乌拉圭,一个新兴的拉丁美洲国家,向儿童销售的食品中的添加剂。

IF 2 Q3 NUTRITION & DIETETICS
Journal of Nutritional Science Pub Date : 2025-01-20 eCollection Date: 2025-01-01 DOI:10.1017/jns.2024.98
Florencia Alcaire, Ana Giménez, Gastón Ares
{"title":"乌拉圭,一个新兴的拉丁美洲国家,向儿童销售的食品中的添加剂。","authors":"Florencia Alcaire, Ana Giménez, Gastón Ares","doi":"10.1017/jns.2024.98","DOIUrl":null,"url":null,"abstract":"<p><p>Foods are frequently marketed to children through the inclusion of a wide range of elements on the packages. Several studies conducted in different countries around the globe have shown that products marketed to children are usually high in sugar and other nutrients associated with non-communicable diseases. The present exploratory cross-sectional study aimed at providing additional evidence on the composition of products marketed to children by analysing the disclosure of additives in such products. Data were collected at nine supermarkets in two Uruguayan cities between August and October 2021. All packaged products available in each supermarket were surveyed using a cell phone app, except for culinary ingredients. All the information from the labels was extracted. Products marketed to children were identified based on the presence of indicators of child-directed marketing on the package. The disclosure of additives was analysed based on the information available in the ingredient list. The prevalence of food additive disclosure was calculated. Of the 7,343 products included in the database, 573 (7.8%) were classified as marketed to children. Candies and cookies were the categories with the largest number of products marketed to children. The great majority of the products marketed to children disclosed at least one food additive (93.5%). These products tended to more frequently notify colourings, antioxidants, acidity regulators, raising agents, stabilisers, humectants, anticaking agents, and glazing agents compared to products not marketed to children. These findings underscore the need to expand the current scope of regulations on marketing targeted at children beyond nutrients to include additives potentially linked to adverse health effects, such as artificial colourings.</p>","PeriodicalId":47536,"journal":{"name":"Journal of Nutritional Science","volume":"14 ","pages":"e6"},"PeriodicalIF":2.0000,"publicationDate":"2025-01-20","publicationTypes":"Journal Article","fieldsOfStudy":null,"isOpenAccess":false,"openAccessPdf":"https://www.ncbi.nlm.nih.gov/pmc/articles/PMC11811850/pdf/","citationCount":"0","resultStr":"{\"title\":\"Additives in foods marketed to children in Uruguay, an emerging Latin American country.\",\"authors\":\"Florencia Alcaire, Ana Giménez, Gastón Ares\",\"doi\":\"10.1017/jns.2024.98\",\"DOIUrl\":null,\"url\":null,\"abstract\":\"<p><p>Foods are frequently marketed to children through the inclusion of a wide range of elements on the packages. Several studies conducted in different countries around the globe have shown that products marketed to children are usually high in sugar and other nutrients associated with non-communicable diseases. The present exploratory cross-sectional study aimed at providing additional evidence on the composition of products marketed to children by analysing the disclosure of additives in such products. Data were collected at nine supermarkets in two Uruguayan cities between August and October 2021. All packaged products available in each supermarket were surveyed using a cell phone app, except for culinary ingredients. All the information from the labels was extracted. Products marketed to children were identified based on the presence of indicators of child-directed marketing on the package. The disclosure of additives was analysed based on the information available in the ingredient list. The prevalence of food additive disclosure was calculated. Of the 7,343 products included in the database, 573 (7.8%) were classified as marketed to children. Candies and cookies were the categories with the largest number of products marketed to children. The great majority of the products marketed to children disclosed at least one food additive (93.5%). These products tended to more frequently notify colourings, antioxidants, acidity regulators, raising agents, stabilisers, humectants, anticaking agents, and glazing agents compared to products not marketed to children. These findings underscore the need to expand the current scope of regulations on marketing targeted at children beyond nutrients to include additives potentially linked to adverse health effects, such as artificial colourings.</p>\",\"PeriodicalId\":47536,\"journal\":{\"name\":\"Journal of Nutritional Science\",\"volume\":\"14 \",\"pages\":\"e6\"},\"PeriodicalIF\":2.0000,\"publicationDate\":\"2025-01-20\",\"publicationTypes\":\"Journal Article\",\"fieldsOfStudy\":null,\"isOpenAccess\":false,\"openAccessPdf\":\"https://www.ncbi.nlm.nih.gov/pmc/articles/PMC11811850/pdf/\",\"citationCount\":\"0\",\"resultStr\":null,\"platform\":\"Semanticscholar\",\"paperid\":null,\"PeriodicalName\":\"Journal of Nutritional Science\",\"FirstCategoryId\":\"1085\",\"ListUrlMain\":\"https://doi.org/10.1017/jns.2024.98\",\"RegionNum\":0,\"RegionCategory\":null,\"ArticlePicture\":[],\"TitleCN\":null,\"AbstractTextCN\":null,\"PMCID\":null,\"EPubDate\":\"2025/1/1 0:00:00\",\"PubModel\":\"eCollection\",\"JCR\":\"Q3\",\"JCRName\":\"NUTRITION & DIETETICS\",\"Score\":null,\"Total\":0}","platform":"Semanticscholar","paperid":null,"PeriodicalName":"Journal of Nutritional Science","FirstCategoryId":"1085","ListUrlMain":"https://doi.org/10.1017/jns.2024.98","RegionNum":0,"RegionCategory":null,"ArticlePicture":[],"TitleCN":null,"AbstractTextCN":null,"PMCID":null,"EPubDate":"2025/1/1 0:00:00","PubModel":"eCollection","JCR":"Q3","JCRName":"NUTRITION & DIETETICS","Score":null,"Total":0}
引用次数: 0

