风险预测模型验证中样本信息期望值的计算。

IF 3.1 3区 医学 Q2 HEALTH CARE SCIENCES & SERVICES
Medical Decision Making Pub Date : 2025-04-01 Epub Date: 2025-02-18 DOI:10.1177/0272989X251314010
Mohsen Sadatsafavi, Andrew J Vickers, Tae Yoon Lee, Paul Gustafson, Laure Wynants
{"title":"风险预测模型验证中样本信息期望值的计算。","authors":"Mohsen Sadatsafavi, Andrew J Vickers, Tae Yoon Lee, Paul Gustafson, Laure Wynants","doi":"10.1177/0272989X251314010","DOIUrl":null,"url":null,"abstract":"<p><p>BackgroundThe purpose of external validation of a risk prediction model is to evaluate its performance before recommending it for use in a new population. Sample size calculations for such validation studies are currently based on classical inferential statistics around metrics of discrimination, calibration, and net benefit (NB). For NB as a measure of clinical utility, the relevance of inferential statistics is doubtful. Value-of-information methodology enables quantifying the value of collecting validation data in terms of expected gain in clinical utility.MethodsWe define the validation expected value of sample information (EVSI) as the expected gain in NB by procuring a validation sample of a given size. We propose 3 algorithms for EVSI computation and compare their face validity and computation time in simulation studies. In a case study, we use the non-US subset of a clinical trial to create a risk prediction model for short-term mortality after myocardial infarction and calculate validation EVSI at a range of sample sizes for the US population.ResultsComputation methods generated similar EVSI values in simulation studies, although they differed in numerical accuracy and computation times. At 2% risk threshold, procuring 1,000 observations for external validation, had an EVSI of 0.00101 in true-positive units or 0.04938 in false-positive units. Scaled by heart attack incidence in the United States, the population EVSI was 806 in true positives gained, or 39,500 in false positives averted, annually. Validation studies with >4,000 observations had diminishing returns, as the EVSIs were approaching their maximum possible value.ConclusionValue-of-information methodology quantifies the return on investment from conducting an external validation study and can provide a value-based perspective when designing such studies.HighlightsIn external validation studies of risk prediction models, the finite size of the validation sample leads to uncertain conclusions about the performance of the model. This uncertainty has hitherto been approached from a classical inferential perspective (e.g., confidence interval around the c-statistic).Correspondingly, sample size calculations for validation studies have been based on classical inferential statistics. For measures of clinical utility such as net benefit, the relevance of this approach is doubtful.This article defines the expected value of sample information (EVSI) for model validation and suggests algorithms for its computation. Validation EVSI quantifies the return on investment from conducting a validation study.Value-based approaches rooted in decision theory can complement contemporary study design and sample size calculation methods in predictive analytics.</p>","PeriodicalId":49839,"journal":{"name":"Medical Decision Making","volume":" ","pages":"232-244"},"PeriodicalIF":3.1000,"publicationDate":"2025-04-01","publicationTypes":"Journal Article","fieldsOfStudy":null,"isOpenAccess":false,"openAccessPdf":"https://www.ncbi.nlm.nih.gov/pmc/articles/PMC11894915/pdf/","citationCount":"0","resultStr":"{\"title\":\"Expected Value of Sample Information Calculations for Risk Prediction Model Validation.\",\"authors\":\"Mohsen Sadatsafavi, Andrew J Vickers, Tae Yoon Lee, Paul Gustafson, Laure Wynants\",\"doi\":\"10.1177/0272989X251314010\",\"DOIUrl\":null,\"url\":null,\"abstract\":\"<p><p>BackgroundThe purpose of external validation of a risk prediction model is to evaluate its performance before recommending it for use in a new population. Sample size calculations for such validation studies are currently based on classical inferential statistics around metrics of discrimination, calibration, and net benefit (NB). For NB as a measure of clinical utility, the relevance of inferential statistics is doubtful. Value-of-information methodology enables quantifying the value of collecting validation data in terms of expected gain in clinical utility.MethodsWe define the validation expected value of sample information (EVSI) as the expected gain in NB by procuring a validation sample of a given size. We propose 3 algorithms for EVSI computation and compare their face validity and computation time in simulation studies. In a case study, we use the non-US subset of a clinical trial to create a risk prediction model for short-term mortality after myocardial infarction and calculate validation EVSI at a range of sample sizes for the US population.ResultsComputation methods generated similar EVSI values in simulation studies, although they differed in numerical accuracy and computation times. At 2% risk threshold, procuring 1,000 observations for external validation, had an EVSI of 0.00101 in true-positive units or 0.04938 in false-positive units. Scaled by heart attack incidence in the United States, the population EVSI was 806 in true positives gained, or 39,500 in false positives averted, annually. Validation studies with >4,000 observations had diminishing returns, as the EVSIs were approaching their maximum possible value.ConclusionValue-of-information methodology quantifies the return on investment from conducting an external validation study and can provide a value-based perspective when designing such studies.HighlightsIn external validation studies of risk prediction models, the finite size of the validation sample leads to uncertain conclusions about the performance of the model. This uncertainty has hitherto been approached from a classical inferential perspective (e.g., confidence interval around the c-statistic).Correspondingly, sample size calculations for validation studies have been based on classical inferential statistics. For measures of clinical utility such as net benefit, the relevance of this approach is doubtful.This article defines the expected value of sample information (EVSI) for model validation and suggests algorithms for its computation. Validation EVSI quantifies the return on investment from conducting a validation study.Value-based approaches rooted in decision theory can complement contemporary study design and sample size calculation methods in predictive analytics.</p>\",\"PeriodicalId\":49839,\"journal\":{\"name\":\"Medical Decision Making\",\"volume\":\" \",\"pages\":\"232-244\"},\"PeriodicalIF\":3.1000,\"publicationDate\":\"2025-04-01\",\"publicationTypes\":\"Journal Article\",\"fieldsOfStudy\":null,\"isOpenAccess\":false,\"openAccessPdf\":\"https://www.ncbi.nlm.nih.gov/pmc/articles/PMC11894915/pdf/\",\"citationCount\":\"0\",\"resultStr\":null,\"platform\":\"Semanticscholar\",\"paperid\":null,\"PeriodicalName\":\"Medical Decision Making\",\"FirstCategoryId\":\"3\",\"ListUrlMain\":\"https://doi.org/10.1177/0272989X251314010\",\"RegionNum\":3,\"RegionCategory\":\"医学\",\"ArticlePicture\":[],\"TitleCN\":null,\"AbstractTextCN\":null,\"PMCID\":null,\"EPubDate\":\"2025/2/18 0:00:00\",\"PubModel\":\"Epub\",\"JCR\":\"Q2\",\"JCRName\":\"HEALTH CARE SCIENCES & SERVICES\",\"Score\":null,\"Total\":0}","platform":"Semanticscholar","paperid":null,"PeriodicalName":"Medical Decision Making","FirstCategoryId":"3","ListUrlMain":"https://doi.org/10.1177/0272989X251314010","RegionNum":3,"RegionCategory":"医学","ArticlePicture":[],"TitleCN":null,"AbstractTextCN":null,"PMCID":null,"EPubDate":"2025/2/18 0:00:00","PubModel":"Epub","JCR":"Q2","JCRName":"HEALTH CARE SCIENCES & SERVICES","Score":null,"Total":0}
引用次数: 0

