年龄、发病率和死亡时间:老龄人口在医疗保健方面的临终支出。

IF 3 3区 医学 Q1 ECONOMICS
European Journal of Health Economics Pub Date : 2025-08-01 Epub Date: 2025-02-11 DOI:10.1007/s10198-025-01757-8
Irene Torrini, Claudio Lucifora, Antonio Giampiero Russo
{"title":"年龄、发病率和死亡时间:老龄人口在医疗保健方面的临终支出。","authors":"Irene Torrini, Claudio Lucifora, Antonio Giampiero Russo","doi":"10.1007/s10198-025-01757-8","DOIUrl":null,"url":null,"abstract":"<p><p>In this paper, we analyze resource allocation and explore the life-cycle evolution of health care expenditures (HCE) by investigating the effect of age, morbidity and time to death (TTD) on HCE for the young-old population. Using a rich 10-year population-level panel, we estimate a fixed-effects model to analyze HCE patterns for different health care services and by primary disease. Our main findings indicate that the effect of age on total HCE is lower when morbidity is controlled for while it increases when we also condition on TTD. This indicates that, compared to those incurred at older ages, earlier deaths are associated with higher HCE. At younger ages, increased expenditures are also observed as the severity of the health condition deteriorates. We also show that expenses for out-of-hospital services mainly drive the evolution of total HCE by age, while inpatient expenses are primarily determined by morbidity and TTD. In the end-of-life period, hospital costs continue to rise, whereas expenses incurred for all other services fall sharply in the year of death. We prove that expenses for long-lasting conditions start to increase long before death, while those for acute conditions grow exponentially only in the last two years of life. Our work contributes to informing cost-containment policies through a better understanding of HCE evolution during the life cycle and in the last years of life.</p>","PeriodicalId":51416,"journal":{"name":"European Journal of Health Economics","volume":" ","pages":"1079-1099"},"PeriodicalIF":3.0000,"publicationDate":"2025-08-01","publicationTypes":"Journal Article","fieldsOfStudy":null,"isOpenAccess":false,"openAccessPdf":"https://www.ncbi.nlm.nih.gov/pmc/articles/PMC12310871/pdf/","citationCount":"0","resultStr":"{\"title\":\"Age, morbidity, and time to death: End-of-life expenditures on health care for the young-old population.\",\"authors\":\"Irene Torrini, Claudio Lucifora, Antonio Giampiero Russo\",\"doi\":\"10.1007/s10198-025-01757-8\",\"DOIUrl\":null,\"url\":null,\"abstract\":\"<p><p>In this paper, we analyze resource allocation and explore the life-cycle evolution of health care expenditures (HCE) by investigating the effect of age, morbidity and time to death (TTD) on HCE for the young-old population. Using a rich 10-year population-level panel, we estimate a fixed-effects model to analyze HCE patterns for different health care services and by primary disease. Our main findings indicate that the effect of age on total HCE is lower when morbidity is controlled for while it increases when we also condition on TTD. This indicates that, compared to those incurred at older ages, earlier deaths are associated with higher HCE. At younger ages, increased expenditures are also observed as the severity of the health condition deteriorates. We also show that expenses for out-of-hospital services mainly drive the evolution of total HCE by age, while inpatient expenses are primarily determined by morbidity and TTD. In the end-of-life period, hospital costs continue to rise, whereas expenses incurred for all other services fall sharply in the year of death. We prove that expenses for long-lasting conditions start to increase long before death, while those for acute conditions grow exponentially only in the last two years of life. Our work contributes to informing cost-containment policies through a better understanding of HCE evolution during the life cycle and in the last years of life.</p>\",\"PeriodicalId\":51416,\"journal\":{\"name\":\"European Journal of Health Economics\",\"volume\":\" \",\"pages\":\"1079-1099\"},\"PeriodicalIF\":3.0000,\"publicationDate\":\"2025-08-01\",\"publicationTypes\":\"Journal Article\",\"fieldsOfStudy\":null,\"isOpenAccess\":false,\"openAccessPdf\":\"https://www.ncbi.nlm.nih.gov/pmc/articles/PMC12310871/pdf/\",\"citationCount\":\"0\",\"resultStr\":null,\"platform\":\"Semanticscholar\",\"paperid\":null,\"PeriodicalName\":\"European Journal of Health Economics\",\"FirstCategoryId\":\"3\",\"ListUrlMain\":\"https://doi.org/10.1007/s10198-025-01757-8\",\"RegionNum\":3,\"RegionCategory\":\"医学\",\"ArticlePicture\":[],\"TitleCN\":null,\"AbstractTextCN\":null,\"PMCID\":null,\"EPubDate\":\"2025/2/11 0:00:00\",\"PubModel\":\"Epub\",\"JCR\":\"Q1\",\"JCRName\":\"ECONOMICS\",\"Score\":null,\"Total\":0}","platform":"Semanticscholar","paperid":null,"PeriodicalName":"European Journal of Health Economics","FirstCategoryId":"3","ListUrlMain":"https://doi.org/10.1007/s10198-025-01757-8","RegionNum":3,"RegionCategory":"医学","ArticlePicture":[],"TitleCN":null,"AbstractTextCN":null,"PMCID":null,"EPubDate":"2025/2/11 0:00:00","PubModel":"Epub","JCR":"Q1","JCRName":"ECONOMICS","Score":null,"Total":0}
引用次数: 0

