男性生殖系统抗体药代动力学研究及其翻译PBPK模型表征。

IF 2.7 Q3 IMMUNOLOGY
Antibodies Pub Date : 2025-02-13 DOI:10.3390/antib14010017
Sree Ojili, Dhaval K Shah
{"title":"男性生殖系统抗体药代动力学研究及其翻译PBPK模型表征。","authors":"Sree Ojili, Dhaval K Shah","doi":"10.3390/antib14010017","DOIUrl":null,"url":null,"abstract":"<p><p><b>Objectives:</b> To investigate the pharmacokinetics (PK) of the monoclonal antibody (mAb) in male reproductive tissues and develop a translational physiologically based pharmacokinetic (PBPK) model to characterize the PK data. <b>Method:</b> The PK of a non-cross-reactive antibody (trastuzumab) was investigated in human FcRn-expressing male mice following a 10 mg/kg intravenous dose. The PK in plasma and male reproductive tissues (i.e., epididymis, testes, vas deferens, seminal vesicles, and prostate glands) were evaluated. The observed PK data in mice were mathematically characterized using a novel PBPK model for antibodies that contained male reproductive systems. The mouse PBPK model was scaled to rats, monkeys, and humans to predict the PK of antibodies in male reproductive organs across animal species. <b>Results</b>: Plasma and tissue PK data generated in mice suggest that antibody distribution in male reproductive tissues is generally lower compared to that of most of the organs. The antibody exposure in the testes was 1.70%, in the epididymis was 2.57%, in the vas deferens was 2.01%, in the seminal vesicle was 0.42%, and in the prostate gland was 0.52% of the plasma exposure. The plasma and tissue PK data were simultaneously characterized using the PBPK model, which incorporated the novel male reproductive system. All the predicted PK profiles were within two-fold of the observed data, as indicated by percentage prediction error (%PE) values. The mouse model was successfully translated to bigger animals, and the model was used to simulate the PK of antibodies in rat, monkey, and human male reproductive systems. <b>Conclusions</b>: The combination of the experimental data and novel PBPK model presented here provides unprecedented insights into the antibody distributions in different male reproductive tissues. The PBPK model can serve as a crucial tool for advancing the development of antibody-based therapies for treating sexually transmitted infections (STIs), cancers, and contraceptives.</p>","PeriodicalId":8188,"journal":{"name":"Antibodies","volume":"14 1","pages":""},"PeriodicalIF":2.7000,"publicationDate":"2025-02-13","publicationTypes":"Journal Article","fieldsOfStudy":null,"isOpenAccess":false,"openAccessPdf":"https://www.ncbi.nlm.nih.gov/pmc/articles/PMC11843977/pdf/","citationCount":"0","resultStr":"{\"title\":\"Investigation of Antibody Pharmacokinetics in Male Reproductive System and Its Characterization Using a Translational PBPK Model.\",\"authors\":\"Sree Ojili, Dhaval K Shah\",\"doi\":\"10.3390/antib14010017\",\"DOIUrl\":null,\"url\":null,\"abstract\":\"<p><p><b>Objectives:</b> To investigate the pharmacokinetics (PK) of the monoclonal antibody (mAb) in male reproductive tissues and develop a translational physiologically based pharmacokinetic (PBPK) model to characterize the PK data. <b>Method:</b> The PK of a non-cross-reactive antibody (trastuzumab) was investigated in human FcRn-expressing male mice following a 10 mg/kg intravenous dose. The PK in plasma and male reproductive tissues (i.e., epididymis, testes, vas deferens, seminal vesicles, and prostate glands) were evaluated. The observed PK data in mice were mathematically characterized using a novel PBPK model for antibodies that contained male reproductive systems. The mouse PBPK model was scaled to rats, monkeys, and humans to predict the PK of antibodies in male reproductive organs across animal species. <b>Results</b>: Plasma and tissue PK data generated in mice suggest that antibody distribution in male reproductive tissues is generally lower compared to that of most of the organs. The antibody exposure in the testes was 1.70%, in the epididymis was 2.57%, in the vas deferens was 2.01%, in the seminal vesicle was 0.42%, and in the prostate gland was 0.52% of the plasma exposure. The plasma and tissue PK data were simultaneously characterized using the PBPK model, which incorporated the novel male reproductive system. All the predicted PK profiles were within two-fold of the observed data, as indicated by percentage prediction error (%PE) values. The mouse model was successfully translated to bigger animals, and the model was used to simulate the PK of antibodies in rat, monkey, and human male reproductive systems. <b>Conclusions</b>: The combination of the experimental data and novel PBPK model presented here provides unprecedented insights into the antibody distributions in different male reproductive tissues. The PBPK model can serve as a crucial tool for advancing the development of antibody-based therapies for treating sexually transmitted infections (STIs), cancers, and contraceptives.</p>\",\"PeriodicalId\":8188,\"journal\":{\"name\":\"Antibodies\",\"volume\":\"14 1\",\"pages\":\"\"},\"PeriodicalIF\":2.7000,\"publicationDate\":\"2025-02-13\",\"publicationTypes\":\"Journal Article\",\"fieldsOfStudy\":null,\"isOpenAccess\":false,\"openAccessPdf\":\"https://www.ncbi.nlm.nih.gov/pmc/articles/PMC11843977/pdf/\",\"citationCount\":\"0\",\"resultStr\":null,\"platform\":\"Semanticscholar\",\"paperid\":null,\"PeriodicalName\":\"Antibodies\",\"FirstCategoryId\":\"1085\",\"ListUrlMain\":\"https://doi.org/10.3390/antib14010017\",\"RegionNum\":0,\"RegionCategory\":null,\"ArticlePicture\":[],\"TitleCN\":null,\"AbstractTextCN\":null,\"PMCID\":null,\"EPubDate\":\"\",\"PubModel\":\"\",\"JCR\":\"Q3\",\"JCRName\":\"IMMUNOLOGY\",\"Score\":null,\"Total\":0}","platform":"Semanticscholar","paperid":null,"PeriodicalName":"Antibodies","FirstCategoryId":"1085","ListUrlMain":"https://doi.org/10.3390/antib14010017","RegionNum":0,"RegionCategory":null,"ArticlePicture":[],"TitleCN":null,"AbstractTextCN":null,"PMCID":null,"EPubDate":"","PubModel":"","JCR":"Q3","JCRName":"IMMUNOLOGY","Score":null,"Total":0}
引用次数: 0

