所有解剖型柄的长期存活率都一样吗?一项基于地区登记的研究,根据柄长度和颈部模块化程度,对 12010 例全髋关节置换术植入物进行了分析。

IF 3.7 2区 医学 Q1 ORTHOPEDICS
Alberto Di Martino, Valentino Rossomando, Barbara Bordini, Matteo Brunello, Riccardo Ferri, Cesare Faldini
{"title":"所有解剖型柄的长期存活率都一样吗?一项基于地区登记的研究,根据柄长度和颈部模块化程度,对 12010 例全髋关节置换术植入物进行了分析。","authors":"Alberto Di Martino, Valentino Rossomando, Barbara Bordini, Matteo Brunello, Riccardo Ferri, Cesare Faldini","doi":"10.1186/s10195-025-00824-3","DOIUrl":null,"url":null,"abstract":"<p><strong>Background: </strong>Anatomic stems for total hip arthroplasty (THA) have been developed to achieve a precise geometric fit between the implant and the surrounding femoral bone, aiming at the improvement of primary stability of cementless implants until osteointegration occurs. The aim of the current study is to go over the regional Registry of Orthopaedic Prosthetic Implants (RIPO) to analyze survivorship of THA implants when anatomic stems are used; moreover, separate analysis for modular and nonmodular stems, and in standard and short implants, is presented.</p><p><strong>Materials and methods: </strong>This retrospective registry study involved the analysis of data collected by the RIPO registry between 2000 and 2019. The study focused on THAs performed for primary hip osteoarthritis (OA) between 2000 and 2019. All patients treated by THA within this time frame and officially registered in the RIPO registry were included in the study. Exclusion criteria were: revision THAs, cemented implants, hemiarthroplasties, resurfacing procedures, megaprostheses for neoplastic and non-neoplastic conditions, and THAs performed on patients residing outside the region.</p><p><strong>Results: </strong>A total of 12,010 cementless primary THAs using curved anatomic stems were performed in Emilia-Romagna between 2000 and 2019 and formally registered in the RIPO registry. The overall survival rate for anatomic standard stems was 96.7% at 10 years (96.1-97.3%); at 15 from the surgery, the survival rate dropped to 95.1% (93.9-96.1%). A total of 473 out of 12,010 recorded THA with anatomic stems (3.93%) experienced failure requiring revision surgery. The fixed standard stem showed the lowest failure rate (0.6%), while modular short stems had the highest (7.4%) at long-term follow-up. The most common stem-related complication was periprosthetic fracture (PF) in short stems (2.0% of cases) while in standard stems it was implant breakage (0.9% of cases); PFs were significantly more frequent in female patients (p = 0.0082), with a relative risk (RR) of 1.59 compared with male patients. Implant breakage demonstrated the highest rate of incidence among standard-modular stems (1.1% of cases).</p><p><strong>Conclusions: </strong>This registry-based study highlights that stem length and modularity significantly affect the long-term survival of anatomic femoral stems in THA. Fixed standard stems had the lowest failure rates, while modular short stems showed the highest failure rates and complications.</p><p><strong>Level of evidence: 3: </strong></p>","PeriodicalId":48603,"journal":{"name":"Journal of Orthopaedics and Traumatology","volume":"26 1","pages":"9"},"PeriodicalIF":3.7000,"publicationDate":"2025-02-21","publicationTypes":"Journal Article","fieldsOfStudy":null,"isOpenAccess":false,"openAccessPdf":"https://www.ncbi.nlm.nih.gov/pmc/articles/PMC11845650/pdf/","citationCount":"0","resultStr":"{\"title\":\"Do all anatomic stems perform equally at long-term survival? A regional registry-based study on 12,010 total hip arthroplasty implants according to stem length and neck modularity.\",\"authors\":\"Alberto Di Martino, Valentino Rossomando, Barbara Bordini, Matteo Brunello, Riccardo Ferri, Cesare Faldini\",\"doi\":\"10.1186/s10195-025-00824-3\",\"DOIUrl\":null,\"url\":null,\"abstract\":\"<p><strong>Background: </strong>Anatomic stems for total hip arthroplasty (THA) have been developed to achieve a precise geometric fit between the implant and the surrounding femoral bone, aiming at the improvement of primary stability of cementless implants until osteointegration occurs. The aim of the current study is to go over the regional Registry of Orthopaedic Prosthetic Implants (RIPO) to analyze survivorship of THA implants when anatomic stems are used; moreover, separate analysis for modular and nonmodular stems, and in standard and short implants, is presented.</p><p><strong>Materials and methods: </strong>This retrospective registry study involved the analysis of data collected by the RIPO registry between 2000 and 2019. The study focused on THAs performed for primary hip osteoarthritis (OA) between 2000 and 2019. All patients treated by THA within this time frame and officially registered in the RIPO registry were included in the study. Exclusion criteria were: revision THAs, cemented implants, hemiarthroplasties, resurfacing procedures, megaprostheses for neoplastic and non-neoplastic conditions, and THAs performed on patients residing outside the region.</p><p><strong>Results: </strong>A total of 12,010 cementless primary THAs using curved anatomic stems were performed in Emilia-Romagna between 2000 and 2019 and formally registered in the RIPO registry. The overall survival rate for anatomic standard stems was 96.7% at 10 years (96.1-97.3%); at 15 from the surgery, the survival rate dropped to 95.1% (93.9-96.1%). A total of 473 out of 12,010 recorded THA with anatomic stems (3.93%) experienced failure requiring revision surgery. The fixed standard stem showed the lowest failure rate (0.6%), while modular short stems had the highest (7.4%) at long-term follow-up. The most common stem-related complication was periprosthetic fracture (PF) in short stems (2.0% of cases) while in standard stems it was implant breakage (0.9% of cases); PFs were significantly more frequent in female patients (p = 0.0082), with a relative risk (RR) of 1.59 compared with male patients. Implant breakage demonstrated the highest rate of incidence among standard-modular stems (1.1% of cases).</p><p><strong>Conclusions: </strong>This registry-based study highlights that stem length and modularity significantly affect the long-term survival of anatomic femoral stems in THA. Fixed standard stems had the lowest failure rates, while modular short stems showed the highest failure rates and complications.</p><p><strong>Level of evidence: 3: </strong></p>\",\"PeriodicalId\":48603,\"journal\":{\"name\":\"Journal of Orthopaedics and Traumatology\",\"volume\":\"26 1\",\"pages\":\"9\"},\"PeriodicalIF\":3.7000,\"publicationDate\":\"2025-02-21\",\"publicationTypes\":\"Journal Article\",\"fieldsOfStudy\":null,\"isOpenAccess\":false,\"openAccessPdf\":\"https://www.ncbi.nlm.nih.gov/pmc/articles/PMC11845650/pdf/\",\"citationCount\":\"0\",\"resultStr\":null,\"platform\":\"Semanticscholar\",\"paperid\":null,\"PeriodicalName\":\"Journal of Orthopaedics and Traumatology\",\"FirstCategoryId\":\"3\",\"ListUrlMain\":\"https://doi.org/10.1186/s10195-025-00824-3\",\"RegionNum\":2,\"RegionCategory\":\"医学\",\"ArticlePicture\":[],\"TitleCN\":null,\"AbstractTextCN\":null,\"PMCID\":null,\"EPubDate\":\"\",\"PubModel\":\"\",\"JCR\":\"Q1\",\"JCRName\":\"ORTHOPEDICS\",\"Score\":null,\"Total\":0}","platform":"Semanticscholar","paperid":null,"PeriodicalName":"Journal of Orthopaedics and Traumatology","FirstCategoryId":"3","ListUrlMain":"https://doi.org/10.1186/s10195-025-00824-3","RegionNum":2,"RegionCategory":"医学","ArticlePicture":[],"TitleCN":null,"AbstractTextCN":null,"PMCID":null,"EPubDate":"","PubModel":"","JCR":"Q1","JCRName":"ORTHOPEDICS","Score":null,"Total":0}
引用次数: 0

