低血清甲基乙二醛水平与银屑病严重程度和炎症反应指数相关。

IF 2.6 Q2 PATHOLOGY
Aleksandra Damasiewicz-Bodzek, Agnieszka Nowak, Maciej Maciejczyk, Sławomir Waligóra, Brygida Przywara-Chowaniec
{"title":"低血清甲基乙二醛水平与银屑病严重程度和炎症反应指数相关。","authors":"Aleksandra Damasiewicz-Bodzek, Agnieszka Nowak, Maciej Maciejczyk, Sławomir Waligóra, Brygida Przywara-Chowaniec","doi":"10.3390/pathophysiology32010008","DOIUrl":null,"url":null,"abstract":"<p><p>Psoriasis is a multifactorial inflammatory disease. Methylglyoxal (MG) is a highly reactive dicarbonyl compound responsible for dicarbonyl stress in some inflammatory conditions, and it may play a role in the etiopathogenesis of psoriasis. <b>Methods:</b> A total of 50 patients with psoriasis and 35 healthy individuals participated in this study. The following indices were assessed in patients: Body Surface Area (BSA), Psoriasis Area and Severity Index (PASI), and Dermatology Life Quality Index (DLQI). MG concentration was evaluated in blood samples. The following inflammatory response indices were calculated: Systemic Inflammation Response Index (SIRI), Systemic Immuno-inflammation Index (SII), and Aggregate Index of Systemic Inflammation (AISI). <b>Results:</b> An analysis of the obtained data showed a statistically significant decrease in the mean serum MG concentration in patients with psoriasis when compared to the healthy individuals (1.19 ± 0.4 μg/mL vs. 1.75 ± 0.6 μg/mL; <i>p</i> = 0.000002). In the patients, MG concentration correlated negatively with psoriasis disease severity indicators (BSA and PASI), C-reactive protein (CRP) concentration, and inflammatory response indicators (SII and AISI). <b>Conclusions:</b> The decreased concentration of MG may be attributed to an increased accumulation of its derivatives (advanced glycation end-products) in the inflamed skin and/or scavenging by polyamines.</p>","PeriodicalId":19852,"journal":{"name":"Pathophysiology","volume":"32 1","pages":""},"PeriodicalIF":2.6000,"publicationDate":"2025-02-03","publicationTypes":"Journal Article","fieldsOfStudy":null,"isOpenAccess":false,"openAccessPdf":"https://www.ncbi.nlm.nih.gov/pmc/articles/PMC11843881/pdf/","citationCount":"0","resultStr":"{\"title\":\"Low Serum Methylglyoxal Levels Correlate with Psoriasis Severity and Inflammatory Response Indices.\",\"authors\":\"Aleksandra Damasiewicz-Bodzek, Agnieszka Nowak, Maciej Maciejczyk, Sławomir Waligóra, Brygida Przywara-Chowaniec\",\"doi\":\"10.3390/pathophysiology32010008\",\"DOIUrl\":null,\"url\":null,\"abstract\":\"<p><p>Psoriasis is a multifactorial inflammatory disease. Methylglyoxal (MG) is a highly reactive dicarbonyl compound responsible for dicarbonyl stress in some inflammatory conditions, and it may play a role in the etiopathogenesis of psoriasis. <b>Methods:</b> A total of 50 patients with psoriasis and 35 healthy individuals participated in this study. The following indices were assessed in patients: Body Surface Area (BSA), Psoriasis Area and Severity Index (PASI), and Dermatology Life Quality Index (DLQI). MG concentration was evaluated in blood samples. The following inflammatory response indices were calculated: Systemic Inflammation Response Index (SIRI), Systemic Immuno-inflammation Index (SII), and Aggregate Index of Systemic Inflammation (AISI). <b>Results:</b> An analysis of the obtained data showed a statistically significant decrease in the mean serum MG concentration in patients with psoriasis when compared to the healthy individuals (1.19 ± 0.4 μg/mL vs. 1.75 ± 0.6 μg/mL; <i>p</i> = 0.000002). In the patients, MG concentration correlated negatively with psoriasis disease severity indicators (BSA and PASI), C-reactive protein (CRP) concentration, and inflammatory response indicators (SII and AISI). <b>Conclusions:</b> The decreased concentration of MG may be attributed to an increased accumulation of its derivatives (advanced glycation end-products) in the inflamed skin and/or scavenging by polyamines.</p>\",\"PeriodicalId\":19852,\"journal\":{\"name\":\"Pathophysiology\",\"volume\":\"32 1\",\"pages\":\"\"},\"PeriodicalIF\":2.6000,\"publicationDate\":\"2025-02-03\",\"publicationTypes\":\"Journal Article\",\"fieldsOfStudy\":null,\"isOpenAccess\":false,\"openAccessPdf\":\"https://www.ncbi.nlm.nih.gov/pmc/articles/PMC11843881/pdf/\",\"citationCount\":\"0\",\"resultStr\":null,\"platform\":\"Semanticscholar\",\"paperid\":null,\"PeriodicalName\":\"Pathophysiology\",\"FirstCategoryId\":\"1085\",\"ListUrlMain\":\"https://doi.org/10.3390/pathophysiology32010008\",\"RegionNum\":0,\"RegionCategory\":null,\"ArticlePicture\":[],\"TitleCN\":null,\"AbstractTextCN\":null,\"PMCID\":null,\"EPubDate\":\"\",\"PubModel\":\"\",\"JCR\":\"Q2\",\"JCRName\":\"PATHOLOGY\",\"Score\":null,\"Total\":0}","platform":"Semanticscholar","paperid":null,"PeriodicalName":"Pathophysiology","FirstCategoryId":"1085","ListUrlMain":"https://doi.org/10.3390/pathophysiology32010008","RegionNum":0,"RegionCategory":null,"ArticlePicture":[],"TitleCN":null,"AbstractTextCN":null,"PMCID":null,"EPubDate":"","PubModel":"","JCR":"Q2","JCRName":"PATHOLOGY","Score":null,"Total":0}
引用次数: 0

