以磁共振质子密度脂肪分数为参考标准的衰减成像与控制衰减参数对肝脂肪变性的诊断价值:一项前瞻性多中心研究。

IF 5.5 2区 医学 Q1 GASTROENTEROLOGY & HEPATOLOGY
Journal of Gastroenterology Pub Date : 2025-06-01 Epub Date: 2025-02-24 DOI:10.1007/s00535-025-02224-0
Takashi Nishimura, Toshifumi Tada, Tomoyuki Akita, Reiichiro Kondo, Yasuaki Suzuki, Kento Imajo, Shigehiro Kokubu, Tamami Abe, Hidekatsu Kuroda, Masashi Hirooka, Yoichi Hiasa, Asako Nogami, Atsushi Nakajima, Sadanobu Ogawa, Hidenori Toyoda, Satoshi Oeda, Hirokazu Takahashi, Yuichiro Eguchi, Katsutoshi Sugimoto, Hirohisa Yano, Junko Tanaka, Fuminori Moriyasu, Masayoshi Kage, Takashi Kumada, Hiroko Iijima
{"title":"以磁共振质子密度脂肪分数为参考标准的衰减成像与控制衰减参数对肝脂肪变性的诊断价值:一项前瞻性多中心研究。","authors":"Takashi Nishimura, Toshifumi Tada, Tomoyuki Akita, Reiichiro Kondo, Yasuaki Suzuki, Kento Imajo, Shigehiro Kokubu, Tamami Abe, Hidekatsu Kuroda, Masashi Hirooka, Yoichi Hiasa, Asako Nogami, Atsushi Nakajima, Sadanobu Ogawa, Hidenori Toyoda, Satoshi Oeda, Hirokazu Takahashi, Yuichiro Eguchi, Katsutoshi Sugimoto, Hirohisa Yano, Junko Tanaka, Fuminori Moriyasu, Masayoshi Kage, Takashi Kumada, Hiroko Iijima","doi":"10.1007/s00535-025-02224-0","DOIUrl":null,"url":null,"abstract":"<p><strong>Background: </strong>Attenuation Imaging (ATI) and controlled attenuation parameter (CAP) are non-invasive ultrasound-based methods for diagnosing hepatic steatosis. However, reports on the clinical usefulness of ATI are limited. We aimed to compare the ability of ATI and CAP to diagnose hepatic steatosis with magnetic resonance imaging-based proton density fat fraction (MRI-PDFF) as the reference standard.</p><p><strong>Methods: </strong>We performed a prospective multicenter study of 562 patients with chronic liver disease who underwent ATI, CAP, and MRI-PDFF. Patients with skin-to-liver capsule distance (SCD) ≤ 25 mm underwent CAP with an M probe; those with SCD > 25 mm underwent CAP with an XL probe. MRI-PDFF was used as the reference standard: S0 corresponds to MRI-PDFF < 5.2%, S1 to 5.2% ≤ MRI-PDFF < 11.3%, S2 to 11.3% ≤ MRI-PDFF < 17.1%, and S3 to MRI-PDFF ≥ 17.1%.</p><p><strong>Results: </strong>The correlation coefficients for ATI and MRI-PDFF stratified by body mass index (< 30, ≥ 30 kg/m<sup>2</sup>), SCD (< 25, ≥ 25 mm), 2-dimensional share wave elastography (< 1.8 m/s), fibrosis-4 index (≤ 2.67), albumin-bilirubin score (< - 2.60) and type IV collagen 7 s (< 5.0 ng/ml) were significantly higher than those for CAP and MRI-PDFF. Areas under the receiver operating characteristics (95% CI) for ATI and CAP were 0.895 (0.869-0.922) and 0.845 (0.809-0.881) for ≥ S1 steatosis, 0.944 (0.926-0.963) and 0.881(0.852-0.910) for ≥ S2 steatosis, and 0.928 (95% CI 0.906-0.950) and 0.860 (95% CI 0.829-0.890) for S3 steatosis. ATI had higher diagnostic performance for all hepatic steatosis grades than CAP.</p><p><strong>Conclusions: </strong>ATI is a more useful non-invasive method for diagnosing hepatic steatosis than CAP.</p>","PeriodicalId":16059,"journal":{"name":"Journal of Gastroenterology","volume":" ","pages":"727-737"},"PeriodicalIF":5.5000,"publicationDate":"2025-06-01","publicationTypes":"Journal Article","fieldsOfStudy":null,"isOpenAccess":false,"openAccessPdf":"https://www.ncbi.nlm.nih.gov/pmc/articles/PMC12095409/pdf/","citationCount":"0","resultStr":"{\"title\":\"Diagnostic performance of attenuation imaging versus controlled attenuation parameter for hepatic steatosis with MRI-based proton density fat fraction as the reference standard: a prospective multicenter study.