摘要

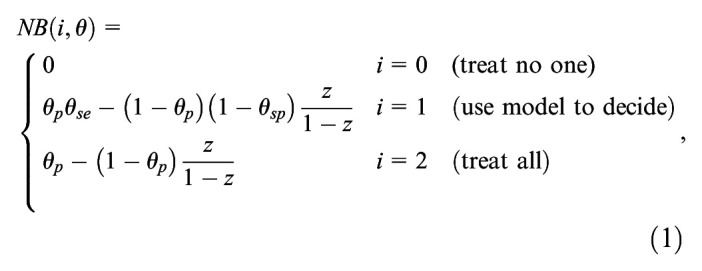
背景:对风险预测模型进行外部验证的目的是在将其推荐给新人群之前评估其性能。此类验证研究的样本量计算目前基于围绕判别、校准和净效益(NB)指标的经典推断统计。对于NB作为临床效用的衡量标准,推论统计的相关性值得怀疑。信息价值方法学可以量化收集验证数据的价值,以获得临床效用方面的预期收益。方法:我们通过获取给定大小的验证样本,将样本信息的验证期望值(EVSI)定义为NB中的预期增益。我们提出了3种EVSI计算算法,并在仿真研究中比较了它们的面部有效性和计算时间。在一个案例研究中,我们使用临床试验的非美国子集来创建心肌梗死后短期死亡率的风险预测模型,并计算美国人群在一定样本量下的验证EVSI。结果:计算方法在模拟研究中产生了相似的EVSI值,尽管它们在数值精度和计算时间上有所不同。在2%的风险阈值下,获取1,000个观察值进行外部验证,真阳性单位的EVSI为0.00101,假阳性单位的EVSI为0.04938。在美国,按心脏病发作发生率来衡量,每年获得真阳性的EVSI为806,避免假阳性的EVSI为39,500。当evsi接近其最大可能值时,具有bbbb4000个观测值的验证研究的收益递减。结论:信息价值方法论量化了进行外部验证研究的投资回报,并且可以在设计此类研究时提供基于价值的视角。在风险预测模型的外部验证研究中,验证样本的有限大小导致模型性能的结论不确定。迄今为止,这种不确定性已经从经典的推理角度(例如,c统计量周围的置信区间)进行了处理。相应地,验证研究的样本量计算基于经典的推理统计。对于临床效用的测量,如净收益,这种方法的相关性值得怀疑。本文定义了用于模型验证的样本信息期望值(EVSI),并提出了其计算算法。验证EVSI量化了进行验证研究的投资回报。植根于决策理论的基于价值的方法可以补充预测分析中的当代研究设计和样本量计算方法。
本文章由计算机程序翻译,如有差异,请以英文原文为准。

