ChatGPT 在简化和改进疫苗接种知情同意书方面的潜在作用:在意大利开展的一项试点研究。

IF 4.4 Q1 HEALTH CARE SCIENCES & SERVICES
Claudia Cosma, Alessio Radi, Rachele Cattano, Patrizio Zanobini, Guglielmo Bonaccorsi, Chiara Lorini, Marco Del Riccio
{"title":"ChatGPT 在简化和改进疫苗接种知情同意书方面的潜在作用:在意大利开展的一项试点研究。","authors":"Claudia Cosma, Alessio Radi, Rachele Cattano, Patrizio Zanobini, Guglielmo Bonaccorsi, Chiara Lorini, Marco Del Riccio","doi":"10.1136/bmjhci-2024-101248","DOIUrl":null,"url":null,"abstract":"<p><strong>Objectives: </strong>Informed consent forms are important for assisting patients in making informed choices regarding medical procedures. Because of their lengthy nature, complexity and specialised terminology, consent forms usually prove challenging for the general public to comprehend. This pilot study aims to use Chat Generative Pretrained Transformer (ChatGPT), a large language model (LLM), to improve the readability and understandability of a consent form for vaccination.</p><p><strong>Methods: </strong>The study was conducted in Italy, within the Central Tuscany Local Health Unit. Three different consent forms were selected and approved: the standard consent form currently in use (A), a new form totally generated by ChatGPT (B) and a modified version of the standard form created by ChatGPT (C). Healthcare professionals in the vaccination unit were asked to evaluate the consent forms regarding adequacy, comprehensibility and completeness and to give an overall judgement. The Kruskal-Wallis test and Dunn's test were used to evaluate the median scores of the consent forms across these variables.</p><p><strong>Results: </strong>Consent forms A and C achieved the top scores in every category; consent form B obtained the lowest score. The median scores were 4.0 for adequacy on consent forms A and C and 3.0 on consent form B. Consent forms A and C received high overall judgement ratings with median scores of 4.0, whereas consent form B received a median score of 3.0.</p><p><strong>Conclusions: </strong>The findings indicate that LLM tools such as ChatGPT could enhance healthcare communication by improving the clarity and accessibility of consent forms, but the best results are seen when these tools are combined with human knowledge and supervision.</p>","PeriodicalId":9050,"journal":{"name":"BMJ Health & Care Informatics","volume":"32 1","pages":""},"PeriodicalIF":4.4000,"publicationDate":"2025-02-22","publicationTypes":"Journal Article","fieldsOfStudy":null,"isOpenAccess":false,"openAccessPdf":"https://www.ncbi.nlm.nih.gov/pmc/articles/PMC11848659/pdf/","citationCount":"0","resultStr":"{\"title\":\"Potential role of ChatGPT in simplifying and improving informed consent forms for vaccination: a pilot study conducted in Italy.\",\"authors\":\"Claudia Cosma, Alessio Radi, Rachele Cattano, Patrizio Zanobini, Guglielmo Bonaccorsi, Chiara Lorini, Marco Del Riccio\",\"doi\":\"10.1136/bmjhci-2024-101248\",\"DOIUrl\":null,\"url\":null,\"abstract\":\"<p><strong>Objectives: </strong>Informed consent forms are important for assisting patients in making informed choices regarding medical procedures. Because of their lengthy nature, complexity and specialised terminology, consent forms usually prove challenging for the general public to comprehend. This pilot study aims to use Chat Generative Pretrained Transformer (ChatGPT), a large language model (LLM), to improve the readability and understandability of a consent form for vaccination.</p><p><strong>Methods: </strong>The study was conducted in Italy, within the Central Tuscany Local Health Unit. Three different consent forms were selected and approved: the standard consent form currently in use (A), a new form totally generated by ChatGPT (B) and a modified version of the standard form created by ChatGPT (C). Healthcare professionals in the vaccination unit were asked to evaluate the consent forms regarding adequacy, comprehensibility and completeness and to give an overall judgement. The Kruskal-Wallis test and Dunn's test were used to evaluate the median scores of the consent forms across these variables.</p><p><strong>Results: </strong>Consent forms A and C achieved the top scores in every category; consent form B obtained the lowest score. The median scores were 4.0 for adequacy on consent forms A and C and 3.0 on consent form B. Consent forms A and C received high overall judgement ratings with median scores of 4.0, whereas consent form B received a median score of 3.0.</p><p><strong>Conclusions: </strong>The findings indicate that LLM tools such as ChatGPT could enhance healthcare communication by improving the clarity and accessibility of consent forms, but the best results are seen when these tools are combined with human knowledge and supervision.</p>\",\"PeriodicalId\":9050,\"journal\":{\"name\":\"BMJ Health & Care Informatics\",\"volume\":\"32 1\",\"pages\":\"\"},\"PeriodicalIF\":4.4000,\"publicationDate\":\"2025-02-22\",\"publicationTypes\":\"Journal Article\",\"fieldsOfStudy\":null,\"isOpenAccess\":false,\"openAccessPdf\":\"https://www.ncbi.nlm.nih.gov/pmc/articles/PMC11848659/pdf/\",\"citationCount\":\"0\",\"resultStr\":null,\"platform\":\"Semanticscholar\",\"paperid\":null,\"PeriodicalName\":\"BMJ Health & Care Informatics\",\"FirstCategoryId\":\"1085\",\"ListUrlMain\":\"https://doi.org/10.1136/bmjhci-2024-101248\",\"RegionNum\":0,\"RegionCategory\":null,\"ArticlePicture\":[],\"TitleCN\":null,\"AbstractTextCN\":null,\"PMCID\":null,\"EPubDate\":\"\",\"PubModel\":\"\",\"JCR\":\"Q1\",\"JCRName\":\"HEALTH CARE SCIENCES & SERVICES\",\"Score\":null,\"Total\":0}","platform":"Semanticscholar","paperid":null,"PeriodicalName":"BMJ Health & Care Informatics","FirstCategoryId":"1085","ListUrlMain":"https://doi.org/10.1136/bmjhci-2024-101248","RegionNum":0,"RegionCategory":null,"ArticlePicture":[],"TitleCN":null,"AbstractTextCN":null,"PMCID":null,"EPubDate":"","PubModel":"","JCR":"Q1","JCRName":"HEALTH CARE SCIENCES & SERVICES","Score":null,"Total":0}
引用次数: 0

