数字健康技术在痴呆症护理中的应用:文献计量学分析和报告。

IF 5.8 2区 医学 Q1 PSYCHIATRY
Jmir Mental Health Pub Date : 2025-02-10 DOI:10.2196/64445
Hebatullah Abdulazeem, Israel Júnior Borges do Nascimento, Ishanka Weerasekara, Amin Sharifan, Victor Grandi Bianco, Ciara Cunningham, Indunil Kularathne, Genevieve Deeken, Jerome de Barros, Brijesh Sathian, Lasse Østengaard, Frederique Lamontagne-Godwin, Joost van Hoof, Ledia Lazeri, Cassie Redlich, Hannah R Marston, Ryan Alistair Dos Santos, Natasha Azzopardi-Muscat, Yongjie Yon, David Novillo-Ortiz
{"title":"数字健康技术在痴呆症护理中的应用:文献计量学分析和报告。","authors":"Hebatullah Abdulazeem, Israel Júnior Borges do Nascimento, Ishanka Weerasekara, Amin Sharifan, Victor Grandi Bianco, Ciara Cunningham, Indunil Kularathne, Genevieve Deeken, Jerome de Barros, Brijesh Sathian, Lasse Østengaard, Frederique Lamontagne-Godwin, Joost van Hoof, Ledia Lazeri, Cassie Redlich, Hannah R Marston, Ryan Alistair Dos Santos, Natasha Azzopardi-Muscat, Yongjie Yon, David Novillo-Ortiz","doi":"10.2196/64445","DOIUrl":null,"url":null,"abstract":"<p><strong>Background: </strong>Dementia is a syndrome that compromises neurocognitive functions of the individual and that is affecting 55 million individuals globally, as well as global health care systems, national economic systems, and family members.</p><p><strong>Objective: </strong>This study aimed to determine the status quo of scientific production on use of digital health technologies (DHTs) to support (older) people living with dementia, their families, and care partners. In addition, our study aimed to map the current landscape of global research initiatives on DHTs on the prevention, diagnosis, treatment, and support of people living with dementia and their caregivers.</p><p><strong>Methods: </strong>A bibliometric analysis was performed as part of a systematic review protocol using MEDLINE, Embase, Scopus, Epistemonikos, the Cochrane Database of Systematic Reviews, and Google Scholar for systematic and scoping reviews on DHTs and dementia up to February 21, 2024. Search terms included various forms of dementia and DHTs. Two independent reviewers conducted a 2-stage screening process with disagreements resolved by a third reviewer. Eligible reviews were then subjected to a bibliometric analysis using VOSviewer to evaluate document types, authorship, countries, institutions, journal sources, references, and keywords, creating social network maps to visualize emergent research trends.</p><p><strong>Results: </strong>A total of 704 records met the inclusion criteria for bibliometric analysis. Most reviews were systematic, with a substantial number covering mobile health, telehealth, and computer-based cognitive interventions. Bibliometric analysis revealed that the Journal of Medical Internet Research had the highest number of reviews and citations. Researchers from 66 countries contributed, with the United Kingdom and the United States as the most prolific. Overall, the number of publications covering the intersection of DHTs and dementia has increased steadily over time. However, the diversity of reviews conducted on a single topic has resulted in duplicated scientific efforts. Our assessment of contributions from countries, institutions, and key stakeholders reveals significant trends and knowledge gaps, particularly highlighting the dominance of high-income countries in this research domain. Furthermore, our findings emphasize the critical importance of interdisciplinary, collaborative teams and offer clear directions for future research, especially in underrepresented regions.</p><p><strong>Conclusions: </strong>Our study shows a steady increase in dementia- and DHT-related publications, particularly in areas such as mobile health, virtual reality, artificial intelligence, and sensor-based technologies interventions. This increase underscores the importance of systematic approaches and interdisciplinary collaborations, while identifying knowledge gaps, especially in lower-income regions. It is crucial that researchers worldwide adhere to evidence-based medicine principles to avoid duplication of efforts. This analysis offers a valuable foundation for policy makers and academics, emphasizing the need for an international collaborative task force to address knowledge gaps and advance dementia care globally.</p><p><strong>Trial registration: </strong>PROSPERO CRD42024511241; https://www.crd.york.ac.uk/prospero/display_record.php?RecordID=511241.</p>","PeriodicalId":48616,"journal":{"name":"Jmir Mental Health","volume":"12 ","pages":"e64445"},"PeriodicalIF":5.8000,"publicationDate":"2025-02-10","publicationTypes":"Journal Article","fieldsOfStudy":null,"isOpenAccess":false,"openAccessPdf":"https://www.ncbi.nlm.nih.gov/pmc/articles/PMC11851039/pdf/","citationCount":"0","resultStr":"{\"title\":\"Use of Digital Health Technologies for Dementia Care: Bibliometric Analysis and Report.