摘要

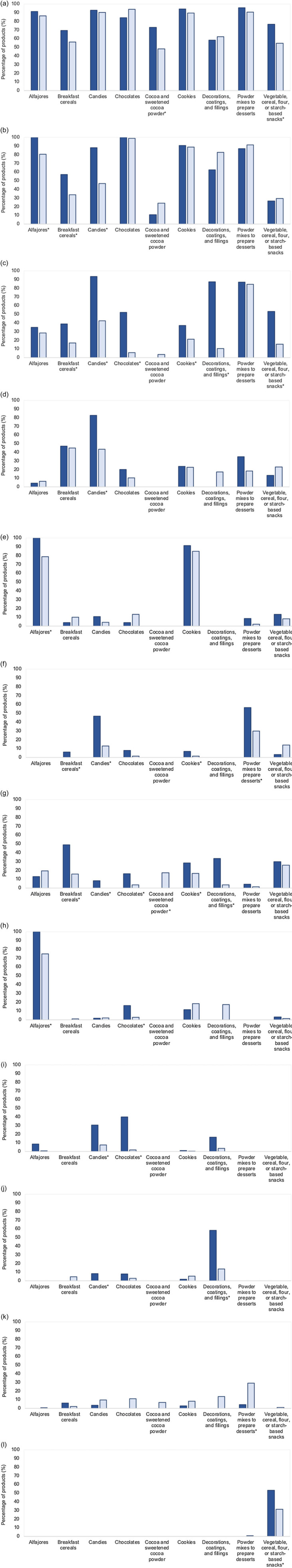
食品通常是通过在包装上包含各种各样的元素来向儿童推销的。在全球不同国家进行的几项研究表明,向儿童销售的产品通常含有高糖和与非传染性疾病相关的其他营养素。目前的探索性横断面研究旨在通过分析此类产品中添加剂的披露,为销售给儿童的产品的成分提供额外的证据。数据是在2021年8月至10月期间在乌拉圭两个城市的9家超市收集的。除了烹饪原料外,每家超市的所有包装产品都使用手机应用程序进行了调查。从标签中提取所有信息。针对儿童销售的产品是根据包装上是否有针对儿童的营销指标来确定的。根据成分表中提供的信息对添加剂的披露进行了分析。计算了食品添加剂披露的流行程度。在数据库中包含的7343种产品中,573种(7.8%)被归类为面向儿童销售的产品。糖果和饼干是面向儿童销售的产品数量最多的类别。绝大多数面向儿童销售的产品披露了至少一种食品添加剂(93.5%)。与不面向儿童销售的产品相比,这些产品往往更频繁地通知着色剂、抗氧化剂、酸度调节剂、催肥剂、稳定剂、湿润剂、抗结块剂和上光剂。这些发现强调,有必要扩大目前针对儿童的营销法规的范围,使其不局限于营养素,而包括可能对健康产生不利影响的添加剂,如人工色素。
本文章由计算机程序翻译,如有差异,请以英文原文为准。