\",\"authors\":\"Takashi Nishimura, Toshifumi Tada, Tomoyuki Akita, Reiichiro Kondo, Yasuaki Suzuki, Kento Imajo, Shigehiro Kokubu, Tamami Abe, Hidekatsu Kuroda, Masashi Hirooka, Yoichi Hiasa, Asako Nogami, Atsushi Nakajima, Sadanobu Ogawa, Hidenori Toyoda, Satoshi Oeda, Hirokazu Takahashi, Yuichiro Eguchi, Katsutoshi Sugimoto, Hirohisa Yano, Junko Tanaka, Fuminori Moriyasu, Masayoshi Kage, Takashi Kumada, Hiroko Iijima\",\"doi\":\"10.1007/s00535-025-02224-0\",\"DOIUrl\":null,\"url\":null,\"abstract\":\"<p><strong>Background: </strong>Attenuation Imaging (ATI) and controlled attenuation parameter (CAP) are non-invasive ultrasound-based methods for diagnosing hepatic steatosis. However, reports on the clinical usefulness of ATI are limited. We aimed to compare the ability of ATI and CAP to diagnose hepatic steatosis with magnetic resonance imaging-based proton density fat fraction (MRI-PDFF) as the reference standard.</p><p><strong>Methods: </strong>We performed a prospective multicenter study of 562 patients with chronic liver disease who underwent ATI, CAP, and MRI-PDFF. Patients with skin-to-liver capsule distance (SCD) ≤ 25 mm underwent CAP with an M probe; those with SCD > 25 mm underwent CAP with an XL probe. MRI-PDFF was used as the reference standard: S0 corresponds to MRI-PDFF < 5.2%, S1 to 5.2% ≤ MRI-PDFF < 11.3%, S2 to 11.3% ≤ MRI-PDFF < 17.1%, and S3 to MRI-PDFF ≥ 17.1%.</p><p><strong>Results: </strong>The correlation coefficients for ATI and MRI-PDFF stratified by body mass index (< 30, ≥ 30 kg/m<sup>2</sup>), SCD (< 25, ≥ 25 mm), 2-dimensional share wave elastography (< 1.8 m/s), fibrosis-4 index (≤ 2.67), albumin-bilirubin score (< - 2.60) and type IV collagen 7 s (< 5.0 ng/ml) were significantly higher than those for CAP and MRI-PDFF. Areas under the receiver operating characteristics (95% CI) for ATI and CAP were 0.895 (0.869-0.922) and 0.845 (0.809-0.881) for ≥ S1 steatosis, 0.944 (0.926-0.963) and 0.881(0.852-0.910) for ≥ S2 steatosis, and 0.928 (95% CI 0.906-0.950) and 0.860 (95% CI 0.829-0.890) for S3 steatosis. ATI had higher diagnostic performance for all hepatic steatosis grades than CAP.</p><p><strong>Conclusions: </strong>ATI is a more useful non-invasive method for diagnosing hepatic steatosis than CAP.</p>\",\"PeriodicalId\":16059,\"journal\":{\"name\":\"Journal of Gastroenterology\",\"volume\":\" \",\"pages\":\"727-737\"},\"PeriodicalIF\":5.5000,\"publicationDate\":\"2025-06-01\",\"publicationTypes\":\"Journal Article\",\"fieldsOfStudy\":null,\"isOpenAccess\":false,\"openAccessPdf\":\"https://www.ncbi.nlm.nih.gov/pmc/articles/PMC12095409/pdf/\",\"citationCount\":\"0\",\"resultStr\":null,\"platform\":\"Semanticscholar\",\"paperid\":null,\"PeriodicalName\":\"Journal of Gastroenterology\",\"FirstCategoryId\":\"3\",\"ListUrlMain\":\"https://doi.org/10.1007/s00535-025-02224-0\",\"RegionNum\":2,\"RegionCategory\":\"医学\",\"ArticlePicture\":[],\"TitleCN\":null,\"AbstractTextCN\":null,\"PMCID\":null,\"EPubDate\":\"2025/2/24 0:00:00\",\"PubModel\":\"Epub\",\"JCR\":\"Q1\",\"JCRName\":\"GASTROENTEROLOGY & HEPATOLOGY\",\"Score\":null,\"Total\":0}","platform":"Semanticscholar","paperid":null,"PeriodicalName":"Journal of Gastroenterology","FirstCategoryId":"3","ListUrlMain":"https://doi.org/10.1007/s00535-025-02224-0","RegionNum":2,"RegionCategory":"医学","ArticlePicture":[],"TitleCN":null,"AbstractTextCN":null,"PMCID":null,"EPubDate":"2025/2/24 0:00:00","PubModel":"Epub","JCR":"Q1","JCRName":"GASTROENTEROLOGY & HEPATOLOGY","Score":null,"Total":0}
引用次数: 0

