丙型肝炎病毒感染者的健康效用:一项使用真实世界人口水平数据的研究

IF 3.1 3区 医学 Q2 HEALTH CARE SCIENCES & SERVICES
Medical Decision Making Pub Date : 2025-04-01 Epub Date: 2025-02-22 DOI:10.1177/0272989X251319342
Yasmin A Saeed, Nicholas Mitsakakis, Jordan J Feld, Murray D Krahn, Jeffrey C Kwong, William W L Wong
{"title":"丙型肝炎病毒感染者的健康效用:一项使用真实世界人口水平数据的研究","authors":"Yasmin A Saeed, Nicholas Mitsakakis, Jordan J Feld, Murray D Krahn, Jeffrey C Kwong, William W L Wong","doi":"10.1177/0272989X251319342","DOIUrl":null,"url":null,"abstract":"<p><p>BackgroundHepatitis C virus (HCV) infection is associated with reduced quality of life and health utility. It is unclear whether this is primarily due to HCV infection itself or commonly co-occurring patient characteristics such as low income and mental health issues. This study aims to estimate and separate the effects of HCV infection on health utility from the effects of clinical and sociodemographic factors using real-world population-level data.MethodsWe conducted a cross-sectional retrospective cohort study to estimate health utilities in people with and without HCV infection in Ontario, Canada, from 2000 to 2014 using linked survey data from the Canadian Community Health Survey and health administrative data. Utilities were derived from the Health Utilities Index Mark 3 instrument. We used propensity score matching and multivariable linear regression to examine the impact of HCV infection on utility scores while adjusting for clinical and sociodemographic factors.ResultsThere were 7,102 individuals with hepatitis C status and health utility data available (506 HCV-positive, 6,596 HCV-negative). Factors associated with marginalization were more prevalent in the HCV-positive cohort (e.g., household income <$20,000: 36% versus 15%). Propensity score matching resulted in 454 matched pairs of HCV-positive and HCV-negative individuals. HCV-positive individuals had substantially lower unadjusted utilities than HCV-negative individuals did (mean ± standard error: 0.662 ± 0.016 versus 0.734 ± 0.015). The regression model showed that HCV positivity (coefficient: -0.066), age, comorbidity, mental health history, and household income had large impacts on health utility.ConclusionsHCV infection is associated with low health utility even after controlling for clinical and sociodemographic variables. Individuals with HCV infection may benefit from additional social services and supports alongside antiviral therapy to improve their quality of life.HighlightsHepatitis C virus (HCV) infection is associated with reduced quality of life and health utility. There is debate in the literature on whether this is primarily due to HCV infection itself or commonly co-occurring patient characteristics such as low income and mental health issues.We showed that individuals with HCV infection have substantially lower health utilities than uninfected individuals do even after controlling for clinical and sociodemographic variables, based on a large, real-world population-level dataset. Socioeconomically marginalized individuals with HCV infection had particularly low health utilities.In addition to improving access to HCV testing and treatment, it may be beneficial to provide social services such as mental health and financial supports to improve the quality of life and health utility of people living with HCV.</p>","PeriodicalId":49839,"journal":{"name":"Medical Decision Making","volume":" ","pages":"332-343"},"PeriodicalIF":3.1000,"publicationDate":"2025-04-01","publicationTypes":"Journal Article","fieldsOfStudy":null,"isOpenAccess":false,"openAccessPdf":"https://www.ncbi.nlm.nih.gov/pmc/articles/PMC11894892/pdf/","citationCount":"0","resultStr":"{\"title\":\"Health Utilities in People with Hepatitis C Virus Infection: A Study Using Real-World Population-Level Data.\",\"authors\":\"Yasmin A Saeed, Nicholas Mitsakakis, Jordan J Feld, Murray D Krahn, Jeffrey C Kwong, William W L Wong\",\"doi\":\"10.1177/0272989X251319342\",\"DOIUrl\":null,\"url\":null,\"abstract\":\"<p><p>BackgroundHepatitis C virus (HCV) infection is associated with reduced quality of life and health utility. It is unclear whether this is primarily due to HCV infection itself or commonly co-occurring patient characteristics such as low income and mental health issues. This study aims to estimate and separate the effects of HCV infection on health utility from the effects of clinical and sociodemographic factors using real-world population-level data.MethodsWe conducted a cross-sectional retrospective cohort study to estimate health utilities in people with and without HCV infection in Ontario, Canada, from 2000 to 2014 using linked survey data from the Canadian Community Health Survey and health administrative data. Utilities were derived from the Health Utilities Index Mark 3 instrument. We used propensity score matching and multivariable linear regression to examine the impact of HCV infection on utility scores while adjusting for clinical and sociodemographic factors.ResultsThere were 7,102 individuals with hepatitis C status and health utility data available (506 HCV-positive, 6,596 HCV-negative). Factors associated with marginalization were more prevalent in the HCV-positive cohort (e.g., household income <$20,000: 36% versus 15%). Propensity score matching resulted in 454 matched pairs of HCV-positive and HCV-negative individuals. HCV-positive individuals had substantially lower unadjusted utilities than HCV-negative individuals did (mean ± standard error: 0.662 ± 0.016 versus 0.734 ± 0.015). The regression model showed that HCV positivity (coefficient: -0.066), age, comorbidity, mental health history, and household income had large impacts on health utility.ConclusionsHCV infection is associated with low health utility even after controlling for clinical and sociodemographic variables. Individuals with HCV infection may benefit from additional social services and supports alongside antiviral therapy to improve their quality of life.HighlightsHepatitis C virus (HCV) infection is associated with reduced quality of life and health utility. There is debate in the literature on whether this is primarily due to HCV infection itself or commonly co-occurring patient characteristics such as low income and mental health issues.We showed that individuals with HCV infection have substantially lower health utilities than uninfected individuals do even after controlling for clinical and sociodemographic variables, based on a large, real-world population-level dataset. Socioeconomically marginalized individuals with HCV infection had particularly low health utilities.In addition to improving access to HCV testing and treatment, it may be beneficial to provide social services such as mental health and financial supports to improve the quality of life and health utility of people living with HCV.</p>\",\"PeriodicalId\":49839,\"journal\":{\"name\":\"Medical Decision Making\",\"volume\":\" \",\"pages\":\"332-343\"},\"PeriodicalIF\":3.1000,\"publicationDate\":\"2025-04-01\",\"publicationTypes\":\"Journal Article\",\"fieldsOfStudy\":null,\"isOpenAccess\":false,\"openAccessPdf\":\"https://www.ncbi.nlm.nih.gov/pmc/articles/PMC11894892/pdf/\",\"citationCount\":\"0\",\"resultStr\":null,\"platform\":\"Semanticscholar\",\"paperid\":null,\"PeriodicalName\":\"Medical Decision Making\",\"FirstCategoryId\":\"3\",\"ListUrlMain\":\"https://doi.org/10.1177/0272989X251319342\",\"RegionNum\":3,\"RegionCategory\":\"医学\",\"ArticlePicture\":[],\"TitleCN\":null,\"AbstractTextCN\":null,\"PMCID\":null,\"EPubDate\":\"2025/2/22 0:00:00\",\"PubModel\":\"Epub\",\"JCR\":\"Q2\",\"JCRName\":\"HEALTH CARE SCIENCES & SERVICES\",\"Score\":null,\"Total\":0}","platform":"Semanticscholar","paperid":null,"PeriodicalName":"Medical Decision Making","FirstCategoryId":"3","ListUrlMain":"https://doi.org/10.1177/0272989X251319342","RegionNum":3,"RegionCategory":"医学","ArticlePicture":[],"TitleCN":null,"AbstractTextCN":null,"PMCID":null,"EPubDate":"2025/2/22 0:00:00","PubModel":"Epub","JCR":"Q2","JCRName":"HEALTH CARE SCIENCES & SERVICES","Score":null,"Total":0}
引用次数: 0

