维持性血液透析患者支架置放治疗难治性中心静脉闭塞性疾病的远期疗效

IF 3 3区 医学 Q1 UROLOGY & NEPHROLOGY
Renal Failure Pub Date : 2025-12-01 Epub Date: 2025-02-16 DOI:10.1080/0886022X.2025.2463579
Yuqin Xiong, Yan Wang, Xiaoqin He, Yi Ruan, Yue Wen, Yang Yu, Ping Fu
{"title":"维持性血液透析患者支架置放治疗难治性中心静脉闭塞性疾病的远期疗效","authors":"Yuqin Xiong, Yan Wang, Xiaoqin He, Yi Ruan, Yue Wen, Yang Yu, Ping Fu","doi":"10.1080/0886022X.2025.2463579","DOIUrl":null,"url":null,"abstract":"<p><strong>Objectives: </strong>To investigate the long-term outcomes of stent deployment in the treatment of refractory central venous occlusive disease (CVOD) in patients undergoing maintenance hemodialysis (MHD).</p><p><strong>Methods: </strong>MHD patients who were successfully treated with stenting for symptomatic CVOD that was resistant to balloon angioplasty alone were consecutively included in this retrospective study. The primary (PPR) and assisted (APR) patency rates of the central vein and hemodialysis vascular access (VA), reintervention, and survival rates after stenting were followed. Multivariate logistic regression analyses were conducted to determine the factors influencing VA abandonment and mortality.</p><p><strong>Results: </strong>The cohort comprised 65 patients (52.3% male) aged 61.5 ± 13.5 years, with a mean dialysis vintage of 54.7 ± 39.1 months. During 40 (20-54) months of follow-up, symptomatic CVOD recurred in 32 (49.2%) patients, accounting for 51 secondary angioplasties, including 34 stenting procedures. The PPR and APR at 12, 24, 36, 48, and 60 months were 81%, 52%, 47%, 41%, and 41% and 98%, 98%, 82%, 82%, and 82%, respectively. VA abandonment was noted in 10 (15.4%) patients. Six (9.2%) and 17 (26.2%) patients died due to cardiovascular conditions and all causes, respectively. The number of secondary stenting procedures was significantly associated with decreased VA abandonment [odds ratio (OR) = 0.089, 95% confidence interval (CI): 0.008-0.992, <i>p</i> = 0.049] and all-cause mortality (OR = 0.104, 95% CI: 0.011-0.947, <i>p</i> = 0.045).</p><p><strong>Conclusions: </strong>Angioplasty with stenting is an effective and promising strategy for MHD patients with refractory CVOD.</p>","PeriodicalId":20839,"journal":{"name":"Renal Failure","volume":"47 1","pages":"2463579"},"PeriodicalIF":3.0000,"publicationDate":"2025-12-01","publicationTypes":"Journal Article","fieldsOfStudy":null,"isOpenAccess":false,"openAccessPdf":"https://www.ncbi.nlm.nih.gov/pmc/articles/PMC11834813/pdf/","citationCount":"0","resultStr":"{\"title\":\"Long-term outcomes of refractory central venous occlusive disease treated by stent deployment in patients undergoing maintenance hemodialysis.\",\"authors\":\"Yuqin Xiong, Yan Wang, Xiaoqin He, Yi Ruan, Yue Wen, Yang Yu, Ping Fu\",\"doi\":\"10.1080/0886022X.2025.2463579\",\"DOIUrl\":null,\"url\":null,\"abstract\":\"<p><strong>Objectives: </strong>To investigate the long-term outcomes of stent deployment in the treatment of refractory central venous occlusive disease (CVOD) in patients undergoing maintenance hemodialysis (MHD).</p><p><strong>Methods: </strong>MHD patients who were successfully treated with stenting for symptomatic CVOD that was resistant to balloon angioplasty alone were consecutively included in this retrospective study. The primary (PPR) and assisted (APR) patency rates of the central vein and hemodialysis vascular access (VA), reintervention, and survival rates after stenting were followed. Multivariate logistic regression analyses were conducted to determine the factors influencing VA abandonment and mortality.</p><p><strong>Results: </strong>The cohort comprised 65 patients (52.3% male) aged 61.5 ± 13.5 years, with a mean dialysis vintage of 54.7 ± 39.1 months. During 40 (20-54) months of follow-up, symptomatic CVOD recurred in 32 (49.2%) patients, accounting for 51 secondary angioplasties, including 34 stenting procedures. The PPR and APR at 12, 24, 36, 48, and 60 months were 81%, 52%, 47%, 41%, and 41% and 98%, 98%, 82%, 82%, and 82%, respectively. VA abandonment was noted in 10 (15.4%) patients. Six (9.2%) and 17 (26.2%) patients died due to cardiovascular conditions and all causes, respectively. The number of secondary stenting procedures was significantly associated with decreased VA abandonment [odds ratio (OR) = 0.089, 95% confidence interval (CI): 0.008-0.992, <i>p</i> = 0.049] and all-cause mortality (OR = 0.104, 95% CI: 0.011-0.947, <i>p</i> = 0.045).</p><p><strong>Conclusions: </strong>Angioplasty with stenting is an effective and promising strategy for MHD patients with refractory CVOD.</p>\",\"PeriodicalId\":20839,\"journal\":{\"name\":\"Renal Failure\",\"volume\":\"47 1\",\"pages\":\"2463579\"},\"PeriodicalIF\":3.0000,\"publicationDate\":\"2025-12-01\",\"publicationTypes\":\"Journal Article\",\"fieldsOfStudy\":null,\"isOpenAccess\":false,\"openAccessPdf\":\"https://www.ncbi.nlm.nih.gov/pmc/articles/PMC11834813/pdf/\",\"citationCount\":\"0\",\"resultStr\":null,\"platform\":\"Semanticscholar\",\"paperid\":null,\"PeriodicalName\":\"Renal Failure\",\"FirstCategoryId\":\"3\",\"ListUrlMain\":\"https://doi.org/10.1080/0886022X.2025.2463579\",\"RegionNum\":3,\"RegionCategory\":\"医学\",\"ArticlePicture\":[],\"TitleCN\":null,\"AbstractTextCN\":null,\"PMCID\":null,\"EPubDate\":\"2025/2/16 0:00:00\",\"PubModel\":\"Epub\",\"JCR\":\"Q1\",\"JCRName\":\"UROLOGY & NEPHROLOGY\",\"Score\":null,\"Total\":0}","platform":"Semanticscholar","paperid":null,"PeriodicalName":"Renal Failure","FirstCategoryId":"3","ListUrlMain":"https://doi.org/10.1080/0886022X.2025.2463579","RegionNum":3,"RegionCategory":"医学","ArticlePicture":[],"TitleCN":null,"AbstractTextCN":null,"PMCID":null,"EPubDate":"2025/2/16 0:00:00","PubModel":"Epub","JCR":"Q1","JCRName":"UROLOGY & NEPHROLOGY","Score":null,"Total":0}
引用次数: 0