摘要

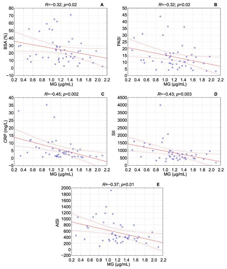
银屑病是一种多因素炎症性疾病。甲基乙二醛(MG)是一种高活性二羰基化合物,在某些炎症中造成二羰基应激,它可能在银屑病的发病机制中发挥作用。研究方法共有 50 名银屑病患者和 35 名健康人参与了这项研究。对患者的以下指标进行了评估:体表面积(BSA)、银屑病面积和严重程度指数(PASI)以及皮肤病生活质量指数(DLQI)。对血液样本中的 MG 浓度进行了评估。计算了以下炎症反应指数:系统炎症反应指数(SIRI)、系统免疫炎症指数(SII)和系统炎症综合指数(AISI)。结果显示对所得数据的分析表明,与健康人相比,银屑病患者血清中 MG 的平均浓度明显下降(1.19 ± 0.4 μg/mL vs. 1.75 ± 0.6 μg/mL; p = 0.000002)。在患者中,MG浓度与银屑病疾病严重程度指标(BSA和PASI)、C反应蛋白(CRP)浓度和炎症反应指标(SII和AISI)呈负相关。结论MG 浓度降低的原因可能是其衍生物(高级糖化终产物)在发炎皮肤中的积累增加和/或被多胺清除。
本文章由计算机程序翻译,如有差异,请以英文原文为准。

Low Serum Methylglyoxal Levels Correlate with Psoriasis Severity and Inflammatory Response Indices.

Low Serum Methylglyoxal Levels Correlate with Psoriasis Severity and Inflammatory Response Indices.

Low Serum Methylglyoxal Levels Correlate with Psoriasis Severity and Inflammatory Response Indices.

Low Serum Methylglyoxal Levels Correlate with Psoriasis Severity and Inflammatory Response Indices.

Psoriasis is a multifactorial inflammatory disease. Methylglyoxal (MG) is a highly reactive dicarbonyl compound responsible for dicarbonyl stress in some inflammatory conditions, and it may play a role in the etiopathogenesis of psoriasis. Methods: A total of 50 patients with psoriasis and 35 healthy individuals participated in this study. The following indices were assessed in patients: Body Surface Area (BSA), Psoriasis Area and Severity Index (PASI), and Dermatology Life Quality Index (DLQI). MG concentration was evaluated in blood samples. The following inflammatory response indices were calculated: Systemic Inflammation Response Index (SIRI), Systemic Immuno-inflammation Index (SII), and Aggregate Index of Systemic Inflammation (AISI). Results: An analysis of the obtained data showed a statistically significant decrease in the mean serum MG concentration in patients with psoriasis when compared to the healthy individuals (1.19 ± 0.4 μg/mL vs. 1.75 ± 0.6 μg/mL; p = 0.000002). In the patients, MG concentration correlated negatively with psoriasis disease severity indicators (BSA and PASI), C-reactive protein (CRP) concentration, and inflammatory response indicators (SII and AISI). Conclusions: The decreased concentration of MG may be attributed to an increased accumulation of its derivatives (advanced glycation end-products) in the inflamed skin and/or scavenging by polyamines.

求助全文
通过发布文献求助,成功后即可免费获取论文全文。 去求助
来源期刊
Pathophysiology
Pathophysiology Medicine-Pathology and Forensic Medicine
CiteScore
3.10
自引率
0.00%
发文量
48
期刊介绍: Pathophysiology is an international journal which publishes papers in English which address the etiology, development, and elimination of pathological processes. Contributions on the basic mechanisms underlying these processes, model systems and interdisciplinary approaches are strongly encouraged.
×
引用
GB/T 7714-2015
复制
MLA
复制
APA
复制
导出至
BibTeX EndNote RefMan NoteFirst NoteExpress
×
提示
您的信息不完整,为了账户安全,请先补充。
现在去补充
×
提示
您因"违规操作"
具体请查看互助需知
我知道了
×
提示
确定
请完成安全验证×
copy
已复制链接
快去分享给好友吧!
我知道了
右上角分享
点击右上角分享
0
联系我们:info@booksci.cn Book学术提供免费学术资源搜索服务,方便国内外学者检索中英文文献。致力于提供最便捷和优质的服务体验。 Copyright © 2023 布克学术 All rights reserved.
京ICP备2023020795号-1
ghs 京公网安备 11010802042870号
Book学术文献互助
Book学术文献互助群
群 号:604180095
Book学术官方微信