\",\"authors\":\"Hebatullah Abdulazeem, Israel Júnior Borges do Nascimento, Ishanka Weerasekara, Amin Sharifan, Victor Grandi Bianco, Ciara Cunningham, Indunil Kularathne, Genevieve Deeken, Jerome de Barros, Brijesh Sathian, Lasse Østengaard, Frederique Lamontagne-Godwin, Joost van Hoof, Ledia Lazeri, Cassie Redlich, Hannah R Marston, Ryan Alistair Dos Santos, Natasha Azzopardi-Muscat, Yongjie Yon, David Novillo-Ortiz\",\"doi\":\"10.2196/64445\",\"DOIUrl\":null,\"url\":null,\"abstract\":\"<p><strong>Background: </strong>Dementia is a syndrome that compromises neurocognitive functions of the individual and that is affecting 55 million individuals globally, as well as global health care systems, national economic systems, and family members.</p><p><strong>Objective: </strong>This study aimed to determine the status quo of scientific production on use of digital health technologies (DHTs) to support (older) people living with dementia, their families, and care partners. In addition, our study aimed to map the current landscape of global research initiatives on DHTs on the prevention, diagnosis, treatment, and support of people living with dementia and their caregivers.</p><p><strong>Methods: </strong>A bibliometric analysis was performed as part of a systematic review protocol using MEDLINE, Embase, Scopus, Epistemonikos, the Cochrane Database of Systematic Reviews, and Google Scholar for systematic and scoping reviews on DHTs and dementia up to February 21, 2024. Search terms included various forms of dementia and DHTs. Two independent reviewers conducted a 2-stage screening process with disagreements resolved by a third reviewer. Eligible reviews were then subjected to a bibliometric analysis using VOSviewer to evaluate document types, authorship, countries, institutions, journal sources, references, and keywords, creating social network maps to visualize emergent research trends.</p><p><strong>Results: </strong>A total of 704 records met the inclusion criteria for bibliometric analysis. Most reviews were systematic, with a substantial number covering mobile health, telehealth, and computer-based cognitive interventions. Bibliometric analysis revealed that the Journal of Medical Internet Research had the highest number of reviews and citations. Researchers from 66 countries contributed, with the United Kingdom and the United States as the most prolific. Overall, the number of publications covering the intersection of DHTs and dementia has increased steadily over time. However, the diversity of reviews conducted on a single topic has resulted in duplicated scientific efforts. Our assessment of contributions from countries, institutions, and key stakeholders reveals significant trends and knowledge gaps, particularly highlighting the dominance of high-income countries in this research domain. Furthermore, our findings emphasize the critical importance of interdisciplinary, collaborative teams and offer clear directions for future research, especially in underrepresented regions.</p><p><strong>Conclusions: </strong>Our study shows a steady increase in dementia- and DHT-related publications, particularly in areas such as mobile health, virtual reality, artificial intelligence, and sensor-based technologies interventions. This increase underscores the importance of systematic approaches and interdisciplinary collaborations, while identifying knowledge gaps, especially in lower-income regions. It is crucial that researchers worldwide adhere to evidence-based medicine principles to avoid duplication of efforts. This analysis offers a valuable foundation for policy makers and academics, emphasizing the need for an international collaborative task force to address knowledge gaps and advance dementia care globally.</p><p><strong>Trial registration: </strong>PROSPERO CRD42024511241; https://www.crd.york.ac.uk/prospero/display_record.php?RecordID=511241.</p>\",\"PeriodicalId\":48616,\"journal\":{\"name\":\"Jmir Mental Health\",\"volume\":\"12 \",\"pages\":\"e64445\"},\"PeriodicalIF\":5.8000,\"publicationDate\":\"2025-02-10\",\"publicationTypes\":\"Journal Article\",\"fieldsOfStudy\":null,\"isOpenAccess\":false,\"openAccessPdf\":\"https://www.ncbi.nlm.nih.gov/pmc/articles/PMC11851039/pdf/\",\"citationCount\":\"0\",\"resultStr\":null,\"platform\":\"Semanticscholar\",\"paperid\":null,\"PeriodicalName\":\"Jmir Mental Health\",\"FirstCategoryId\":\"3\",\"ListUrlMain\":\"https://doi.org/10.2196/64445\",\"RegionNum\":2,\"RegionCategory\":\"医学\",\"ArticlePicture\":[],\"TitleCN\":null,\"AbstractTextCN\":null,\"PMCID\":null,\"EPubDate\":\"\",\"PubModel\":\"\",\"JCR\":\"Q1\",\"JCRName\":\"PSYCHIATRY\",\"Score\":null,\"Total\":0}","platform":"Semanticscholar","paperid":null,"PeriodicalName":"Jmir Mental Health","FirstCategoryId":"3","ListUrlMain":"https://doi.org/10.2196/64445","RegionNum":2,"RegionCategory":"医学","ArticlePicture":[],"TitleCN":null,"AbstractTextCN":null,"PMCID":null,"EPubDate":"","PubModel":"","JCR":"Q1","JCRName":"PSYCHIATRY","Score":null,"Total":0}
引用次数: 0

