持口服皮质类固醇(mOCS)使用和既往生物制剂暴露分层的关键亚组中使用描述性统计,包括计算基线时、16周和48周时的年化恶化率(AER)。结果:纳入的381例患者中,66%为女性,贝纳利珠单抗开始时的总平均年龄为56±12岁。基线时:bEOS中位数580个细胞/μL (74% bEOS bb0 400), 1秒用力呼气量(FEV1) 1660 mL, 25%的患者使用mOCS(相当于10 mg/天强的松,68% bb1 5 mg/天),AER 3.05 (95% CI 2.9-3.2),哮喘控制不良(哮喘控制试验[ACT] 1在W16时增加+240 mL,在W48时增加+335 mL) (p5 mg/天不断下降(W16时25%,W48时28%)。结论:我们的研究结果表明,benralizumab在多个地区和不同亚组的SEA患者中具有临床意义的益处。
本文章由计算机程序翻译,如有差异,请以英文原文为准。

Benralizumab Outcomes in Patients with Severe Eosinophilic Asthma Treated in Real-Life Settings: Results of the BREEZE Study in 5 Countries From Central Eastern Europe and Baltics.

Benralizumab Outcomes in Patients with Severe Eosinophilic Asthma Treated in Real-Life Settings: Results of the BREEZE Study in 5 Countries From Central Eastern Europe and Baltics.

Benralizumab Outcomes in Patients with Severe Eosinophilic Asthma Treated in Real-Life Settings: Results of the BREEZE Study in 5 Countries From Central Eastern Europe and Baltics.

Benralizumab Outcomes in Patients with Severe Eosinophilic Asthma Treated in Real-Life Settings: Results of the BREEZE Study in 5 Countries From Central Eastern Europe and Baltics.

Purpose: To describe real-world clinical characteristics, treatment patterns and outcomes of severe eosinophilic asthma (SEA) patients initiated on benralizumab after treatment authorization in Central Eastern Europe and Baltic Area.

Patients and methods: BREEZE was a retrospective, medical chart review with a pre-post design conducted in 42 clinical centers from Bulgaria, Czech Republic, Hungary, Lithuania and Romania. Eligibility included diagnosis of SEA and at least one dose of benralizumab administered in real-life settings. Descriptive statistics were used in the full analysis set and key subgroups stratified by blood eosinophils (bEOS) number, maintenance oral corticosteroids (mOCS) use and prior biologics exposure and included calculation of the annualized exacerbation rate (AER) at baseline, and weeks (W) 16 and 48.

Results: Of 381 patients included, 66% were female with overall mean age 56 ±12 years at benralizumab start. At baseline: median bEOS 580 cells/μL (74% bEOS>400), forced expiratory volume in 1 second (FEV1) 1660 mL, mOCS use in 25% of patients (10 mg/day prednisone equivalent, 68% >5 mg/day), AER 3.05 (95% CI 2.9-3.2), and poorly controlled asthma (Asthma Control Test [ACT] <16) in 63% of patients. Median duration of exposure to benralizumab was 11.5 (95% CI 7.7-12.3) months, and discontinuation rate was 1.3% (95% CI 0.4%-3.0%). Median bEOS decreased to 0 at W16 and maintained thereafter; FEV1 increases of +240 mL at W16 and +335 mL at W48 were reported (p <0.001 for both). Overall relative reduction in AER at W16 and W48 was 92% and 93%, respectively, and 82-94% across key subgroups. mOCS dose reduction was 50%, and proportion of patients requiring >5 mg/day decreased constantly (25% at W16, 28% at W48). ACT scores increased from W16 to W56 (p <0.001 for all).

Conclusion: Our findings indicate clinically meaningful benefits of benralizumab across multiple geographies and various subgroups of patients with SEA.

求助全文
通过发布文献求助,成功后即可免费获取论文全文。 去求助
来源期刊
Journal of Asthma and Allergy
Journal of Asthma and Allergy Medicine-Immunology and Allergy
CiteScore
5.30
自引率
6.20%
发文量
185
审稿时长
16 weeks
期刊介绍: An international, peer-reviewed journal publishing original research, reports, editorials and commentaries on the following topics: Asthma; Pulmonary physiology; Asthma related clinical health; Clinical immunology and the immunological basis of disease; Pharmacological interventions and new therapies. Although the main focus of the journal will be to publish research and clinical results in humans, preclinical, animal and in vitro studies will be published where they shed light on disease processes and potential new therapies.
×
引用
GB/T 7714-2015
复制
MLA
复制
APA
复制
导出至
BibTeX EndNote RefMan NoteFirst NoteExpress
×
提示
您的信息不完整,为了账户安全,请先补充。
现在去补充
×
提示
您因"违规操作"
具体请查看互助需知
我知道了
×
提示
确定
请完成安全验证×
copy
已复制链接
快去分享给好友吧!
我知道了
右上角分享
点击右上角分享
0
联系我们:info@booksci.cn Book学术提供免费学术资源搜索服务,方便国内外学者检索中英文文献。致力于提供最便捷和优质的服务体验。 Copyright © 2023 布克学术 All rights reserved.
京ICP备2023020795号-1
ghs 京公网安备 11010802042870号
Book学术文献互助
Book学术文献互助群
群 号:604180095
Book学术官方微信