血清富亮氨酸α -2糖蛋白对小肠克罗恩病活动性的诊断准确性和临界值

IF 5.5 2区 医学 Q1 GASTROENTEROLOGY & HEPATOLOGY
Journal of Gastroenterology Pub Date : 2025-05-01 Epub Date: 2025-02-14 DOI:10.1007/s00535-025-02223-1
Muneyori Okita, Kento Takenaka, Fumihito Hirai, Shinya Ashizuka, Hideki Iijima, Shigeki Bamba, Toshimitsu Fujii, Kenji Watanabe, Yosuke Shimodaira, Hisashi Shiga, Sakiko Hiraoka, Toshihiro Inokuchi, Takeshi Yamamura, Ryo Emoto, Shigeyuki Matsui
{"title":"血清富亮氨酸α -2糖蛋白对小肠克罗恩病活动性的诊断准确性和临界值","authors":"Muneyori Okita, Kento Takenaka, Fumihito Hirai, Shinya Ashizuka, Hideki Iijima, Shigeki Bamba, Toshimitsu Fujii, Kenji Watanabe, Yosuke Shimodaira, Hisashi Shiga, Sakiko Hiraoka, Toshihiro Inokuchi, Takeshi Yamamura, Ryo Emoto, Shigeyuki Matsui","doi":"10.1007/s00535-025-02223-1","DOIUrl":null,"url":null,"abstract":"<p><strong>Background: </strong>Small bowel (SB) lesions in Crohn's disease (CD) are often asymptomatic despite being highly active. Fecal calprotectin (FC) is the most widely used biomarker of CD activity, but its drawbacks include a large intra-individual sample variability and the burden of collecting stool samples. Meanwhile, serum leucine-rich alpha-2 glycoprotein (LRG) has recently attracted attention as a biomarker that can address the limitations of FC. This study determined the diagnostic accuracy of LRG and its cut-off values for diagnosing CD activity in SB.</p><p><strong>Methods: </strong>This was a retrospective, multi-center study of CD patients undergoing retrograde balloon-assisted endoscopy. For ileal- and ileocolonic-type patients with a colon SES-CD score of 0, we estimated the receiver operating characteristic curve of LRG and determined the cut-off value to achieve a target sensitivity level of 80%.</p><p><strong>Results: </strong>Among 285 patients with SB lesions, LRG had an area under the curve (AUC) of 0.72 (95% CI 0.67-0.78) with a sensitivity of 80.2% and specificity of 47.2% for a cut-off value of 10.5 when diagnosing endoscopic remission (modified SES-CD ≤ 3), while it had an AUC of 0.72 (95% CI 0.65-0.78) with a sensitivity of 81.2% and specificity of 46.2% for a cut-off value of 10.1 when diagnosing complete ulcer healing (modified SES-CD ≤ 1).</p><p><strong>Conclusion: </strong>LRG was effective for diagnosing CD activity in SB, specifically with cut-off values of 10.5 and 10.1 for endoscopic remission and complete ulcer healing, respectively. A future prospective validation study will assess its clinical utility.</p>","PeriodicalId":16059,"journal":{"name":"Journal of Gastroenterology","volume":" ","pages":"573-582"},"PeriodicalIF":5.5000,"publicationDate":"2025-05-01","publicationTypes":"Journal Article","fieldsOfStudy":null,"isOpenAccess":false,"openAccessPdf":"https://www.ncbi.nlm.nih.gov/pmc/articles/PMC12014797/pdf/","citationCount":"0","resultStr":"{\"title\":\"Diagnostic accuracy and cut-off values of serum leucine-rich alpha-2 glycoprotein for Crohn's disease activity in the small bowel.\",\"authors\":\"Muneyori Okita, Kento Takenaka, Fumihito Hirai, Shinya Ashizuka, Hideki Iijima, Shigeki Bamba, Toshimitsu Fujii, Kenji Watanabe, Yosuke Shimodaira, Hisashi Shiga, Sakiko Hiraoka, Toshihiro Inokuchi, Takeshi Yamamura, Ryo Emoto, Shigeyuki Matsui\",\"doi\":\"10.1007/s00535-025-02223-1\",\"DOIUrl\":null,\"url\":null,\"abstract\":\"<p><strong>Background: </strong>Small bowel (SB) lesions in Crohn's disease (CD) are often asymptomatic despite being highly active. Fecal calprotectin (FC) is the most widely used biomarker of CD activity, but its drawbacks include a large intra-individual sample variability and the burden of collecting stool samples. Meanwhile, serum leucine-rich alpha-2 glycoprotein (LRG) has recently attracted attention as a biomarker that can address the limitations of FC. This study determined the diagnostic accuracy of LRG and its cut-off values for diagnosing CD activity in SB.</p><p><strong>Methods: </strong>This was a retrospective, multi-center study of CD patients undergoing retrograde balloon-assisted endoscopy. For ileal- and ileocolonic-type patients with a colon SES-CD score of 0, we estimated the receiver operating characteristic curve of LRG and determined the cut-off value to achieve a target sensitivity level of 80%.</p><p><strong>Results: </strong>Among 285 patients with SB lesions, LRG had an area under the curve (AUC) of 0.72 (95% CI 0.67-0.78) with a sensitivity of 80.2% and specificity of 47.2% for a cut-off value of 10.5 when diagnosing endoscopic remission (modified SES-CD ≤ 3), while it had an AUC of 0.72 (95% CI 0.65-0.78) with a sensitivity of 81.2% and specificity of 46.2% for a cut-off value of 10.1 when diagnosing complete ulcer healing (modified SES-CD ≤ 1).</p><p><strong>Conclusion: </strong>LRG was effective for diagnosing CD activity in SB, specifically with cut-off values of 10.5 and 10.1 for endoscopic remission and complete ulcer healing, respectively. A future prospective validation study will assess its clinical utility.</p>\",\"PeriodicalId\":16059,\"journal\":{\"name\":\"Journal of Gastroenterology\",\"volume\":\" \",\"pages\":\"573-582\"},\"PeriodicalIF\":5.5000,\"publicationDate\":\"2025-05-01\",\"publicationTypes\":\"Journal Article\",\"fieldsOfStudy\":null,\"isOpenAccess\":false,\"openAccessPdf\":\"https://www.ncbi.nlm.nih.gov/pmc/articles/PMC12014797/pdf/\",\"citationCount\":\"0\",\"resultStr\":null,\"platform\":\"Semanticscholar\",\"paperid\":null,\"PeriodicalName\":\"Journal of Gastroenterology\",\"FirstCategoryId\":\"3\",\"ListUrlMain\":\"https://doi.org/10.1007/s00535-025-02223-1\",\"RegionNum\":2,\"RegionCategory\":\"医学\",\"ArticlePicture\":[],\"TitleCN\":null,\"AbstractTextCN\":null,\"PMCID\":null,\"EPubDate\":\"2025/2/14 0:00:00\",\"PubModel\":\"Epub\",\"JCR\":\"Q1\",\"JCRName\":\"GASTROENTEROLOGY & HEPATOLOGY\",\"Score\":null,\"Total\":0}","platform":"Semanticscholar","paperid":null,"PeriodicalName":"Journal of Gastroenterology","FirstCategoryId":"3","ListUrlMain":"https://doi.org/10.1007/s00535-025-02223-1","RegionNum":2,"RegionCategory":"医学","ArticlePicture":[],"TitleCN":null,"AbstractTextCN":null,"PMCID":null,"EPubDate":"2025/2/14 0:00:00","PubModel":"Epub","JCR":"Q1","JCRName":"GASTROENTEROLOGY & HEPATOLOGY","Score":null,"Total":0}
引用次数: 0