摘要

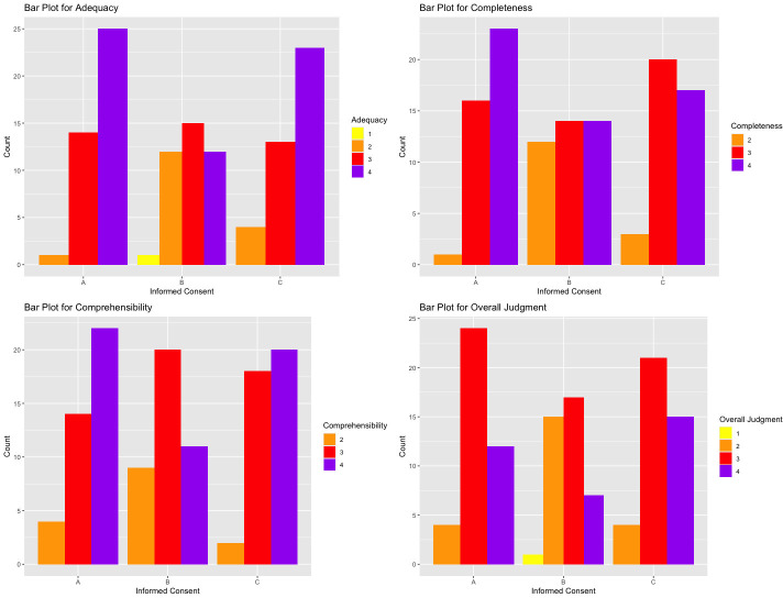
目的:知情同意书对于帮助患者就医疗程序作出知情选择非常重要。由于其冗长的性质、复杂性和专业术语,知情同意书通常对公众来说是具有挑战性的。这项试点研究旨在使用聊天生成预训练转换器(ChatGPT),一种大型语言模型(LLM),以提高疫苗接种同意书的可读性和可理解性。方法:该研究在意大利托斯卡纳中部地方卫生单位进行。选择并批准了三种不同的同意书:目前使用的标准同意书(A),完全由ChatGPT生成的新表格(B)和由ChatGPT创建的标准表格的修改版本(C)。要求疫苗接种单位的医疗保健专业人员对同意书的充分性、可理解性和完整性进行评估,并给出总体判断。使用Kruskal-Wallis测试和Dunn测试来评估这些变量的同意书的中位数得分。结果:A、C两份同意书在各单项得分均达到最高分;B同意书得分最低。同意书A和C的充分性中位数得分为4.0,同意书B的充分性中位数得分为3.0。同意书A和C的整体判断评分较高,中位数得分为4.0,而同意书B的中位数得分为3.0。结论:研究结果表明,ChatGPT等法学硕士工具可以通过提高知情同意书的清晰度和可访问性来增强医疗保健沟通,但当这些工具与人类知识和监督相结合时,效果最好。
本文章由计算机程序翻译,如有差异,请以英文原文为准。

