低皮质醇和脱氢表雄酮硫酸盐和高食物成瘾儿童肥胖:与压力和饮食参数的关系。

IF 3.1 Q2 ENDOCRINOLOGY & METABOLISM
Journal of the Endocrine Society Pub Date : 2025-02-10 eCollection Date: 2025-02-04 DOI:10.1210/jendso/bvaf011
Rúbia Cartaxo Squizato de Moraes, Thallyta Alanna Ferreira Viana, Joicy Karla Grangeiro Pereira, Paulo César Trindade da Costa, Davyson Barbosa Duarte, Lydiane de Lima Tavares Toscano, Manuel Francisco de Araújo Lima, Melyssa Kellyane Cavalcanti Galdino, Joelma Rodrigues de Souza, Francisco Antônio de Oliveira Júnior, Adélia da Costa Pereira de Arruda Neta, José Luiz de Brito Alves, Vinícius José Baccin Martins
{"title":"低皮质醇和脱氢表雄酮硫酸盐和高食物成瘾儿童肥胖:与压力和饮食参数的关系。","authors":"Rúbia Cartaxo Squizato de Moraes, Thallyta Alanna Ferreira Viana, Joicy Karla Grangeiro Pereira, Paulo César Trindade da Costa, Davyson Barbosa Duarte, Lydiane de Lima Tavares Toscano, Manuel Francisco de Araújo Lima, Melyssa Kellyane Cavalcanti Galdino, Joelma Rodrigues de Souza, Francisco Antônio de Oliveira Júnior, Adélia da Costa Pereira de Arruda Neta, José Luiz de Brito Alves, Vinícius José Baccin Martins","doi":"10.1210/jendso/bvaf011","DOIUrl":null,"url":null,"abstract":"<p><strong>Context: </strong>Obesity has been associated with changes in cortisol and dehydroepiandrosterone (DHEA) sulfate concentrations and increased stress levels and food addiction.</p><p><strong>Objectives: </strong>We explored changes in morning salivary cortisol and DHEA in childhood obesity and their associations with body composition, metabolic profile, food addiction, food consumption, and stress in a cross-sectional study.</p><p><strong>Methods: </strong>Children aged 7 to 12 years of both sexes were allocated into 2 groups according to body mass index-for-age: control group (n = 60) or obesity group (n = 98). Anthropometric, body composition, serum glucose, insulin, lipid profile, and DHEA were measured. Saliva was collected at different times to measure morning salivary cortisol concentrations. Food addiction, food consumption, and stress were assessed using questionnaires.</p><p><strong>Results: </strong>Lower DHEA [1.04 (0.87-1.25) ng/mL vs 1.65 (1.30-2.07) ng/mL, <i>P</i> = .002] and salivary cortisol (6:00 Am: 1.17 ± 0.89 vs 1.45 ± 0.82 nmol/L, 6:30 Am: 1.53 ± 0.68 vs 1.83 ± 0.70 nmol/L, 7:30 Am: 0.72 ± 0.99 vs 1.31 ± 0.94 nmol/L, <i>P</i>-value of time < 0.001 and <i>P</i>-value of group = .002) were observed in children with obesity compared to the control. DHEA correlated negatively with waist circumference (r = -0.20, <i>P</i> < .05), body mass index-for-age(BMI-Z) (r = -0.21, <i>P</i> < .01), and weight (r = -0.25, <i>P</i> < .01). DHEA showed a positive correlation with the cortisol area under the curve (r = 0.29, <i>P</i> = .002). Food addiction was positively correlated with waist circumference (r = 0.21, <i>P</i> < .01), BMI-Z (r = 0.22, <i>P</i> < .01), body weight (r = 0.20, <i>P</i> < .05), total energy intake (r = 0.20, <i>P</i> < .05), and lipids (r = 0.24, <i>P</i> < .01).</p><p><strong>Conclusion: </strong>Children with obesity showed lower concentrations of salivary cortisol and DHEA and higher food addiction compared to control children. These changes may contribute to the development of chronic diseases over time.</p>","PeriodicalId":17334,"journal":{"name":"Journal of the Endocrine Society","volume":"9 3","pages":"bvaf011"},"PeriodicalIF":3.1000,"publicationDate":"2025-02-10","publicationTypes":"Journal Article","fieldsOfStudy":null,"isOpenAccess":false,"openAccessPdf":"https://www.ncbi.nlm.nih.gov/pmc/articles/PMC11808062/pdf/","citationCount":"0","resultStr":"{\"title\":\"Lower Cortisol and Dehydroepiandrosterone Sulfate and Higher Food Addiction in Childhood Obesity: Associations With Stress and Dietary Parameters.