Expected Value of Sample Information Calculations for Risk Prediction Model Validation.

Expected Value of Sample Information Calculations for Risk Prediction Model Validation.

Expected Value of Sample Information Calculations for Risk Prediction Model Validation.

Expected Value of Sample Information Calculations for Risk Prediction Model Validation.

BackgroundThe purpose of external validation of a risk prediction model is to evaluate its performance before recommending it for use in a new population. Sample size calculations for such validation studies are currently based on classical inferential statistics around metrics of discrimination, calibration, and net benefit (NB). For NB as a measure of clinical utility, the relevance of inferential statistics is doubtful. Value-of-information methodology enables quantifying the value of collecting validation data in terms of expected gain in clinical utility.MethodsWe define the validation expected value of sample information (EVSI) as the expected gain in NB by procuring a validation sample of a given size. We propose 3 algorithms for EVSI computation and compare their face validity and computation time in simulation studies. In a case study, we use the non-US subset of a clinical trial to create a risk prediction model for short-term mortality after myocardial infarction and calculate validation EVSI at a range of sample sizes for the US population.ResultsComputation methods generated similar EVSI values in simulation studies, although they differed in numerical accuracy and computation times. At 2% risk threshold, procuring 1,000 observations for external validation, had an EVSI of 0.00101 in true-positive units or 0.04938 in false-positive units. Scaled by heart attack incidence in the United States, the population EVSI was 806 in true positives gained, or 39,500 in false positives averted, annually. Validation studies with >4,000 observations had diminishing returns, as the EVSIs were approaching their maximum possible value.ConclusionValue-of-information methodology quantifies the return on investment from conducting an external validation study and can provide a value-based perspective when designing such studies.HighlightsIn external validation studies of risk prediction models, the finite size of the validation sample leads to uncertain conclusions about the performance of the model. This uncertainty has hitherto been approached from a classical inferential perspective (e.g., confidence interval around the c-statistic).Correspondingly, sample size calculations for validation studies have been based on classical inferential statistics. For measures of clinical utility such as net benefit, the relevance of this approach is doubtful.This article defines the expected value of sample information (EVSI) for model validation and suggests algorithms for its computation. Validation EVSI quantifies the return on investment from conducting a validation study.Value-based approaches rooted in decision theory can complement contemporary study design and sample size calculation methods in predictive analytics.

求助全文
通过发布文献求助,成功后即可免费获取论文全文。 去求助
来源期刊
Medical Decision Making
Medical Decision Making 医学-卫生保健
CiteScore
6.50
自引率
5.60%
发文量
146
审稿时长
6-12 weeks
期刊介绍: Medical Decision Making offers rigorous and systematic approaches to decision making that are designed to improve the health and clinical care of individuals and to assist with health care policy development. Using the fundamentals of decision analysis and theory, economic evaluation, and evidence based quality assessment, Medical Decision Making presents both theoretical and practical statistical and modeling techniques and methods from a variety of disciplines.
×
引用
GB/T 7714-2015
复制
MLA
复制
APA
复制
导出至
BibTeX EndNote RefMan NoteFirst NoteExpress
×
提示
您的信息不完整,为了账户安全,请先补充。
现在去补充
×
提示
您因"违规操作"
具体请查看互助需知
我知道了
×
提示
确定
请完成安全验证×
copy
已复制链接
快去分享给好友吧!
我知道了
右上角分享
点击右上角分享
0
联系我们:info@booksci.cn Book学术提供免费学术资源搜索服务,方便国内外学者检索中英文文献。致力于提供最便捷和优质的服务体验。 Copyright © 2023 布克学术 All rights reserved.
京ICP备2023020795号-1
ghs 京公网安备 11010802042870号
Book学术文献互助
Book学术文献互助群
群 号:604180095
Book学术官方微信