摘要

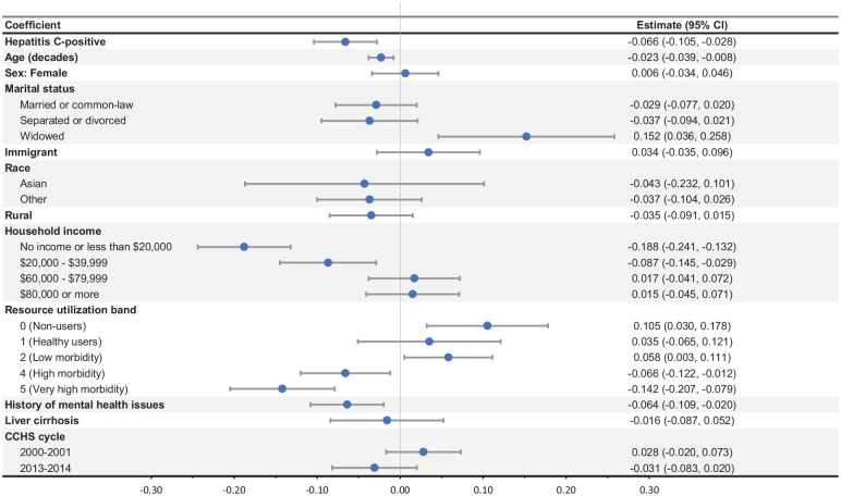
背景:丙型肝炎病毒(HCV)感染与生活质量和健康效用下降有关。目前尚不清楚这主要是由于丙型肝炎病毒感染本身还是由于低收入和精神健康问题等共同发生的患者特征。本研究旨在利用真实世界人口水平的数据,估计和分离HCV感染对健康效用的影响与临床和社会人口因素的影响。方法:我们进行了一项横断面回顾性队列研究,利用来自加拿大社区健康调查和卫生管理数据的相关调查数据,估计2000年至2014年加拿大安大略省HCV感染者和非HCV感染者的卫生效用。效用指数来源于健康效用指数Mark 3。我们使用倾向评分匹配和多变量线性回归来检查HCV感染对效用评分的影响,同时调整临床和社会人口因素。结果:共有7102名丙型肝炎患者和健康效用数据可用(506名丙型肝炎病毒阳性,6596名丙型肝炎病毒阴性)。与边缘化相关的因素在HCV阳性队列中更为普遍(例如,家庭收入)。结论:即使在控制了临床和社会人口变量后,HCV感染仍与低健康效用相关。丙型肝炎病毒感染者可能受益于额外的社会服务和支持以及抗病毒治疗,以改善他们的生活质量。重点:丙型肝炎病毒(HCV)感染与生活质量和健康效用下降有关。关于这主要是由于丙型肝炎病毒感染本身,还是由于低收入和精神健康问题等共同发生的患者特征,文献中存在争议。我们发现,即使在控制了临床和社会人口学变量之后,HCV感染个体的健康效用也明显低于未感染个体,这是基于一个大型的现实世界人口水平数据集。社会经济边缘化的丙型肝炎病毒感染者的卫生效用特别低。除了改善丙型肝炎病毒检测和治疗的可及性外,提供心理健康和财政支持等社会服务,以改善丙型肝炎病毒感染者的生活质量和健康效用,可能是有益的。
本文章由计算机程序翻译,如有差异,请以英文原文为准。

