正常血压成人缓慢单鼻孔呼吸和交替鼻孔呼吸模式的即时血流动力学变化。

IF 1.1 Q3 INTEGRATIVE & COMPLEMENTARY MEDICINE
International Journal of Yoga Pub Date : 2024-09-01 Epub Date: 2024-12-14 DOI:10.4103/ijoy.ijoy_115_24
Vikram Pai, Nitin Borkar, Mohit Nirvan, Meghnath Verma
{"title":"正常血压成人缓慢单鼻孔呼吸和交替鼻孔呼吸模式的即时血流动力学变化。","authors":"Vikram Pai, Nitin Borkar, Mohit Nirvan, Meghnath Verma","doi":"10.4103/ijoy.ijoy_115_24","DOIUrl":null,"url":null,"abstract":"<p><strong>Objective: </strong>This interventional randomized controlled study aimed to evaluate the immediate hemodynamic effects of slow uninostril and alternate nostril breathing (ANB) patterns in normotensive adults.</p><p><strong>Methods: </strong>A total of 132 normotensive adults aged 25-50 years were randomly allocated into one of four groups: <i>Chandra anulom vilom</i> (CAV), <i>Surya anulom vilom</i> (SAV), <i>Anuloma viloma</i>/ANB, or control. Hemodynamic parameters including systolic blood pressure (SBP), diastolic blood pressure (DBP), mean arterial pressure (MAP), and pulse rate were measured at baseline, once in between two <i>prāṇāyāma</i> rounds, postintervention, and 5 min after intervention completed.</p><p><strong>Results: </strong>The study showed a significant decrease in SBP and DBP postintervention in the CAV and ANB groups compared to the SAV group. Furthermore, MAP was significantly lower in the ANB group relative to the control group. These results suggest that different types of <i>prāṇāyāma</i> can induce immediate changes in hemodynamic parameters even in nonpractitioners of <i>yoga</i>.</p><p><strong>Conclusion: </strong>The study provides insights into the potential benefits of specific <i>prāṇāyāma</i> techniques on hemodynamic changes in normotensive individuals, indicating that such techniques could be beneficial in managing BP and overall hemodynamic status.</p>","PeriodicalId":14436,"journal":{"name":"International Journal of Yoga","volume":"17 3","pages":"175-181"},"PeriodicalIF":1.1000,"publicationDate":"2024-09-01","publicationTypes":"Journal Article","fieldsOfStudy":null,"isOpenAccess":false,"openAccessPdf":"https://www.ncbi.nlm.nih.gov/pmc/articles/PMC11823561/pdf/","citationCount":"0","resultStr":"{\"title\":\"Immediate Hemodynamic Changes during Slow Uninostril and Alternate Nostril Breathing Patterns in Normotensive Adults.\",\"authors\":\"Vikram Pai, Nitin Borkar, Mohit Nirvan, Meghnath Verma\",\"doi\":\"10.4103/ijoy.ijoy_115_24\",\"DOIUrl\":null,\"url\":null,\"abstract\":\"<p><strong>Objective: </strong>This interventional randomized controlled study aimed to evaluate the immediate hemodynamic effects of slow uninostril and alternate nostril breathing (ANB) patterns in normotensive adults.</p><p><strong>Methods: </strong>A total of 132 normotensive adults aged 25-50 years were randomly allocated into one of four groups: <i>Chandra anulom vilom</i> (CAV), <i>Surya anulom vilom</i> (SAV), <i>Anuloma viloma</i>/ANB, or control. Hemodynamic parameters including systolic blood pressure (SBP), diastolic blood pressure (DBP), mean arterial pressure (MAP), and pulse rate were measured at baseline, once in between two <i>prāṇāyāma</i> rounds, postintervention, and 5 min after intervention completed.</p><p><strong>Results: </strong>The study showed a significant decrease in SBP and DBP postintervention in the CAV and ANB groups compared to the SAV group. Furthermore, MAP was significantly lower in the ANB group relative to the control group. These results suggest that different types of <i>prāṇāyāma</i> can induce immediate changes in hemodynamic parameters even in nonpractitioners of <i>yoga</i>.</p><p><strong>Conclusion: </strong>The study provides insights into the potential benefits of specific <i>prāṇāyāma</i> techniques on hemodynamic changes in normotensive individuals, indicating that such techniques could be beneficial in managing BP and overall hemodynamic status.</p>\",\"PeriodicalId\":14436,\"journal\":{\"name\":\"International Journal of Yoga\",\"volume\":\"17 3\",\"pages\":\"175-181\"},\"PeriodicalIF\":1.1000,\"publicationDate\":\"2024-09-01\",\"publicationTypes\":\"Journal Article\",\"fieldsOfStudy\":null,\"isOpenAccess\":false,\"openAccessPdf\":\"https://www.ncbi.nlm.nih.gov/pmc/articles/PMC11823561/pdf/\",\"citationCount\":\"0\",\"resultStr\":null,\"platform\":\"Semanticscholar\",\"paperid\":null,\"PeriodicalName\":\"International Journal of Yoga\",\"FirstCategoryId\":\"1085\",\"ListUrlMain\":\"https://doi.org/10.4103/ijoy.ijoy_115_24\",\"RegionNum\":0,\"RegionCategory\":null,\"ArticlePicture\":[],\"TitleCN\":null,\"AbstractTextCN\":null,\"PMCID\":null,\"EPubDate\":\"2024/12/14 0:00:00\",\"PubModel\":\"Epub\",\"JCR\":\"Q3\",\"JCRName\":\"INTEGRATIVE & COMPLEMENTARY MEDICINE\",\"Score\":null,\"Total\":0}","platform":"Semanticscholar","paperid":null,"PeriodicalName":"International Journal of Yoga","FirstCategoryId":"1085","ListUrlMain":"https://doi.org/10.4103/ijoy.ijoy_115_24","RegionNum":0,"RegionCategory":null,"ArticlePicture":[],"TitleCN":null,"AbstractTextCN":null,"PMCID":null,"EPubDate":"2024/12/14 0:00:00","PubModel":"Epub","JCR":"Q3","JCRName":"INTEGRATIVE & COMPLEMENTARY MEDICINE","Score":null,"Total":0}
引用次数: 0

