在南非一家转诊医院治疗的大队列肢端黑色素瘤患者的生存结果

IF 2 Q3 DERMATOLOGY
Journal of Skin Cancer Pub Date : 2025-01-23 eCollection Date: 2025-01-01 DOI:10.1155/jskc/4779587
Bianca Tod, Tonya Esterhuizen, Willem Visser, Maritha Kotze, Anne Bowcock, Johann Schneider, Henriette Burger
{"title":"在南非一家转诊医院治疗的大队列肢端黑色素瘤患者的生存结果","authors":"Bianca Tod, Tonya Esterhuizen, Willem Visser, Maritha Kotze, Anne Bowcock, Johann Schneider, Henriette Burger","doi":"10.1155/jskc/4779587","DOIUrl":null,"url":null,"abstract":"<p><p>Acral melanoma (AM) is the most common type of melanoma arising in people with skin of color. AM is often diagnosed late and associated with poor outcomes. Melanoma outcomes are also impacted by socioeconomic status. Although uncommon, AM is a public health concern in South Africa because of its epidemiology and association with health access issues, which predispose to late diagnosis. South African patients are managed based on staging systems and treatment guidelines developed for other populations. This cohort study aimed to determine the survival outcomes in a cohort of South African AM patients and how these were associated with demographic, clinical, pathological, and management data. The study included patients diagnosed at a referral hospital between 1 January 2010 and 31 December 2021. Analysis occurred in 2022 and 2023. The main outcomes of interest were survival time in months (overall and progression-free, OS and PFS). Survival outcomes were analyzed using Kaplan-Meier survival curves. Survival probabilities were compared between subgroups using log-rank tests. Univariate and multivariable analyses were performed using the Cox proportional hazards models to assess factors associated with survival. Ninety-one patients were included in the analysis. After a median follow-up of 28 months (range: 0-151 months), 48 patients (52.7%) had died. The 3- and 5-year survival rates for the entire cohort were 64.8% and 56.0% respectively. Notably, the OS and PFS were not affected by the population group (<i>p</i> value = 0.628, not significant). The examination of OS and PFS by the clinical stage group demonstrated proportional hazard. Although SLNB comprised a small group, the results appear to be prognostically valid, specifically for OS. The results indicate that the AJCC eighth edition staging is broadly applicable to AM in this population; however, a rigorous comparison was not possible. SLNB appears to be prognostically valid. No difference in survival outcomes by population group was shown.</p>","PeriodicalId":17172,"journal":{"name":"Journal of Skin Cancer","volume":"2025 ","pages":"4779587"},"PeriodicalIF":2.0000,"publicationDate":"2025-01-23","publicationTypes":"Journal Article","fieldsOfStudy":null,"isOpenAccess":false,"openAccessPdf":"https://www.ncbi.nlm.nih.gov/pmc/articles/PMC11824689/pdf/","citationCount":"0","resultStr":"{\"title\":\"Survival Outcomes of a Large Cohort of Acral Melanoma Patients Treated at a South African Referral Hospital.\",\"authors\":\"Bianca Tod, Tonya Esterhuizen, Willem Visser, Maritha Kotze, Anne Bowcock, Johann Schneider, Henriette Burger\",\"doi\":\"10.1155/jskc/4779587\",\"DOIUrl\":null,\"url\":null,\"abstract\":\"<p><p>Acral melanoma (AM) is the most common type of melanoma arising in people with skin of color. AM is often diagnosed late and associated with poor outcomes. Melanoma outcomes are also impacted by socioeconomic status. Although uncommon, AM is a public health concern in South Africa because of its epidemiology and association with health access issues, which predispose to late diagnosis. South African patients are managed based on staging systems and treatment guidelines developed for other populations. This cohort study aimed to determine the survival outcomes in a cohort of South African AM patients and how these were associated with demographic, clinical, pathological, and management data. The study included patients diagnosed at a referral hospital between 1 January 2010 and 31 December 2021. Analysis occurred in 2022 and 2023. The main outcomes of interest were survival time in months (overall and progression-free, OS and PFS). Survival outcomes were analyzed using Kaplan-Meier survival curves. Survival probabilities were compared between subgroups using log-rank tests. Univariate and multivariable analyses were performed using the Cox proportional hazards models to assess factors associated with survival. Ninety-one patients were included in the analysis. After a median follow-up of 28 months (range: 0-151 months), 48 patients (52.7%) had died. The 3- and 5-year survival rates for the entire cohort were 64.8% and 56.0% respectively. Notably, the OS and PFS were not affected by the population group (<i>p</i> value = 0.628, not significant). The examination of OS and PFS by the clinical stage group demonstrated proportional hazard. Although SLNB comprised a small group, the results appear to be prognostically valid, specifically for OS. The results indicate that the AJCC eighth edition staging is broadly applicable to AM in this population; however, a rigorous comparison was not possible. SLNB appears to be prognostically valid. No difference in survival outcomes by population group was shown.</p>\",\"PeriodicalId\":17172,\"journal\":{\"name\":\"Journal of Skin Cancer\",\"volume\":\"2025 \",\"pages\":\"4779587\"},\"PeriodicalIF\":2.0000,\"publicationDate\":\"2025-01-23\",\"publicationTypes\":\"Journal Article\",\"fieldsOfStudy\":null,\"isOpenAccess\":false,\"openAccessPdf\":\"https://www.ncbi.nlm.nih.gov/pmc/articles/PMC11824689/pdf/\",\"citationCount\":\"0\",\"resultStr\":null,\"platform\":\"Semanticscholar\",\"paperid\":null,\"PeriodicalName\":\"Journal of Skin Cancer\",\"FirstCategoryId\":\"1085\",\"ListUrlMain\":\"https://doi.org/10.1155/jskc/4779587\",\"RegionNum\":0,\"RegionCategory\":null,\"ArticlePicture\":[],\"TitleCN\":null,\"AbstractTextCN\":null,\"PMCID\":null,\"EPubDate\":\"2025/1/1 0:00:00\",\"PubModel\":\"eCollection\",\"JCR\":\"Q3\",\"JCRName\":\"DERMATOLOGY\",\"Score\":null,\"Total\":0}","platform":"Semanticscholar","paperid":null,"PeriodicalName":"Journal of Skin Cancer","FirstCategoryId":"1085","ListUrlMain":"https://doi.org/10.1155/jskc/4779587","RegionNum":0,"RegionCategory":null,"ArticlePicture":[],"TitleCN":null,"AbstractTextCN":null,"PMCID":null,"EPubDate":"2025/1/1 0:00:00","PubModel":"eCollection","JCR":"Q3","JCRName":"DERMATOLOGY","Score":null,"Total":0}
引用次数: 0

