结直肠癌中LEDGF/p75过表达与微卫星不稳定性和KRAS突变的关联:一项小规模研究

IF 2.6 4区 医学 Q3 ONCOLOGY
Victoria Liedtke, Thomas Wartmann, Wenjie Shi, Ulf D Kahlert
{"title":"结直肠癌中LEDGF/p75过表达与微卫星不稳定性和KRAS突变的关联:一项小规模研究","authors":"Victoria Liedtke, Thomas Wartmann, Wenjie Shi, Ulf D Kahlert","doi":"10.1177/10732748251313499","DOIUrl":null,"url":null,"abstract":"<p><strong>Introduction: </strong>Colorectal cancer (CRC) ranks third in men and second in women, with 153,020 new cases and 52,550 deaths in 2023, and with a projected incidence of 2.2 million new cases by 2030 due to lifestyle changes and enhanced diagnostic capabilities. Identification and analysis of new biomarkers, like lens epithelium-derived growth factor splice variant of 75 kDa (LEDGF/p75), which is known to play a crucial role as stress-related oncogene, can make a significant contribution in facilitating early CRC detection.</p><p><strong>Methods: </strong>This study analyzed the expression of LEDGF/p75 and the ubiquitin E2 conjugating enzyme UBC13 in 15 CRC tissue samples and adjacent non-tumor tissues. All patient samples underwent NGS-based mutation analysis beforehand. The western blot technique was used for protein analysis, and the results were further validated using mRNA expression data from 521 patient samples from the TCGA database.</p><p><strong>Results: </strong>LEDGF/p75 expression was significantly elevated in nearly all tumor tissue samples compared to adjacent tissue (11/15, 73.3%). Additionally, the UBC13 enzyme, a key regulator in the degradation of signaling molecules, was also increased in most tumor tissue samples (9/15, 60.0%). Co-overexpression of LEDGF/p75 and UBC13 was evident in 6/6 patients. Patients with KRAS and MSH2 mutations showed a 75% and 100% correlation with LEDGF/p75 overexpression, respectively.</p><p><strong>Conclusion: </strong>This study confirms the upregulation of LEDGF/p75 in CRC and shows its correlation with KRAS and MSH2 mutations. The interaction of LEDGF/p75 with DNA damage response proteins may contribute to drug resistance and increased tumor aggressiveness. LEDGF/p75's potential as a prognostic biomarker independent of lymph node involvement or CEA levels highlights its potential in personalized therapy, and warrants further research into its therapeutic targeting.</p>","PeriodicalId":49093,"journal":{"name":"Cancer Control","volume":"32 ","pages":"10732748251313499"},"PeriodicalIF":2.6000,"publicationDate":"2025-01-01","publicationTypes":"Journal Article","fieldsOfStudy":null,"isOpenAccess":false,"openAccessPdf":"https://www.ncbi.nlm.nih.gov/pmc/articles/PMC11837075/pdf/","citationCount":"0","resultStr":"{\"title\":\"Linking LEDGF/p75 Overexpression With Microsatellite Instability and KRAS Mutations: A Small-Scale Study in Colorectal Cancer.\",\"authors\":\"Victoria Liedtke, Thomas Wartmann, Wenjie Shi, Ulf D Kahlert\",\"doi\":\"10.1177/10732748251313499\",\"DOIUrl\":null,\"url\":null,\"abstract\":\"<p><strong>Introduction: </strong>Colorectal cancer (CRC) ranks third in men and second in women, with 153,020 new cases and 52,550 deaths in 2023, and with a projected incidence of 2.2 million new cases by 2030 due to lifestyle changes and enhanced diagnostic capabilities. Identification and analysis of new biomarkers, like lens epithelium-derived growth factor splice variant of 75 kDa (LEDGF/p75), which is known to play a crucial role as stress-related oncogene, can make a significant contribution in facilitating early CRC detection.</p><p><strong>Methods: </strong>This study analyzed the expression of LEDGF/p75 and the ubiquitin E2 conjugating enzyme UBC13 in 15 CRC tissue samples and adjacent non-tumor tissues. All patient samples underwent NGS-based mutation analysis beforehand. The western blot technique was used for protein analysis, and the results were further validated using mRNA expression data from 521 patient samples from the TCGA database.</p><p><strong>Results: </strong>LEDGF/p75 expression was significantly elevated in nearly all tumor tissue samples compared to adjacent tissue (11/15, 73.3%). Additionally, the UBC13 enzyme, a key regulator in the degradation of signaling molecules, was also increased in most tumor tissue samples (9/15, 60.0%). Co-overexpression of LEDGF/p75 and UBC13 was evident in 6/6 patients. Patients with KRAS and MSH2 mutations showed a 75% and 100% correlation with LEDGF/p75 overexpression, respectively.</p><p><strong>Conclusion: </strong>This study confirms the upregulation of LEDGF/p75 in CRC and shows its correlation with KRAS and MSH2 mutations. The interaction of LEDGF/p75 with DNA damage response proteins may contribute to drug resistance and increased tumor aggressiveness. LEDGF/p75's potential as a prognostic biomarker independent of lymph node involvement or CEA levels highlights its potential in personalized therapy, and warrants further research into its therapeutic targeting.</p>\",\"PeriodicalId\":49093,\"journal\":{\"name\":\"Cancer Control\",\"volume\":\"32 \",\"pages\":\"10732748251313499\"},\"PeriodicalIF\":2.6000,\"publicationDate\":\"2025-01-01\",\"publicationTypes\":\"Journal Article\",\"fieldsOfStudy\":null,\"isOpenAccess\":false,\"openAccessPdf\":\"https://www.ncbi.nlm.nih.gov/pmc/articles/PMC11837075/pdf/\",\"citationCount\":\"0\",\"resultStr\":null,\"platform\":\"Semanticscholar\",\"paperid\":null,\"PeriodicalName\":\"Cancer Control\",\"FirstCategoryId\":\"3\",\"ListUrlMain\":\"https://doi.org/10.1177/10732748251313499\",\"RegionNum\":4,\"RegionCategory\":\"医学\",\"ArticlePicture\":[],\"TitleCN\":null,\"AbstractTextCN\":null,\"PMCID\":null,\"EPubDate\":\"\",\"PubModel\":\"\",\"JCR\":\"Q3\",\"JCRName\":\"ONCOLOGY\",\"Score\":null,\"Total\":0}","platform":"Semanticscholar","paperid":null,"PeriodicalName":"Cancer Control","FirstCategoryId":"3","ListUrlMain":"https://doi.org/10.1177/10732748251313499","RegionNum":4,"RegionCategory":"医学","ArticlePicture":[],"TitleCN":null,"AbstractTextCN":null,"PMCID":null,"EPubDate":"","PubModel":"","JCR":"Q3","JCRName":"ONCOLOGY","Score":null,"Total":0}
引用次数: 0