摘要

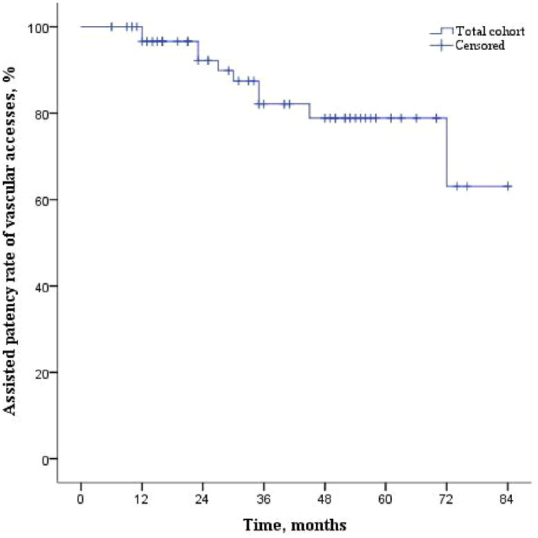
目的:探讨支架置放治疗维持性血液透析(MHD)患者难治性中心静脉闭塞性疾病(CVOD)的长期疗效。方法:连续纳入对单纯球囊血管成形术有抵抗性的症状性CVOD行支架置入术成功的MHD患者进行回顾性研究。观察中心静脉的主要(PPR)和辅助(APR)通畅率、血液透析血管通路(VA)、再干预率和支架置入术后的生存率。进行多因素logistic回归分析,以确定影响VA放弃和死亡率的因素。结果:65例患者(男性占52.3%),年龄61.5±13.5岁,平均透析时间54.7±39.1个月。在40(20-54)个月的随访中,32例(49.2%)患者出现症状性CVOD复发,其中51例为继发性血管成形术,其中34例为支架植入术。12、24、36、48、60个月的PPR和APR分别为81%、52%、47%、41%和41%,98%、98%、82%、82%和82%。10例(15.4%)患者出现VA放弃。分别有6例(9.2%)和17例(26.2%)患者死于心血管疾病和所有原因。二次支架手术的次数与降低静脉内支架放弃率(odds ratio (OR) = 0.089, 95%可信区间(CI): 0.008-0.992, p = 0.049)和全因死亡率(OR = 0.104, 95% CI: 0.011-0.947, p = 0.045)显著相关。结论:血管成形术联合支架植入术是治疗MHD合并难治性CVOD的有效方法。
本文章由计算机程序翻译,如有差异,请以英文原文为准。