Additives in foods marketed to children in Uruguay, an emerging Latin American country.

Additives in foods marketed to children in Uruguay, an emerging Latin American country.

Additives in foods marketed to children in Uruguay, an emerging Latin American country.

Additives in foods marketed to children in Uruguay, an emerging Latin American country.

Foods are frequently marketed to children through the inclusion of a wide range of elements on the packages. Several studies conducted in different countries around the globe have shown that products marketed to children are usually high in sugar and other nutrients associated with non-communicable diseases. The present exploratory cross-sectional study aimed at providing additional evidence on the composition of products marketed to children by analysing the disclosure of additives in such products. Data were collected at nine supermarkets in two Uruguayan cities between August and October 2021. All packaged products available in each supermarket were surveyed using a cell phone app, except for culinary ingredients. All the information from the labels was extracted. Products marketed to children were identified based on the presence of indicators of child-directed marketing on the package. The disclosure of additives was analysed based on the information available in the ingredient list. The prevalence of food additive disclosure was calculated. Of the 7,343 products included in the database, 573 (7.8%) were classified as marketed to children. Candies and cookies were the categories with the largest number of products marketed to children. The great majority of the products marketed to children disclosed at least one food additive (93.5%). These products tended to more frequently notify colourings, antioxidants, acidity regulators, raising agents, stabilisers, humectants, anticaking agents, and glazing agents compared to products not marketed to children. These findings underscore the need to expand the current scope of regulations on marketing targeted at children beyond nutrients to include additives potentially linked to adverse health effects, such as artificial colourings.

求助全文
通过发布文献求助,成功后即可免费获取论文全文。 去求助
来源期刊
Journal of Nutritional Science
Journal of Nutritional Science NUTRITION & DIETETICS-
CiteScore
3.00
自引率
0.00%
发文量
91
审稿时长
7 weeks
期刊介绍: Journal of Nutritional Science is an international, peer-reviewed, online only, open access journal that welcomes high-quality research articles in all aspects of nutrition. The underlying aim of all work should be, as far as possible, to develop nutritional concepts. JNS encompasses the full spectrum of nutritional science including public health nutrition, epidemiology, dietary surveys, nutritional requirements, metabolic studies, body composition, energetics, appetite, obesity, ageing, endocrinology, immunology, neuroscience, microbiology, genetics, molecular and cellular biology and nutrigenomics. JNS welcomes Primary Research Papers, Brief Reports, Review Articles, Systematic Reviews, Workshop Reports, Letters to the Editor and Obituaries.
×
引用
GB/T 7714-2015
复制
MLA
复制
APA
复制
导出至
BibTeX EndNote RefMan NoteFirst NoteExpress
×
提示
您的信息不完整,为了账户安全,请先补充。
现在去补充
×
提示
您因"违规操作"
具体请查看互助需知
我知道了
×
提示
确定
请完成安全验证×
copy
已复制链接
快去分享给好友吧!
我知道了
右上角分享
点击右上角分享
0
联系我们:info@booksci.cn Book学术提供免费学术资源搜索服务,方便国内外学者检索中英文文献。致力于提供最便捷和优质的服务体验。 Copyright © 2023 布克学术 All rights reserved.
京ICP备2023020795号-1
ghs 京公网安备 11010802042870号
Book学术文献互助
Book学术文献互助群
群 号:604180095
Book学术官方微信