摘要

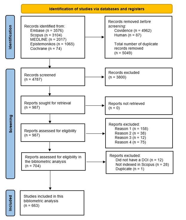
背景:痴呆症是一种损害个人神经认知功能的综合征,影响着全球5500万人以及全球卫生保健系统、国家经济系统和家庭成员。目的:本研究旨在确定使用数字卫生技术(dht)支持老年痴呆症患者及其家人和护理伙伴的科学生产现状。此外,我们的研究旨在绘制dht在预防、诊断、治疗和支持痴呆症患者及其照护者方面的全球研究计划的现状。方法:使用MEDLINE、Embase、Scopus、Epistemonikos、Cochrane系统评价数据库和谷歌Scholar进行文献计量学分析,作为系统评价方案的一部分,对dht和痴呆进行系统和范围评价,截止到2024年2月21日。搜索词包括各种形式的痴呆和dht。两名独立审稿人进行了两阶段的筛选过程,分歧由第三名审稿人解决。然后使用VOSviewer对符合条件的综述进行文献计量分析,评估文献类型、作者、国家、机构、期刊来源、参考文献和关键词,创建社会网络地图,以可视化新兴研究趋势。结果:704篇文献符合文献计量学分析的纳入标准。大多数评价是系统的,其中相当多的评价涉及移动保健、远程保健和基于计算机的认知干预。文献计量分析显示,《医学互联网研究杂志》的评论和引用次数最多。来自66个国家的研究人员做出了贡献,其中英国和美国的贡献最多。总体而言,涵盖dht和痴呆症交叉的出版物数量随着时间的推移稳步增加。然而,对单一主题进行的多样性审查导致了重复的科学努力。我们对国家、机构和主要利益相关者贡献的评估揭示了重大趋势和知识差距,特别强调了高收入国家在这一研究领域的主导地位。此外,我们的研究结果强调了跨学科合作团队的重要性,并为未来的研究提供了明确的方向,特别是在代表性不足的地区。结论:我们的研究表明,与痴呆症和dht相关的出版物稳步增加,特别是在移动医疗、虚拟现实、人工智能和基于传感器的技术干预等领域。这一增长强调了系统方法和跨学科合作的重要性,同时确定了知识差距,特别是在低收入地区。至关重要的是,世界各地的研究人员必须遵守循证医学原则,以避免重复工作。这一分析为政策制定者和学者提供了宝贵的基础,强调需要建立一个国际合作工作组,以解决知识差距并在全球范围内推进痴呆症护理。试验注册:PROSPERO CRD42024511241;https://www.crd.york.ac.uk/prospero/display_record.php?RecordID=511241。
本文章由计算机程序翻译,如有差异,请以英文原文为准。

Use of Digital Health Technologies for Dementia Care: Bibliometric Analysis and Report.

Use of Digital Health Technologies for Dementia Care: Bibliometric Analysis and Report.

Use of Digital Health Technologies for Dementia Care: Bibliometric Analysis and Report.

