利用化学中间体改进相对自由能计算的收敛性。

IF 2.9 2区 化学 Q3 CHEMISTRY, PHYSICAL
The Journal of Physical Chemistry B Pub Date : 2025-03-06 Epub Date: 2025-02-20 DOI:10.1021/acs.jpcb.4c07156
Linde Schoenmaker, Daan A Jiskoot, Jenke Scheen, Evien Cheng, Vytautas Gapsys, David F Hahn, Benjamin Ries, Gerard J P van Westen, David L Mobley, Willem Jespers
{"title":"利用化学中间体改进相对自由能计算的收敛性。","authors":"Linde Schoenmaker, Daan A Jiskoot, Jenke Scheen, Evien Cheng, Vytautas Gapsys, David F Hahn, Benjamin Ries, Gerard J P van Westen, David L Mobley, Willem Jespers","doi":"10.1021/acs.jpcb.4c07156","DOIUrl":null,"url":null,"abstract":"<p><p>Alchemical free energy calculations are becoming an increasingly prevalent tool in drug discovery efforts. Over the past decade, significant progress has been made in automating various aspects of this technique. However, one aspect hampering wider application is the construction of perturbation networks to connect ligands of interest. More specifically, ligand pairs with large dissimilarities should be avoided since they can lower convergence and decrease accuracy. Here, we propose a technique for automatic generation of intermediate molecules to break up problematic edges─calculations connecting two different ligands or molecules─into smaller perturbations. To this end, a modular tool was developed that generates intermediates for a molecule pair by enumerating R-group combinations called IMERGE-FEP (Intermediate MolEculaR GEnerator for Free Energy Perturbation). Intermediate enumeration of multiple, representative congeneric series showed that intermediates increase similarity regarding shared substructures, geometry, and LOMAP scores. Taken together, this tool eases integration of intermediate steps into free energy calculation protocols.</p>","PeriodicalId":60,"journal":{"name":"The Journal of Physical Chemistry B","volume":" ","pages":"2370-2379"},"PeriodicalIF":2.9000,"publicationDate":"2025-03-06","publicationTypes":"Journal Article","fieldsOfStudy":null,"isOpenAccess":false,"openAccessPdf":"https://www.ncbi.nlm.nih.gov/pmc/articles/PMC11891892/pdf/","citationCount":"0","resultStr":"{\"title\":\"IMERGE-FEP: Improving Relative Free Energy Calculation Convergence with Chemical Intermediates.\",\"authors\":\"Linde Schoenmaker, Daan A Jiskoot, Jenke Scheen, Evien Cheng, Vytautas Gapsys, David F Hahn, Benjamin Ries, Gerard J P van Westen, David L Mobley, Willem Jespers\",\"doi\":\"10.1021/acs.jpcb.4c07156\",\"DOIUrl\":null,\"url\":null,\"abstract\":\"<p><p>Alchemical free energy calculations are becoming an increasingly prevalent tool in drug discovery efforts. Over the past decade, significant progress has been made in automating various aspects of this technique. However, one aspect hampering wider application is the construction of perturbation networks to connect ligands of interest. More specifically, ligand pairs with large dissimilarities should be avoided since they can lower convergence and decrease accuracy. Here, we propose a technique for automatic generation of intermediate molecules to break up problematic edges─calculations connecting two different ligands or molecules─into smaller perturbations. To this end, a modular tool was developed that generates intermediates for a molecule pair by enumerating R-group combinations called IMERGE-FEP (Intermediate MolEculaR GEnerator for Free Energy Perturbation). Intermediate enumeration of multiple, representative congeneric series showed that intermediates increase similarity regarding shared substructures, geometry, and LOMAP scores. Taken together, this tool eases integration of intermediate steps into free energy calculation protocols.</p>\",\"PeriodicalId\":60,\"journal\":{\"name\":\"The Journal of Physical Chemistry B\",\"volume\":\" \",\"pages\":\"2370-2379\"},\"PeriodicalIF\":2.9000,\"publicationDate\":\"2025-03-06\",\"publicationTypes\":\"Journal Article\",\"fieldsOfStudy\":null,\"isOpenAccess\":false,\"openAccessPdf\":\"https://www.ncbi.nlm.nih.gov/pmc/articles/PMC11891892/pdf/\",\"citationCount\":\"0\",\"resultStr\":null,\"platform\":\"Semanticscholar\",\"paperid\":null,\"PeriodicalName\":\"The Journal of Physical Chemistry B\",\"FirstCategoryId\":\"1\",\"ListUrlMain\":\"https://doi.org/10.1021/acs.jpcb.4c07156\",\"RegionNum\":2,\"RegionCategory\":\"化学\",\"ArticlePicture\":[],\"TitleCN\":null,\"AbstractTextCN\":null,\"PMCID\":null,\"EPubDate\":\"2025/2/20 0:00:00\",\"PubModel\":\"Epub\",\"JCR\":\"Q3\",\"JCRName\":\"CHEMISTRY, PHYSICAL\",\"Score\":null,\"Total\":0}","platform":"Semanticscholar","paperid":null,"PeriodicalName":"The Journal of Physical Chemistry B","FirstCategoryId":"1","ListUrlMain":"https://doi.org/10.1021/acs.jpcb.4c07156","RegionNum":2,"RegionCategory":"化学","ArticlePicture":[],"TitleCN":null,"AbstractTextCN":null,"PMCID":null,"EPubDate":"2025/2/20 0:00:00","PubModel":"Epub","JCR":"Q3","JCRName":"CHEMISTRY, PHYSICAL","Score":null,"Total":0}
引用次数: 0