摘要

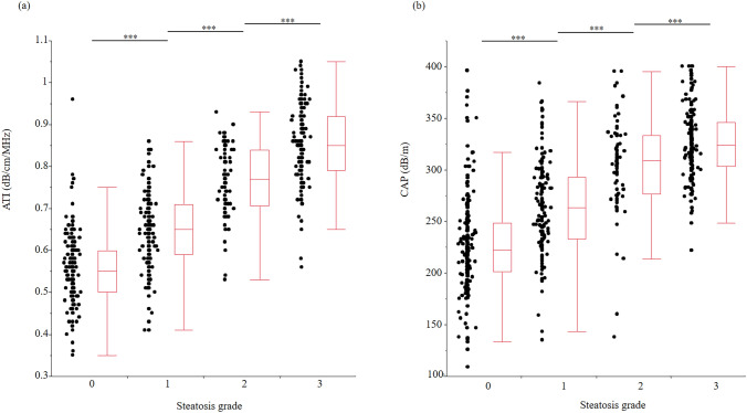
背景:衰减成像(ATI)和控制衰减参数(CAP)是一种基于超声的无创肝脂肪变性诊断方法。然而,关于ATI临床应用的报道有限。我们的目的是比较ATI和CAP诊断肝脂肪变性的能力,并以磁共振成像的质子密度脂肪分数(MRI-PDFF)作为参考标准。方法:我们对562例接受ATI、CAP和MRI-PDFF治疗的慢性肝病患者进行了一项前瞻性多中心研究。皮肤到肝包膜距离(SCD)≤25 mm的患者行CAP,采用M探针;SCD直径为25 mm的患者采用XL探针进行CAP。以MRI-PDFF为参比标准,S0与MRI-PDFF相对应。结果:以体重指数(2)、SCD分层ATI与MRI-PDFF的相关系数(结论:ATI是比CAP更有效的无创肝脂肪变性诊断方法。
本文章由计算机程序翻译,如有差异,请以英文原文为准。

Diagnostic performance of attenuation imaging versus controlled attenuation parameter for hepatic steatosis with MRI-based proton density fat fraction as the reference standard: a prospective multicenter study.

Diagnostic performance of attenuation imaging versus controlled attenuation parameter for hepatic steatosis with MRI-based proton density fat fraction as the reference standard: a prospective multicenter study.