Potential role of ChatGPT in simplifying and improving informed consent forms for vaccination: a pilot study conducted in Italy.

Potential role of ChatGPT in simplifying and improving informed consent forms for vaccination: a pilot study conducted in Italy.

Objectives: Informed consent forms are important for assisting patients in making informed choices regarding medical procedures. Because of their lengthy nature, complexity and specialised terminology, consent forms usually prove challenging for the general public to comprehend. This pilot study aims to use Chat Generative Pretrained Transformer (ChatGPT), a large language model (LLM), to improve the readability and understandability of a consent form for vaccination.

Methods: The study was conducted in Italy, within the Central Tuscany Local Health Unit. Three different consent forms were selected and approved: the standard consent form currently in use (A), a new form totally generated by ChatGPT (B) and a modified version of the standard form created by ChatGPT (C). Healthcare professionals in the vaccination unit were asked to evaluate the consent forms regarding adequacy, comprehensibility and completeness and to give an overall judgement. The Kruskal-Wallis test and Dunn's test were used to evaluate the median scores of the consent forms across these variables.

Results: Consent forms A and C achieved the top scores in every category; consent form B obtained the lowest score. The median scores were 4.0 for adequacy on consent forms A and C and 3.0 on consent form B. Consent forms A and C received high overall judgement ratings with median scores of 4.0, whereas consent form B received a median score of 3.0.

Conclusions: The findings indicate that LLM tools such as ChatGPT could enhance healthcare communication by improving the clarity and accessibility of consent forms, but the best results are seen when these tools are combined with human knowledge and supervision.

求助全文
通过发布文献求助,成功后即可免费获取论文全文。 去求助
来源期刊
CiteScore
6.10
自引率
4.90%
发文量
40
审稿时长
18 weeks
×
引用
GB/T 7714-2015
复制
MLA
复制
APA
复制
导出至
BibTeX EndNote RefMan NoteFirst NoteExpress
×
提示
您的信息不完整,为了账户安全,请先补充。
现在去补充
×
提示
您因"违规操作"
具体请查看互助需知
我知道了
×
提示
确定
请完成安全验证×
copy
已复制链接
快去分享给好友吧!
我知道了
右上角分享
点击右上角分享
0
联系我们:info@booksci.cn Book学术提供免费学术资源搜索服务,方便国内外学者检索中英文文献。致力于提供最便捷和优质的服务体验。 Copyright © 2023 布克学术 All rights reserved.
京ICP备2023020795号-1
ghs 京公网安备 11010802042870号
Book学术文献互助
Book学术文献互助群
群 号:604180095
Book学术官方微信