摘要

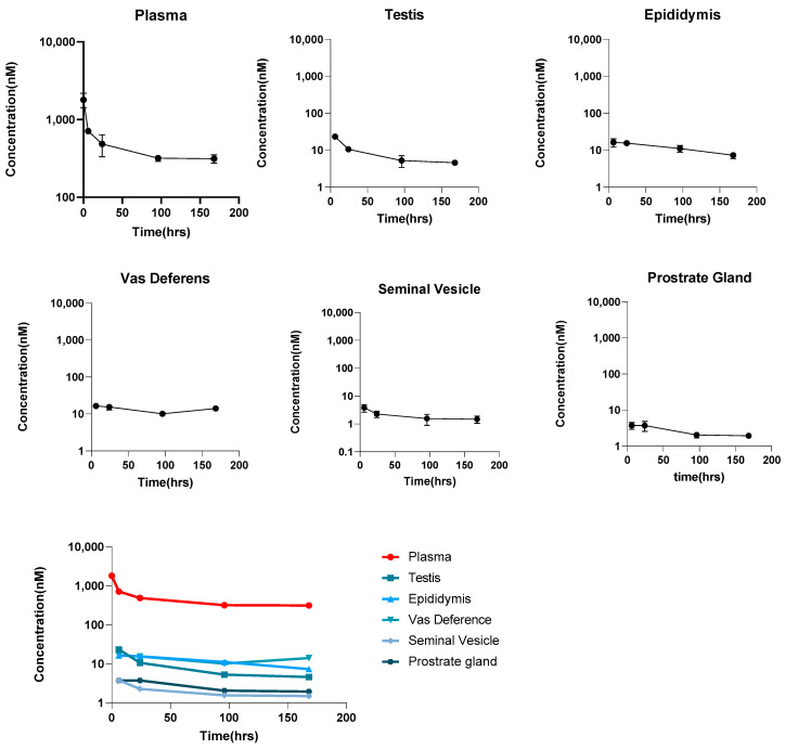
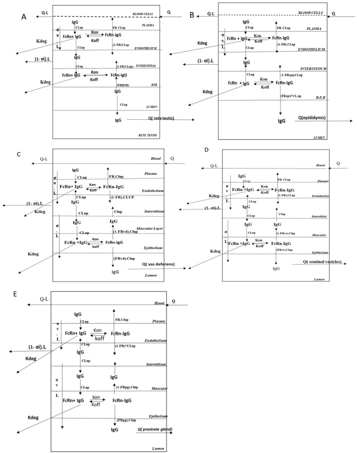
研究目的研究单克隆抗体(mAb)在男性生殖组织中的药代动力学(PK),并建立一个基于生理学的转化药代动力学(PBPK)模型来描述 PK 数据。研究方法研究了一种非交叉反应性抗体(曲妥珠单抗)在人类 FcRn 表达雄性小鼠体内的 PK,静脉注射剂量为 10 mg/kg。对血浆和雄性生殖组织(即附睾、睾丸、输精管、精囊和前列腺)中的 PK 进行了评估。使用包含雄性生殖系统的新型抗体 PBPK 模型对小鼠体内观察到的 PK 数据进行了数学表征。小鼠的 PBPK 模型被放大到大鼠、猴子和人类,以预测不同动物物种的抗体在雄性生殖器官中的 PK。结果小鼠血浆和组织 PK 数据表明,与大多数器官相比,抗体在雄性生殖组织中的分布通常较低。抗体在睾丸中的暴露量为血浆暴露量的 1.70%,在附睾中为 2.57%,在输精管中为 2.01%,在精囊中为 0.42%,在前列腺中为 0.52%。血浆和组织 PK 数据同时使用 PBPK 模型进行表征,该模型纳入了新型男性生殖系统。从预测误差百分比(%PE)值来看,所有预测的 PK 曲线都在观察数据的两倍以内。小鼠模型被成功转化为更大的动物,该模型还被用于模拟抗体在大鼠、猴子和人类雄性生殖系统中的 PK。结论实验数据与新型 PBPK 模型的结合为了解抗体在不同雄性生殖组织中的分布提供了前所未有的见解。该 PBPK 模型可作为一种重要工具,用于推进治疗性传播感染(STI)、癌症和避孕药物的抗体疗法的开发。
本文章由计算机程序翻译,如有差异,请以英文原文为准。