摘要

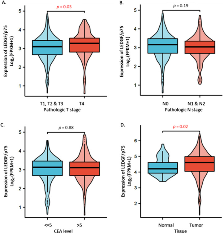
导读:结直肠癌(CRC)在男性中排名第三,在女性中排名第二,2023年有153,020例新发病例和52,550例死亡,由于生活方式的改变和诊断能力的提高,预计到2030年新发病例将达到220万例。鉴定和分析新的生物标志物,如晶状体上皮衍生生长因子剪接变异体75 kDa (LEDGF/p75),已知其作为应激相关癌基因起着至关重要的作用,可以为促进早期CRC检测做出重大贡献。方法:本研究分析了15例结直肠癌组织样本及邻近非肿瘤组织中LEDGF/p75和泛素E2偶联酶UBC13的表达。所有患者样本事先进行了基于ngs的突变分析。采用western blot技术进行蛋白分析,并利用TCGA数据库中521例患者样本的mRNA表达数据进一步验证结果。结果:几乎所有肿瘤组织样本中LEDGF/p75的表达均显著高于邻近组织(11/15,73.3%)。此外,信号分子降解的关键调节因子UBC13酶在大多数肿瘤组织样本中也有所增加(9/15,60.0%)。6/6的患者中LEDGF/p75和UBC13共同过表达。KRAS和MSH2突变患者与LEDGF/p75过表达的相关性分别为75%和100%。结论:本研究证实了LEDGF/p75在结直肠癌中表达上调,并与KRAS和MSH2突变相关。LEDGF/p75与DNA损伤反应蛋白的相互作用可能有助于耐药和增加肿瘤侵袭性。LEDGF/p75作为独立于淋巴结累及或CEA水平的预后生物标志物的潜力突出了其在个性化治疗中的潜力,值得进一步研究其治疗靶向性。
本文章由计算机程序翻译,如有差异,请以英文原文为准。

Linking LEDGF/p75 Overexpression With Microsatellite Instability and KRAS Mutations: A Small-Scale Study in Colorectal Cancer.