摘要

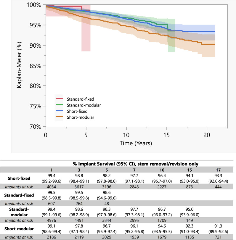
背景:用于全髋关节置换术(THA)的解剖柄已经被开发出来,以实现假体与周围股骨之间精确的几何拟合,旨在改善无骨水泥假体的初始稳定性,直到骨整合发生。当前研究的目的是通过区域骨科假体植入注册(RIPO)来分析使用解剖系统时THA植入物的存活情况;此外,单独分析模块化和非模块化的茎,并在标准和短种植体,提出。材料和方法:这项回顾性登记研究涉及对2000年至2019年期间RIPO登记处收集的数据进行分析。该研究的重点是2000年至2019年期间为原发性髋关节骨关节炎(OA)进行的tha。所有在此时间段内接受THA治疗并在RIPO登记处正式登记的患者均纳入研究。排除标准为:翻修tha、骨水泥植入物、半关节置换术、表面置换手术、肿瘤和非肿瘤条件下的大型假体,以及居住在该地区以外的患者进行的tha。结果:在2000年至2019年期间,在艾米利亚-罗马涅共进行了12,010例使用弯曲解剖茎的无水泥初级tha,并在RIPO登记处正式注册。解剖标准茎10年总生存率为96.7% (96.1-97.3%);术后15岁生存率降至95.1%(93.9% ~ 96.1%)。在12,010例有解剖性干的THA中,共有473例(3.93%)失败,需要翻修手术。在长期随访中,固定标准杆的失败率最低(0.6%),而模块化短杆的失败率最高(7.4%)。短柄最常见的并发症是假体周围骨折(PF)(2.0%),而标准柄最常见的并发症是假体断裂(0.9%);女性患者PFs发生率显著高于男性患者(p = 0.0082),相对危险度(RR)为1.59。种植体断裂在标准模组中发生率最高(1.1%)。结论:这项基于注册表的研究强调了股骨柄长度和模块性显著影响THA解剖股骨柄的长期存活。固定标准杆的故障率最低,而模块化短杆的故障率和并发症最高。证据等级:3;
本文章由计算机程序翻译,如有差异,请以英文原文为准。

Do all anatomic stems perform equally at long-term survival? A regional registry-based study on 12,010 total hip arthroplasty implants according to stem length and neck modularity.