Use of Digital Health Technologies for Dementia Care: Bibliometric Analysis and Report.

Background: Dementia is a syndrome that compromises neurocognitive functions of the individual and that is affecting 55 million individuals globally, as well as global health care systems, national economic systems, and family members.

Objective: This study aimed to determine the status quo of scientific production on use of digital health technologies (DHTs) to support (older) people living with dementia, their families, and care partners. In addition, our study aimed to map the current landscape of global research initiatives on DHTs on the prevention, diagnosis, treatment, and support of people living with dementia and their caregivers.

Methods: A bibliometric analysis was performed as part of a systematic review protocol using MEDLINE, Embase, Scopus, Epistemonikos, the Cochrane Database of Systematic Reviews, and Google Scholar for systematic and scoping reviews on DHTs and dementia up to February 21, 2024. Search terms included various forms of dementia and DHTs. Two independent reviewers conducted a 2-stage screening process with disagreements resolved by a third reviewer. Eligible reviews were then subjected to a bibliometric analysis using VOSviewer to evaluate document types, authorship, countries, institutions, journal sources, references, and keywords, creating social network maps to visualize emergent research trends.

Results: A total of 704 records met the inclusion criteria for bibliometric analysis. Most reviews were systematic, with a substantial number covering mobile health, telehealth, and computer-based cognitive interventions. Bibliometric analysis revealed that the Journal of Medical Internet Research had the highest number of reviews and citations. Researchers from 66 countries contributed, with the United Kingdom and the United States as the most prolific. Overall, the number of publications covering the intersection of DHTs and dementia has increased steadily over time. However, the diversity of reviews conducted on a single topic has resulted in duplicated scientific efforts. Our assessment of contributions from countries, institutions, and key stakeholders reveals significant trends and knowledge gaps, particularly highlighting the dominance of high-income countries in this research domain. Furthermore, our findings emphasize the critical importance of interdisciplinary, collaborative teams and offer clear directions for future research, especially in underrepresented regions.

Conclusions: Our study shows a steady increase in dementia- and DHT-related publications, particularly in areas such as mobile health, virtual reality, artificial intelligence, and sensor-based technologies interventions. This increase underscores the importance of systematic approaches and interdisciplinary collaborations, while identifying knowledge gaps, especially in lower-income regions. It is crucial that researchers worldwide adhere to evidence-based medicine principles to avoid duplication of efforts. This analysis offers a valuable foundation for policy makers and academics, emphasizing the need for an international collaborative task force to address knowledge gaps and advance dementia care globally.

Trial registration: PROSPERO CRD42024511241; https://www.crd.york.ac.uk/prospero/display_record.php?RecordID=511241.

求助全文
通过发布文献求助,成功后即可免费获取论文全文。 去求助
来源期刊
Jmir Mental Health
Jmir Mental Health Medicine-Psychiatry and Mental Health
CiteScore
10.80
自引率
3.80%
发文量
104
审稿时长
16 weeks
期刊介绍: JMIR Mental Health (JMH, ISSN 2368-7959) is a PubMed-indexed, peer-reviewed sister journal of JMIR, the leading eHealth journal (Impact Factor 2016: 5.175). JMIR Mental Health focusses on digital health and Internet interventions, technologies and electronic innovations (software and hardware) for mental health, addictions, online counselling and behaviour change. This includes formative evaluation and system descriptions, theoretical papers, review papers, viewpoint/vision papers, and rigorous evaluations.
×
引用
GB/T 7714-2015
复制
MLA
复制
APA
复制
导出至
BibTeX EndNote RefMan NoteFirst NoteExpress
×
提示
您的信息不完整,为了账户安全,请先补充。
现在去补充
×
提示
您因"违规操作"
具体请查看互助需知
我知道了
×
提示
确定
请完成安全验证×
copy
已复制链接
快去分享给好友吧!
我知道了
右上角分享
点击右上角分享
0
联系我们:info@booksci.cn Book学术提供免费学术资源搜索服务,方便国内外学者检索中英文文献。致力于提供最便捷和优质的服务体验。 Copyright © 2023 布克学术 All rights reserved.
京ICP备2023020795号-1
ghs 京公网安备 11010802042870号
Book学术文献互助
Book学术文献互助群
群 号:604180095
Book学术官方微信