摘要

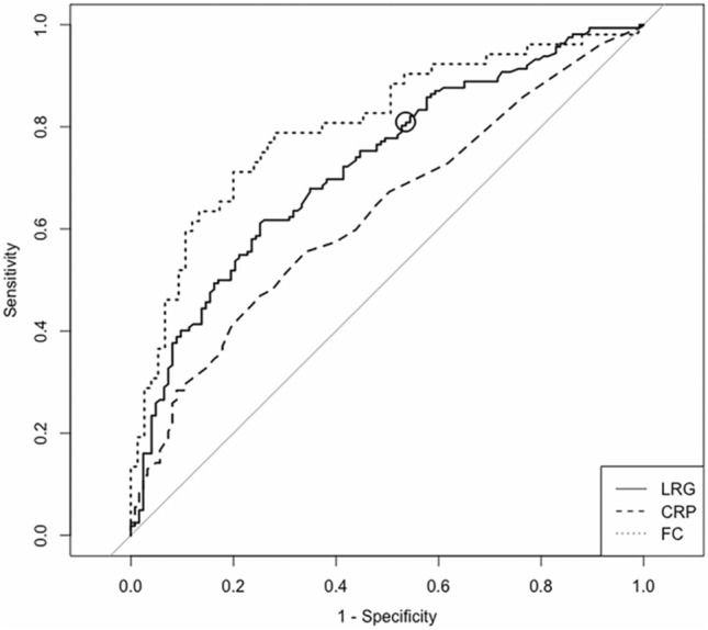
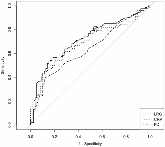
背景:克罗恩病(CD)的小肠(SB)病变尽管高度活跃,但通常无症状。粪钙保护蛋白(FC)是最广泛使用的乳糜泻活性生物标志物,但其缺点包括个体内样本差异大和收集粪便样本的负担。与此同时,血清富亮氨酸α -2糖蛋白(LRG)作为一种可以解决FC局限性的生物标志物近年来引起了人们的关注。本研究确定了LRG的诊断准确性及其诊断svd活动性的临界值。方法:对行逆行球囊内镜的CD患者进行回顾性、多中心研究。对于结肠SES-CD评分为0的回肠型和回肠型患者,我们估计LRG的受者工作特征曲线,并确定截断值,以达到80%的目标灵敏度水平。结果:285例SB病变患者中,LRG诊断内镜下缓解(改良SES-CD≤3)的曲线下面积(AUC)为0.72 (95% CI 0.67 ~ 0.78),敏感性为80.2%,特异性为47.2%,临界值为10.5;诊断溃疡完全愈合(改良SES-CD≤1)的AUC为0.72 (95% CI 0.65 ~ 0.78),敏感性为81.2%,特异性为46.2%,临界值为10.1。结论:LRG可有效诊断SB的CD活动,内镜下溃疡缓解和溃疡完全愈合的临界值分别为10.5和10.1。未来的前瞻性验证研究将评估其临床应用。
本文章由计算机程序翻译,如有差异,请以英文原文为准。