Do all anatomic stems perform equally at long-term survival? A regional registry-based study on 12,010 total hip arthroplasty implants according to stem length and neck modularity.

Do all anatomic stems perform equally at long-term survival? A regional registry-based study on 12,010 total hip arthroplasty implants according to stem length and neck modularity.

Background: Anatomic stems for total hip arthroplasty (THA) have been developed to achieve a precise geometric fit between the implant and the surrounding femoral bone, aiming at the improvement of primary stability of cementless implants until osteointegration occurs. The aim of the current study is to go over the regional Registry of Orthopaedic Prosthetic Implants (RIPO) to analyze survivorship of THA implants when anatomic stems are used; moreover, separate analysis for modular and nonmodular stems, and in standard and short implants, is presented.

Materials and methods: This retrospective registry study involved the analysis of data collected by the RIPO registry between 2000 and 2019. The study focused on THAs performed for primary hip osteoarthritis (OA) between 2000 and 2019. All patients treated by THA within this time frame and officially registered in the RIPO registry were included in the study. Exclusion criteria were: revision THAs, cemented implants, hemiarthroplasties, resurfacing procedures, megaprostheses for neoplastic and non-neoplastic conditions, and THAs performed on patients residing outside the region.

Results: A total of 12,010 cementless primary THAs using curved anatomic stems were performed in Emilia-Romagna between 2000 and 2019 and formally registered in the RIPO registry. The overall survival rate for anatomic standard stems was 96.7% at 10 years (96.1-97.3%); at 15 from the surgery, the survival rate dropped to 95.1% (93.9-96.1%). A total of 473 out of 12,010 recorded THA with anatomic stems (3.93%) experienced failure requiring revision surgery. The fixed standard stem showed the lowest failure rate (0.6%), while modular short stems had the highest (7.4%) at long-term follow-up. The most common stem-related complication was periprosthetic fracture (PF) in short stems (2.0% of cases) while in standard stems it was implant breakage (0.9% of cases); PFs were significantly more frequent in female patients (p = 0.0082), with a relative risk (RR) of 1.59 compared with male patients. Implant breakage demonstrated the highest rate of incidence among standard-modular stems (1.1% of cases).

Conclusions: This registry-based study highlights that stem length and modularity significantly affect the long-term survival of anatomic femoral stems in THA. Fixed standard stems had the lowest failure rates, while modular short stems showed the highest failure rates and complications.

Level of evidence: 3:

求助全文
通过发布文献求助,成功后即可免费获取论文全文。 去求助
来源期刊
Journal of Orthopaedics and Traumatology
Journal of Orthopaedics and Traumatology Medicine-Orthopedics and Sports Medicine
CiteScore
4.30
自引率
0.00%
发文量
56
审稿时长
13 weeks
期刊介绍: The Journal of Orthopaedics and Traumatology, the official open access peer-reviewed journal of the Italian Society of Orthopaedics and Traumatology, publishes original papers reporting basic or clinical research in the field of orthopaedic and traumatologic surgery, as well as systematic reviews, brief communications, case reports and letters to the Editor. Narrative instructional reviews and commentaries to original articles may be commissioned by Editors from eminent colleagues. The Journal of Orthopaedics and Traumatology aims to be an international forum for the communication and exchange of ideas concerning the various aspects of orthopaedics and musculoskeletal trauma.
×
引用
GB/T 7714-2015
复制
MLA
复制
APA
复制
导出至
BibTeX EndNote RefMan NoteFirst NoteExpress
×
提示
您的信息不完整,为了账户安全,请先补充。
现在去补充
×
提示
您因"违规操作"
具体请查看互助需知
我知道了
×
提示
确定
请完成安全验证×
copy
已复制链接
快去分享给好友吧!
我知道了
右上角分享
点击右上角分享
0
联系我们:info@booksci.cn Book学术提供免费学术资源搜索服务,方便国内外学者检索中英文文献。致力于提供最便捷和优质的服务体验。 Copyright © 2023 布克学术 All rights reserved.
京ICP备2023020795号-1
ghs 京公网安备 11010802042870号
Book学术文献互助
Book学术文献互助群
群 号:604180095
Book学术官方微信