Health Utilities in People with Hepatitis C Virus Infection: A Study Using Real-World Population-Level Data.

Health Utilities in People with Hepatitis C Virus Infection: A Study Using Real-World Population-Level Data.

Health Utilities in People with Hepatitis C Virus Infection: A Study Using Real-World Population-Level Data.

Health Utilities in People with Hepatitis C Virus Infection: A Study Using Real-World Population-Level Data.

BackgroundHepatitis C virus (HCV) infection is associated with reduced quality of life and health utility. It is unclear whether this is primarily due to HCV infection itself or commonly co-occurring patient characteristics such as low income and mental health issues. This study aims to estimate and separate the effects of HCV infection on health utility from the effects of clinical and sociodemographic factors using real-world population-level data.MethodsWe conducted a cross-sectional retrospective cohort study to estimate health utilities in people with and without HCV infection in Ontario, Canada, from 2000 to 2014 using linked survey data from the Canadian Community Health Survey and health administrative data. Utilities were derived from the Health Utilities Index Mark 3 instrument. We used propensity score matching and multivariable linear regression to examine the impact of HCV infection on utility scores while adjusting for clinical and sociodemographic factors.ResultsThere were 7,102 individuals with hepatitis C status and health utility data available (506 HCV-positive, 6,596 HCV-negative). Factors associated with marginalization were more prevalent in the HCV-positive cohort (e.g., household income <$20,000: 36% versus 15%). Propensity score matching resulted in 454 matched pairs of HCV-positive and HCV-negative individuals. HCV-positive individuals had substantially lower unadjusted utilities than HCV-negative individuals did (mean ± standard error: 0.662 ± 0.016 versus 0.734 ± 0.015). The regression model showed that HCV positivity (coefficient: -0.066), age, comorbidity, mental health history, and household income had large impacts on health utility.ConclusionsHCV infection is associated with low health utility even after controlling for clinical and sociodemographic variables. Individuals with HCV infection may benefit from additional social services and supports alongside antiviral therapy to improve their quality of life.HighlightsHepatitis C virus (HCV) infection is associated with reduced quality of life and health utility. There is debate in the literature on whether this is primarily due to HCV infection itself or commonly co-occurring patient characteristics such as low income and mental health issues.We showed that individuals with HCV infection have substantially lower health utilities than uninfected individuals do even after controlling for clinical and sociodemographic variables, based on a large, real-world population-level dataset. Socioeconomically marginalized individuals with HCV infection had particularly low health utilities.In addition to improving access to HCV testing and treatment, it may be beneficial to provide social services such as mental health and financial supports to improve the quality of life and health utility of people living with HCV.

求助全文
通过发布文献求助,成功后即可免费获取论文全文。 去求助
来源期刊
Medical Decision Making
Medical Decision Making 医学-卫生保健
CiteScore
6.50
自引率
5.60%
发文量
146
审稿时长
6-12 weeks
期刊介绍: Medical Decision Making offers rigorous and systematic approaches to decision making that are designed to improve the health and clinical care of individuals and to assist with health care policy development. Using the fundamentals of decision analysis and theory, economic evaluation, and evidence based quality assessment, Medical Decision Making presents both theoretical and practical statistical and modeling techniques and methods from a variety of disciplines.
×
引用
GB/T 7714-2015
复制
MLA
复制
APA
复制
导出至
BibTeX EndNote RefMan NoteFirst NoteExpress
×
提示
您的信息不完整,为了账户安全,请先补充。
现在去补充
×
提示
您因"违规操作"
具体请查看互助需知
我知道了
×
提示
确定
请完成安全验证×
copy
已复制链接
快去分享给好友吧!
我知道了
右上角分享
点击右上角分享
0
联系我们:info@booksci.cn Book学术提供免费学术资源搜索服务,方便国内外学者检索中英文文献。致力于提供最便捷和优质的服务体验。 Copyright © 2023 布克学术 All rights reserved.
京ICP备2023020795号-1
ghs 京公网安备 11010802042870号
Book学术文献互助
Book学术文献互助群
群 号:604180095
Book学术官方微信