Diagnostic accuracy and cut-off values of serum leucine-rich alpha-2 glycoprotein for Crohn's disease activity in the small bowel.

Diagnostic accuracy and cut-off values of serum leucine-rich alpha-2 glycoprotein for Crohn's disease activity in the small bowel.

Diagnostic accuracy and cut-off values of serum leucine-rich alpha-2 glycoprotein for Crohn's disease activity in the small bowel.

Diagnostic accuracy and cut-off values of serum leucine-rich alpha-2 glycoprotein for Crohn's disease activity in the small bowel.

Background: Small bowel (SB) lesions in Crohn's disease (CD) are often asymptomatic despite being highly active. Fecal calprotectin (FC) is the most widely used biomarker of CD activity, but its drawbacks include a large intra-individual sample variability and the burden of collecting stool samples. Meanwhile, serum leucine-rich alpha-2 glycoprotein (LRG) has recently attracted attention as a biomarker that can address the limitations of FC. This study determined the diagnostic accuracy of LRG and its cut-off values for diagnosing CD activity in SB.

Methods: This was a retrospective, multi-center study of CD patients undergoing retrograde balloon-assisted endoscopy. For ileal- and ileocolonic-type patients with a colon SES-CD score of 0, we estimated the receiver operating characteristic curve of LRG and determined the cut-off value to achieve a target sensitivity level of 80%.

Results: Among 285 patients with SB lesions, LRG had an area under the curve (AUC) of 0.72 (95% CI 0.67-0.78) with a sensitivity of 80.2% and specificity of 47.2% for a cut-off value of 10.5 when diagnosing endoscopic remission (modified SES-CD ≤ 3), while it had an AUC of 0.72 (95% CI 0.65-0.78) with a sensitivity of 81.2% and specificity of 46.2% for a cut-off value of 10.1 when diagnosing complete ulcer healing (modified SES-CD ≤ 1).

Conclusion: LRG was effective for diagnosing CD activity in SB, specifically with cut-off values of 10.5 and 10.1 for endoscopic remission and complete ulcer healing, respectively. A future prospective validation study will assess its clinical utility.

求助全文
通过发布文献求助,成功后即可免费获取论文全文。 去求助
来源期刊
Journal of Gastroenterology
Journal of Gastroenterology 医学-胃肠肝病学
CiteScore
12.20
自引率
1.60%
发文量
99
审稿时长
4-8 weeks
期刊介绍: The Journal of Gastroenterology, which is the official publication of the Japanese Society of Gastroenterology, publishes Original Articles (Alimentary Tract/Liver, Pancreas, and Biliary Tract), Review Articles, Letters to the Editors and other articles on all aspects of the field of gastroenterology. Significant contributions relating to basic research, theory, and practice are welcomed. These publications are designed to disseminate knowledge in this field to a worldwide audience, and accordingly, its editorial board has an international membership.
×
引用
GB/T 7714-2015
复制
MLA
复制
APA
复制
导出至
BibTeX EndNote RefMan NoteFirst NoteExpress
×
提示
您的信息不完整,为了账户安全,请先补充。
现在去补充
×
提示
您因"违规操作"
具体请查看互助需知
我知道了
×
提示
确定
请完成安全验证×
copy
已复制链接
快去分享给好友吧!
我知道了
右上角分享
点击右上角分享
0
联系我们:info@booksci.cn Book学术提供免费学术资源搜索服务,方便国内外学者检索中英文文献。致力于提供最便捷和优质的服务体验。 Copyright © 2023 布克学术 All rights reserved.
京ICP备2023020795号-1
ghs 京公网安备 11010802042870号
Book学术文献互助
Book学术文献互助群
群 号:604180095
Book学术官方微信