摘要

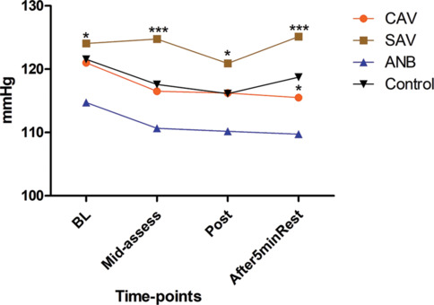
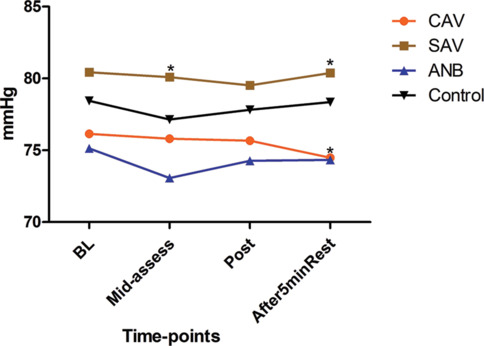
目的:本介入性随机对照研究旨在评估慢速鼻孔呼吸和鼻孔交替呼吸(ANB)模式对正常血压成人的即时血流动力学影响。方法:将132名25-50岁的正常血压成人随机分为四组:Chandra anulom vilom (CAV)组、Surya anulom vilom (SAV)组、Anuloma viloma/ANB组和对照组。血液动力学参数包括收缩压(SBP)、舒张压(DBP)、平均动脉压(MAP)和脉搏率在基线、两次prāṇāyāma轮之间、干预后和干预完成后5分钟测量一次。结果:研究显示,与SAV组相比,CAV组和ANB组干预后收缩压和舒张压明显降低。此外,与对照组相比,ANB组的MAP显著降低。这些结果表明,不同类型的prāṇāyāma甚至可以引起非瑜伽练习者血液动力学参数的立即变化。结论:该研究为特定prāṇāyāma技术对正常血压个体血流动力学变化的潜在益处提供了见解,表明此类技术可能有利于控制血压和整体血流动力学状态。
本文章由计算机程序翻译,如有差异,请以英文原文为准。

Immediate Hemodynamic Changes during Slow Uninostril and Alternate Nostril Breathing Patterns in Normotensive Adults.

Immediate Hemodynamic Changes during Slow Uninostril and Alternate Nostril Breathing Patterns in Normotensive Adults.

Immediate Hemodynamic Changes during Slow Uninostril and Alternate Nostril Breathing Patterns in Normotensive Adults.

Immediate Hemodynamic Changes during Slow Uninostril and Alternate Nostril Breathing Patterns in Normotensive Adults.

Objective: This interventional randomized controlled study aimed to evaluate the immediate hemodynamic effects of slow uninostril and alternate nostril breathing (ANB) patterns in normotensive adults.

Methods: A total of 132 normotensive adults aged 25-50 years were randomly allocated into one of four groups: Chandra anulom vilom (CAV), Surya anulom vilom (SAV), Anuloma viloma/ANB, or control. Hemodynamic parameters including systolic blood pressure (SBP), diastolic blood pressure (DBP), mean arterial pressure (MAP), and pulse rate were measured at baseline, once in between two prāṇāyāma rounds, postintervention, and 5 min after intervention completed.

Results: The study showed a significant decrease in SBP and DBP postintervention in the CAV and ANB groups compared to the SAV group. Furthermore, MAP was significantly lower in the ANB group relative to the control group. These results suggest that different types of prāṇāyāma can induce immediate changes in hemodynamic parameters even in nonpractitioners of yoga.

Conclusion: The study provides insights into the potential benefits of specific prāṇāyāma techniques on hemodynamic changes in normotensive individuals, indicating that such techniques could be beneficial in managing BP and overall hemodynamic status.

求助全文
通过发布文献求助,成功后即可免费获取论文全文。 去求助
来源期刊
International Journal of Yoga
International Journal of Yoga INTEGRATIVE & COMPLEMENTARY MEDICINE-
自引率
12.50%
发文量
37
审稿时长
24 weeks
×
引用
GB/T 7714-2015
复制
MLA
复制
APA
复制
导出至
BibTeX EndNote RefMan NoteFirst NoteExpress
×
提示
您的信息不完整,为了账户安全,请先补充。
现在去补充
×
提示
您因"违规操作"
具体请查看互助需知
我知道了
×
提示
确定
请完成安全验证×
copy
已复制链接
快去分享给好友吧!
我知道了
右上角分享
点击右上角分享
0
联系我们:info@booksci.cn Book学术提供免费学术资源搜索服务,方便国内外学者检索中英文文献。致力于提供最便捷和优质的服务体验。 Copyright © 2023 布克学术 All rights reserved.
京ICP备2023020795号-1
ghs 京公网安备 11010802042870号
Book学术文献互助
Book学术文献互助群
群 号:604180095
Book学术官方微信