摘要

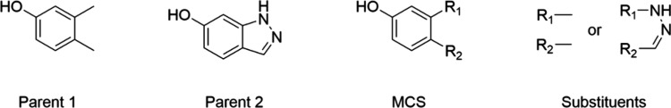
炼金术自由能计算正在成为药物发现工作中越来越普遍的工具。在过去的十年中,这项技术在各个方面的自动化方面取得了重大进展。然而,阻碍其广泛应用的一个方面是构建微扰网络来连接感兴趣的配体。更具体地说,应该避免具有大差异的配体对,因为它们会降低收敛性并降低精度。在这里,我们提出了一种自动生成中间分子的技术,将有问题的边缘──连接两个不同配体或分子的计算──分解成更小的扰动。为此,开发了一个模块化工具,通过枚举r -基团组合来生成分子对的中间产物,称为IMERGE-FEP(自由能扰动中间分子发生器)。多个具有代表性的同源序列的中间枚举表明,中间枚举增加了共享子结构、几何形状和LOMAP分数的相似性。总的来说,该工具简化了将中间步骤集成到自由能计算协议中的过程。
本文章由计算机程序翻译,如有差异,请以英文原文为准。

IMERGE-FEP: Improving Relative Free Energy Calculation Convergence with Chemical Intermediates.

IMERGE-FEP: Improving Relative Free Energy Calculation Convergence with Chemical Intermediates.

IMERGE-FEP: Improving Relative Free Energy Calculation Convergence with Chemical Intermediates.

IMERGE-FEP: Improving Relative Free Energy Calculation Convergence with Chemical Intermediates.

Alchemical free energy calculations are becoming an increasingly prevalent tool in drug discovery efforts. Over the past decade, significant progress has been made in automating various aspects of this technique. However, one aspect hampering wider application is the construction of perturbation networks to connect ligands of interest. More specifically, ligand pairs with large dissimilarities should be avoided since they can lower convergence and decrease accuracy. Here, we propose a technique for automatic generation of intermediate molecules to break up problematic edges─calculations connecting two different ligands or molecules─into smaller perturbations. To this end, a modular tool was developed that generates intermediates for a molecule pair by enumerating R-group combinations called IMERGE-FEP (Intermediate MolEculaR GEnerator for Free Energy Perturbation). Intermediate enumeration of multiple, representative congeneric series showed that intermediates increase similarity regarding shared substructures, geometry, and LOMAP scores. Taken together, this tool eases integration of intermediate steps into free energy calculation protocols.

求助全文
通过发布文献求助,成功后即可免费获取论文全文。 去求助
来源期刊
CiteScore
5.80
自引率
9.10%
发文量
965
审稿时长
1.6 months
期刊介绍: An essential criterion for acceptance of research articles in the journal is that they provide new physical insight. Please refer to the New Physical Insights virtual issue on what constitutes new physical insight. Manuscripts that are essentially reporting data or applications of data are, in general, not suitable for publication in JPC B.
×
引用
GB/T 7714-2015
复制
MLA
复制
APA
复制
导出至
BibTeX EndNote RefMan NoteFirst NoteExpress
×
提示
您的信息不完整,为了账户安全,请先补充。
现在去补充
×
提示
您因"违规操作"
具体请查看互助需知
我知道了
×
提示
确定
请完成安全验证×
copy
已复制链接
快去分享给好友吧!
我知道了
右上角分享
点击右上角分享
0
联系我们:info@booksci.cn Book学术提供免费学术资源搜索服务,方便国内外学者检索中英文文献。致力于提供最便捷和优质的服务体验。 Copyright © 2023 布克学术 All rights reserved.
京ICP备2023020795号-1
ghs 京公网安备 11010802042870号
Book学术文献互助
Book学术文献互助群
群 号:604180095
Book学术官方微信