Long-term outcomes of refractory central venous occlusive disease treated by stent deployment in patients undergoing maintenance hemodialysis.

Long-term outcomes of refractory central venous occlusive disease treated by stent deployment in patients undergoing maintenance hemodialysis.

Long-term outcomes of refractory central venous occlusive disease treated by stent deployment in patients undergoing maintenance hemodialysis.

Long-term outcomes of refractory central venous occlusive disease treated by stent deployment in patients undergoing maintenance hemodialysis.

Objectives: To investigate the long-term outcomes of stent deployment in the treatment of refractory central venous occlusive disease (CVOD) in patients undergoing maintenance hemodialysis (MHD).

Methods: MHD patients who were successfully treated with stenting for symptomatic CVOD that was resistant to balloon angioplasty alone were consecutively included in this retrospective study. The primary (PPR) and assisted (APR) patency rates of the central vein and hemodialysis vascular access (VA), reintervention, and survival rates after stenting were followed. Multivariate logistic regression analyses were conducted to determine the factors influencing VA abandonment and mortality.

Results: The cohort comprised 65 patients (52.3% male) aged 61.5 ± 13.5 years, with a mean dialysis vintage of 54.7 ± 39.1 months. During 40 (20-54) months of follow-up, symptomatic CVOD recurred in 32 (49.2%) patients, accounting for 51 secondary angioplasties, including 34 stenting procedures. The PPR and APR at 12, 24, 36, 48, and 60 months were 81%, 52%, 47%, 41%, and 41% and 98%, 98%, 82%, 82%, and 82%, respectively. VA abandonment was noted in 10 (15.4%) patients. Six (9.2%) and 17 (26.2%) patients died due to cardiovascular conditions and all causes, respectively. The number of secondary stenting procedures was significantly associated with decreased VA abandonment [odds ratio (OR) = 0.089, 95% confidence interval (CI): 0.008-0.992, p = 0.049] and all-cause mortality (OR = 0.104, 95% CI: 0.011-0.947, p = 0.045).

Conclusions: Angioplasty with stenting is an effective and promising strategy for MHD patients with refractory CVOD.

求助全文
通过发布文献求助,成功后即可免费获取论文全文。 去求助
来源期刊
Renal Failure
Renal Failure 医学-泌尿学与肾脏学
CiteScore
3.90
自引率
13.30%
发文量
374
审稿时长
1 months
期刊介绍: Renal Failure primarily concentrates on acute renal injury and its consequence, but also addresses advances in the fields of chronic renal failure, hypertension, and renal transplantation. Bringing together both clinical and experimental aspects of renal failure, this publication presents timely, practical information on pathology and pathophysiology of acute renal failure; nephrotoxicity of drugs and other substances; prevention, treatment, and therapy of renal failure; renal failure in association with transplantation, hypertension, and diabetes mellitus.
×
引用
GB/T 7714-2015
复制
MLA
复制
APA
复制
导出至
BibTeX EndNote RefMan NoteFirst NoteExpress
×
提示
您的信息不完整,为了账户安全,请先补充。
现在去补充
×
提示
您因"违规操作"
具体请查看互助需知
我知道了
×
提示
确定
请完成安全验证×
copy
已复制链接
快去分享给好友吧!
我知道了
右上角分享
点击右上角分享
0
联系我们:info@booksci.cn Book学术提供免费学术资源搜索服务,方便国内外学者检索中英文文献。致力于提供最便捷和优质的服务体验。 Copyright © 2023 布克学术 All rights reserved.
京ICP备2023020795号-1
ghs 京公网安备 11010802042870号
Book学术文献互助
Book学术文献互助群
群 号:604180095
Book学术官方微信