Investigation of Antibody Pharmacokinetics in Male Reproductive System and Its Characterization Using a Translational PBPK Model.

Investigation of Antibody Pharmacokinetics in Male Reproductive System and Its Characterization Using a Translational PBPK Model.

Investigation of Antibody Pharmacokinetics in Male Reproductive System and Its Characterization Using a Translational PBPK Model.

Investigation of Antibody Pharmacokinetics in Male Reproductive System and Its Characterization Using a Translational PBPK Model.

Objectives: To investigate the pharmacokinetics (PK) of the monoclonal antibody (mAb) in male reproductive tissues and develop a translational physiologically based pharmacokinetic (PBPK) model to characterize the PK data. Method: The PK of a non-cross-reactive antibody (trastuzumab) was investigated in human FcRn-expressing male mice following a 10 mg/kg intravenous dose. The PK in plasma and male reproductive tissues (i.e., epididymis, testes, vas deferens, seminal vesicles, and prostate glands) were evaluated. The observed PK data in mice were mathematically characterized using a novel PBPK model for antibodies that contained male reproductive systems. The mouse PBPK model was scaled to rats, monkeys, and humans to predict the PK of antibodies in male reproductive organs across animal species. Results: Plasma and tissue PK data generated in mice suggest that antibody distribution in male reproductive tissues is generally lower compared to that of most of the organs. The antibody exposure in the testes was 1.70%, in the epididymis was 2.57%, in the vas deferens was 2.01%, in the seminal vesicle was 0.42%, and in the prostate gland was 0.52% of the plasma exposure. The plasma and tissue PK data were simultaneously characterized using the PBPK model, which incorporated the novel male reproductive system. All the predicted PK profiles were within two-fold of the observed data, as indicated by percentage prediction error (%PE) values. The mouse model was successfully translated to bigger animals, and the model was used to simulate the PK of antibodies in rat, monkey, and human male reproductive systems. Conclusions: The combination of the experimental data and novel PBPK model presented here provides unprecedented insights into the antibody distributions in different male reproductive tissues. The PBPK model can serve as a crucial tool for advancing the development of antibody-based therapies for treating sexually transmitted infections (STIs), cancers, and contraceptives.

求助全文
通过发布文献求助,成功后即可免费获取论文全文。 去求助
来源期刊
Antibodies
Antibodies IMMUNOLOGY-
CiteScore
7.10
自引率
6.40%
发文量
68
审稿时长
11 weeks
期刊介绍: Antibodies (ISSN 2073-4468), an international, peer-reviewed open access journal which provides an advanced forum for studies related to antibodies and antigens. It publishes reviews, research articles, communications and short notes. Our aim is to encourage scientists to publish their experimental and theoretical results in as much detail as possible. There is no restriction on the length of the papers. Full experimental and/or methodical details must be provided. Electronic files or software regarding the full details of the calculation and experimental procedure - if unable to be published in a normal way - can be deposited as supplementary material. This journal covers all topics related to antibodies and antigens, topics of interest include (but are not limited to): antibody-producing cells (including B cells), antibody structure and function, antibody-antigen interactions, Fc receptors, antibody manufacturing antibody engineering, antibody therapy, immunoassays, antibody diagnosis, tissue antigens, exogenous antigens, endogenous antigens, autoantigens, monoclonal antibodies, natural antibodies, humoral immune responses, immunoregulatory molecules.
×
引用
GB/T 7714-2015
复制
MLA
复制
APA
复制
导出至
BibTeX EndNote RefMan NoteFirst NoteExpress
×
提示
您的信息不完整,为了账户安全,请先补充。
现在去补充
×
提示
您因"违规操作"
具体请查看互助需知
我知道了
×
提示
确定
请完成安全验证×
copy
已复制链接
快去分享给好友吧!
我知道了
右上角分享
点击右上角分享
0
联系我们:info@booksci.cn Book学术提供免费学术资源搜索服务,方便国内外学者检索中英文文献。致力于提供最便捷和优质的服务体验。 Copyright © 2023 布克学术 All rights reserved.
京ICP备2023020795号-1
ghs 京公网安备 11010802042870号
Book学术文献互助
Book学术文献互助群
群 号:604180095
Book学术官方微信