摘要

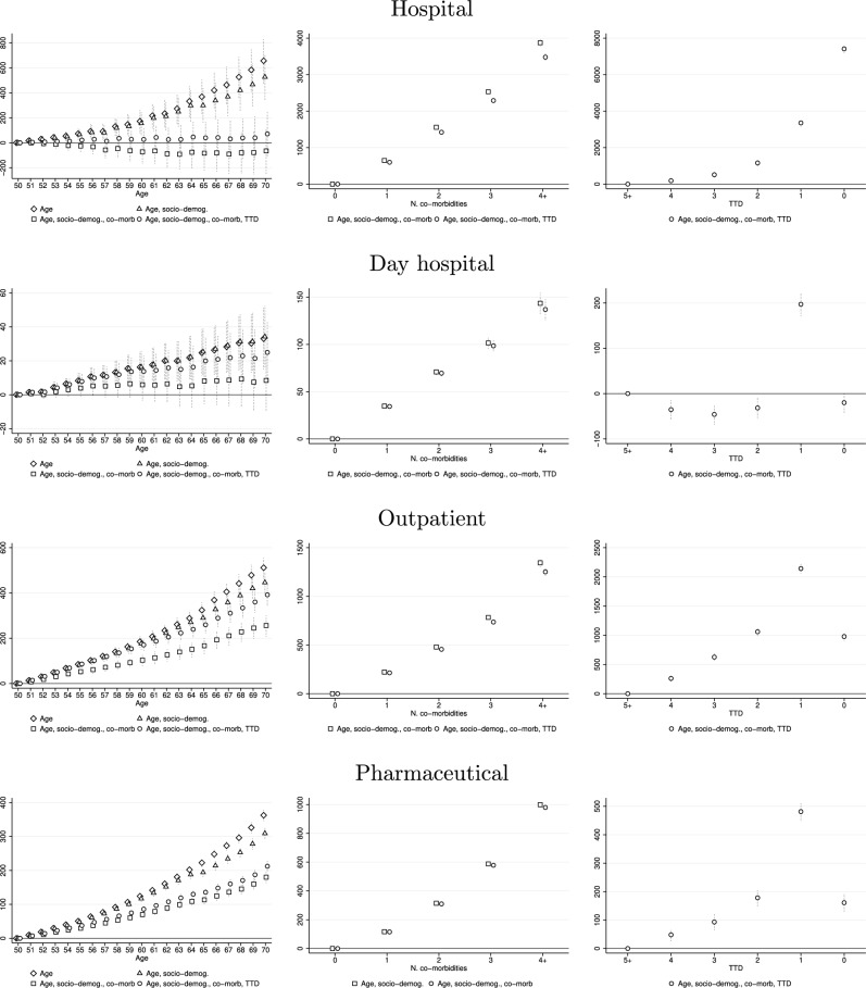
本文通过调查年龄、发病率和死亡时间(TTD)对青壮年人群卫生保健支出(HCE)的影响,分析资源配置并探讨其生命周期演变。使用丰富的10年人口水平面板,我们估计了固定效应模型,以分析不同医疗保健服务和原发疾病的HCE模式。我们的主要研究结果表明,当发病率得到控制时,年龄对总HCE的影响较低,而当我们同时患有TTD时,年龄对总HCE的影响会增加。这表明,与老年时发生的死亡相比,早期死亡与较高的HCE有关。在年龄较小的儿童中,随着健康状况的恶化,支出也会增加。我们还发现,院外服务费用主要驱动总HCE随年龄的变化,而住院费用主要由发病率和TTD决定。在生命终了期间,住院费用继续上升,而所有其他服务的费用在死亡当年急剧下降。我们证明,长期疾病的费用在死亡之前很久就开始增加,而急性疾病的费用只在生命的最后两年呈指数级增长。通过更好地了解HCE在生命周期和生命周期最后几年的演变,我们的工作有助于为成本控制政策提供信息。
本文章由计算机程序翻译,如有差异,请以英文原文为准。