摘要

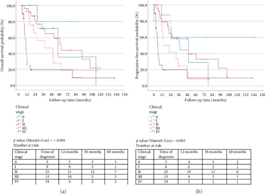
肢端黑色素瘤(AM)是有色人种中最常见的黑色素瘤。AM通常诊断较晚,预后较差。黑素瘤的预后也受到社会经济地位的影响。虽然不常见,但AM在南非是一个公共卫生问题,因为它的流行病学和与卫生获取问题有关,这容易导致诊断晚。南非的患者是根据分期系统和为其他人群制定的治疗指南进行管理的。本队列研究旨在确定南非AM患者队列的生存结果,以及这些结果与人口统计学、临床、病理和管理数据的关系。该研究包括2010年1月1日至2021年12月31日期间在转诊医院诊断的患者。分析发生在2022年和2023年。主要关注的结局是以月为单位的生存时间(总生存期和无进展生存期,OS和PFS)。采用Kaplan-Meier生存曲线分析生存结果。使用log-rank检验比较亚组间的生存概率。使用Cox比例风险模型进行单变量和多变量分析,以评估与生存相关的因素。91例患者被纳入分析。中位随访28个月(0 ~ 151个月)后,48例(52.7%)患者死亡。整个队列的3年和5年生存率分别为64.8%和56.0%。值得注意的是,OS和PFS不受人群组的影响(p值= 0.628,无统计学意义)。临床分期组对OS和PFS的检查显示成比例风险。虽然SLNB只包括一个小群体,但结果似乎是有效的预测,特别是对于OS。结果表明,AJCC第八版分期广泛适用于该人群的AM;然而,不可能进行严格的比较。SLNB在预测上是有效的。不同人群的生存结果无差异。
本文章由计算机程序翻译,如有差异,请以英文原文为准。