Diagnostic performance of attenuation imaging versus controlled attenuation parameter for hepatic steatosis with MRI-based proton density fat fraction as the reference standard: a prospective multicenter study.

Diagnostic performance of attenuation imaging versus controlled attenuation parameter for hepatic steatosis with MRI-based proton density fat fraction as the reference standard: a prospective multicenter study.

Background: Attenuation Imaging (ATI) and controlled attenuation parameter (CAP) are non-invasive ultrasound-based methods for diagnosing hepatic steatosis. However, reports on the clinical usefulness of ATI are limited. We aimed to compare the ability of ATI and CAP to diagnose hepatic steatosis with magnetic resonance imaging-based proton density fat fraction (MRI-PDFF) as the reference standard.

Methods: We performed a prospective multicenter study of 562 patients with chronic liver disease who underwent ATI, CAP, and MRI-PDFF. Patients with skin-to-liver capsule distance (SCD) ≤ 25 mm underwent CAP with an M probe; those with SCD > 25 mm underwent CAP with an XL probe. MRI-PDFF was used as the reference standard: S0 corresponds to MRI-PDFF < 5.2%, S1 to 5.2% ≤ MRI-PDFF < 11.3%, S2 to 11.3% ≤ MRI-PDFF < 17.1%, and S3 to MRI-PDFF ≥ 17.1%.

Results: The correlation coefficients for ATI and MRI-PDFF stratified by body mass index (< 30, ≥ 30 kg/m2), SCD (< 25, ≥ 25 mm), 2-dimensional share wave elastography (< 1.8 m/s), fibrosis-4 index (≤ 2.67), albumin-bilirubin score (< - 2.60) and type IV collagen 7 s (< 5.0 ng/ml) were significantly higher than those for CAP and MRI-PDFF. Areas under the receiver operating characteristics (95% CI) for ATI and CAP were 0.895 (0.869-0.922) and 0.845 (0.809-0.881) for ≥ S1 steatosis, 0.944 (0.926-0.963) and 0.881(0.852-0.910) for ≥ S2 steatosis, and 0.928 (95% CI 0.906-0.950) and 0.860 (95% CI 0.829-0.890) for S3 steatosis. ATI had higher diagnostic performance for all hepatic steatosis grades than CAP.

Conclusions: ATI is a more useful non-invasive method for diagnosing hepatic steatosis than CAP.

求助全文
通过发布文献求助,成功后即可免费获取论文全文。 去求助
来源期刊
Journal of Gastroenterology
Journal of Gastroenterology 医学-胃肠肝病学
CiteScore
12.20
自引率
1.60%
发文量
99
审稿时长
4-8 weeks
期刊介绍: The Journal of Gastroenterology, which is the official publication of the Japanese Society of Gastroenterology, publishes Original Articles (Alimentary Tract/Liver, Pancreas, and Biliary Tract), Review Articles, Letters to the Editors and other articles on all aspects of the field of gastroenterology. Significant contributions relating to basic research, theory, and practice are welcomed. These publications are designed to disseminate knowledge in this field to a worldwide audience, and accordingly, its editorial board has an international membership.
×
引用
GB/T 7714-2015
复制
MLA
复制
APA
复制
导出至
BibTeX EndNote RefMan NoteFirst NoteExpress
×
提示
您的信息不完整,为了账户安全,请先补充。
现在去补充
×
提示
您因"违规操作"
具体请查看互助需知
我知道了
×
提示
确定
请完成安全验证×
copy
已复制链接
快去分享给好友吧!
我知道了
右上角分享
点击右上角分享
0
联系我们:info@booksci.cn Book学术提供免费学术资源搜索服务,方便国内外学者检索中英文文献。致力于提供最便捷和优质的服务体验。 Copyright © 2023 布克学术 All rights reserved.
京ICP备2023020795号-1
ghs 京公网安备 11010802042870号
Book学术文献互助
Book学术文献互助群
群 号:604180095
Book学术官方微信