Age, morbidity, and time to death: End-of-life expenditures on health care for the young-old population.

Age, morbidity, and time to death: End-of-life expenditures on health care for the young-old population.

Age, morbidity, and time to death: End-of-life expenditures on health care for the young-old population.

Age, morbidity, and time to death: End-of-life expenditures on health care for the young-old population.

In this paper, we analyze resource allocation and explore the life-cycle evolution of health care expenditures (HCE) by investigating the effect of age, morbidity and time to death (TTD) on HCE for the young-old population. Using a rich 10-year population-level panel, we estimate a fixed-effects model to analyze HCE patterns for different health care services and by primary disease. Our main findings indicate that the effect of age on total HCE is lower when morbidity is controlled for while it increases when we also condition on TTD. This indicates that, compared to those incurred at older ages, earlier deaths are associated with higher HCE. At younger ages, increased expenditures are also observed as the severity of the health condition deteriorates. We also show that expenses for out-of-hospital services mainly drive the evolution of total HCE by age, while inpatient expenses are primarily determined by morbidity and TTD. In the end-of-life period, hospital costs continue to rise, whereas expenses incurred for all other services fall sharply in the year of death. We prove that expenses for long-lasting conditions start to increase long before death, while those for acute conditions grow exponentially only in the last two years of life. Our work contributes to informing cost-containment policies through a better understanding of HCE evolution during the life cycle and in the last years of life.

求助全文
通过发布文献求助,成功后即可免费获取论文全文。 去求助
来源期刊
CiteScore
6.10
自引率
2.30%
发文量
131
期刊介绍: The European Journal of Health Economics is a journal of Health Economics and associated disciplines. The growing demand for health economics and the introduction of new guidelines in various European countries were the motivation to generate a highly scientific and at the same time practice oriented journal considering the requirements of various health care systems in Europe. The international scientific board of opinion leaders guarantees high-quality, peer-reviewed publications as well as articles for pragmatic approaches in the field of health economics. We intend to cover all aspects of health economics: • Basics of health economic approaches and methods • Pharmacoeconomics • Health Care Systems • Pricing and Reimbursement Systems • Quality-of-Life-Studies The editors reserve the right to reject manuscripts that do not comply with the above-mentioned requirements. The author will be held responsible for false statements or for failure to fulfill the above-mentioned requirements. Officially cited as: Eur J Health Econ
×
引用
GB/T 7714-2015
复制
MLA
复制
APA
复制
导出至
BibTeX EndNote RefMan NoteFirst NoteExpress
×
提示
您的信息不完整,为了账户安全,请先补充。
现在去补充
×
提示
您因"违规操作"
具体请查看互助需知
我知道了
×
提示
确定
请完成安全验证×
copy
已复制链接
快去分享给好友吧!
我知道了
右上角分享
点击右上角分享
0
联系我们:info@booksci.cn Book学术提供免费学术资源搜索服务,方便国内外学者检索中英文文献。致力于提供最便捷和优质的服务体验。 Copyright © 2023 布克学术 All rights reserved.
京ICP备2023020795号-1
ghs 京公网安备 11010802042870号
Book学术文献互助
Book学术文献互助群
群 号:604180095
Book学术官方微信