Linking LEDGF/p75 Overexpression With Microsatellite Instability and KRAS Mutations: A Small-Scale Study in Colorectal Cancer.

Linking LEDGF/p75 Overexpression With Microsatellite Instability and KRAS Mutations: A Small-Scale Study in Colorectal Cancer.

Linking LEDGF/p75 Overexpression With Microsatellite Instability and KRAS Mutations: A Small-Scale Study in Colorectal Cancer.

Introduction: Colorectal cancer (CRC) ranks third in men and second in women, with 153,020 new cases and 52,550 deaths in 2023, and with a projected incidence of 2.2 million new cases by 2030 due to lifestyle changes and enhanced diagnostic capabilities. Identification and analysis of new biomarkers, like lens epithelium-derived growth factor splice variant of 75 kDa (LEDGF/p75), which is known to play a crucial role as stress-related oncogene, can make a significant contribution in facilitating early CRC detection.

Methods: This study analyzed the expression of LEDGF/p75 and the ubiquitin E2 conjugating enzyme UBC13 in 15 CRC tissue samples and adjacent non-tumor tissues. All patient samples underwent NGS-based mutation analysis beforehand. The western blot technique was used for protein analysis, and the results were further validated using mRNA expression data from 521 patient samples from the TCGA database.

Results: LEDGF/p75 expression was significantly elevated in nearly all tumor tissue samples compared to adjacent tissue (11/15, 73.3%). Additionally, the UBC13 enzyme, a key regulator in the degradation of signaling molecules, was also increased in most tumor tissue samples (9/15, 60.0%). Co-overexpression of LEDGF/p75 and UBC13 was evident in 6/6 patients. Patients with KRAS and MSH2 mutations showed a 75% and 100% correlation with LEDGF/p75 overexpression, respectively.

Conclusion: This study confirms the upregulation of LEDGF/p75 in CRC and shows its correlation with KRAS and MSH2 mutations. The interaction of LEDGF/p75 with DNA damage response proteins may contribute to drug resistance and increased tumor aggressiveness. LEDGF/p75's potential as a prognostic biomarker independent of lymph node involvement or CEA levels highlights its potential in personalized therapy, and warrants further research into its therapeutic targeting.

求助全文
通过发布文献求助,成功后即可免费获取论文全文。 去求助
来源期刊
Cancer Control
Cancer Control ONCOLOGY-
CiteScore
3.80
自引率
0.00%
发文量
148
审稿时长
>12 weeks
期刊介绍: Cancer Control is a JCR-ranked, peer-reviewed open access journal whose mission is to advance the prevention, detection, diagnosis, treatment, and palliative care of cancer by enabling researchers, doctors, policymakers, and other healthcare professionals to freely share research along the cancer control continuum. Our vision is a world where gold-standard cancer care is the norm, not the exception.
×
引用
GB/T 7714-2015
复制
MLA
复制
APA
复制
导出至
BibTeX EndNote RefMan NoteFirst NoteExpress
×
提示
您的信息不完整,为了账户安全,请先补充。
现在去补充
×
提示
您因"违规操作"
具体请查看互助需知
我知道了
×
提示
确定
请完成安全验证×
copy
已复制链接
快去分享给好友吧!
我知道了
右上角分享
点击右上角分享
0
联系我们:info@booksci.cn Book学术提供免费学术资源搜索服务,方便国内外学者检索中英文文献。致力于提供最便捷和优质的服务体验。 Copyright © 2023 布克学术 All rights reserved.
京ICP备2023020795号-1
ghs 京公网安备 11010802042870号
Book学术文献互助
Book学术文献互助群
群 号:604180095
Book学术官方微信