Survival Outcomes of a Large Cohort of Acral Melanoma Patients Treated at a South African Referral Hospital.

Survival Outcomes of a Large Cohort of Acral Melanoma Patients Treated at a South African Referral Hospital.

Acral melanoma (AM) is the most common type of melanoma arising in people with skin of color. AM is often diagnosed late and associated with poor outcomes. Melanoma outcomes are also impacted by socioeconomic status. Although uncommon, AM is a public health concern in South Africa because of its epidemiology and association with health access issues, which predispose to late diagnosis. South African patients are managed based on staging systems and treatment guidelines developed for other populations. This cohort study aimed to determine the survival outcomes in a cohort of South African AM patients and how these were associated with demographic, clinical, pathological, and management data. The study included patients diagnosed at a referral hospital between 1 January 2010 and 31 December 2021. Analysis occurred in 2022 and 2023. The main outcomes of interest were survival time in months (overall and progression-free, OS and PFS). Survival outcomes were analyzed using Kaplan-Meier survival curves. Survival probabilities were compared between subgroups using log-rank tests. Univariate and multivariable analyses were performed using the Cox proportional hazards models to assess factors associated with survival. Ninety-one patients were included in the analysis. After a median follow-up of 28 months (range: 0-151 months), 48 patients (52.7%) had died. The 3- and 5-year survival rates for the entire cohort were 64.8% and 56.0% respectively. Notably, the OS and PFS were not affected by the population group (p value = 0.628, not significant). The examination of OS and PFS by the clinical stage group demonstrated proportional hazard. Although SLNB comprised a small group, the results appear to be prognostically valid, specifically for OS. The results indicate that the AJCC eighth edition staging is broadly applicable to AM in this population; however, a rigorous comparison was not possible. SLNB appears to be prognostically valid. No difference in survival outcomes by population group was shown.

求助全文
通过发布文献求助,成功后即可免费获取论文全文。 去求助
来源期刊
Journal of Skin Cancer
Journal of Skin Cancer DERMATOLOGY-
CiteScore
2.30
自引率
18.20%
发文量
12
审稿时长
21 weeks
期刊介绍: Journal of Skin Cancer is a peer-reviewed, Open Access journal that publishes clinical and translational research on the detection, diagnosis, prevention, and treatment of skin malignancies. The journal encourages the submission of original research articles, review articles, and clinical studies related to pathology, prognostic indicators and biomarkers, novel therapies, as well as drug sensitivity and resistance.
×
引用
GB/T 7714-2015
复制
MLA
复制
APA
复制
导出至
BibTeX EndNote RefMan NoteFirst NoteExpress
×
提示
您的信息不完整,为了账户安全,请先补充。
现在去补充
×
提示
您因"违规操作"
具体请查看互助需知
我知道了
×
提示
确定
请完成安全验证×
copy
已复制链接
快去分享给好友吧!
我知道了
右上角分享
点击右上角分享
0
联系我们:info@booksci.cn Book学术提供免费学术资源搜索服务,方便国内外学者检索中英文文献。致力于提供最便捷和优质的服务体验。 Copyright © 2023 布克学术 All rights reserved.
京ICP备2023020795号-1
ghs 京公网安备 11010802042870号
Book学术文献互助
Book学术文献互助群
群 号:604180095
Book学术官方微信