\",\"authors\":\"Rúbia Cartaxo Squizato de Moraes, Thallyta Alanna Ferreira Viana, Joicy Karla Grangeiro Pereira, Paulo César Trindade da Costa, Davyson Barbosa Duarte, Lydiane de Lima Tavares Toscano, Manuel Francisco de Araújo Lima, Melyssa Kellyane Cavalcanti Galdino, Joelma Rodrigues de Souza, Francisco Antônio de Oliveira Júnior, Adélia da Costa Pereira de Arruda Neta, José Luiz de Brito Alves, Vinícius José Baccin Martins\",\"doi\":\"10.1210/jendso/bvaf011\",\"DOIUrl\":null,\"url\":null,\"abstract\":\"<p><strong>Context: </strong>Obesity has been associated with changes in cortisol and dehydroepiandrosterone (DHEA) sulfate concentrations and increased stress levels and food addiction.</p><p><strong>Objectives: </strong>We explored changes in morning salivary cortisol and DHEA in childhood obesity and their associations with body composition, metabolic profile, food addiction, food consumption, and stress in a cross-sectional study.</p><p><strong>Methods: </strong>Children aged 7 to 12 years of both sexes were allocated into 2 groups according to body mass index-for-age: control group (n = 60) or obesity group (n = 98). Anthropometric, body composition, serum glucose, insulin, lipid profile, and DHEA were measured. Saliva was collected at different times to measure morning salivary cortisol concentrations. Food addiction, food consumption, and stress were assessed using questionnaires.</p><p><strong>Results: </strong>Lower DHEA [1.04 (0.87-1.25) ng/mL vs 1.65 (1.30-2.07) ng/mL, <i>P</i> = .002] and salivary cortisol (6:00 Am: 1.17 ± 0.89 vs 1.45 ± 0.82 nmol/L, 6:30 Am: 1.53 ± 0.68 vs 1.83 ± 0.70 nmol/L, 7:30 Am: 0.72 ± 0.99 vs 1.31 ± 0.94 nmol/L, <i>P</i>-value of time < 0.001 and <i>P</i>-value of group = .002) were observed in children with obesity compared to the control. DHEA correlated negatively with waist circumference (r = -0.20, <i>P</i> < .05), body mass index-for-age(BMI-Z) (r = -0.21, <i>P</i> < .01), and weight (r = -0.25, <i>P</i> < .01). DHEA showed a positive correlation with the cortisol area under the curve (r = 0.29, <i>P</i> = .002). Food addiction was positively correlated with waist circumference (r = 0.21, <i>P</i> < .01), BMI-Z (r = 0.22, <i>P</i> < .01), body weight (r = 0.20, <i>P</i> < .05), total energy intake (r = 0.20, <i>P</i> < .05), and lipids (r = 0.24, <i>P</i> < .01).</p><p><strong>Conclusion: </strong>Children with obesity showed lower concentrations of salivary cortisol and DHEA and higher food addiction compared to control children. These changes may contribute to the development of chronic diseases over time.</p>\",\"PeriodicalId\":17334,\"journal\":{\"name\":\"Journal of the Endocrine Society\",\"volume\":\"9 3\",\"pages\":\"bvaf011\"},\"PeriodicalIF\":3.1000,\"publicationDate\":\"2025-02-10\",\"publicationTypes\":\"Journal Article\",\"fieldsOfStudy\":null,\"isOpenAccess\":false,\"openAccessPdf\":\"https://www.ncbi.nlm.nih.gov/pmc/articles/PMC11808062/pdf/\",\"citationCount\":\"0\",\"resultStr\":null,\"platform\":\"Semanticscholar\",\"paperid\":null,\"PeriodicalName\":\"Journal of the Endocrine Society\",\"FirstCategoryId\":\"1085\",\"ListUrlMain\":\"https://doi.org/10.1210/jendso/bvaf011\",\"RegionNum\":0,\"RegionCategory\":null,\"ArticlePicture\":[],\"TitleCN\":null,\"AbstractTextCN\":null,\"PMCID\":null,\"EPubDate\":\"2025/2/4 0:00:00\",\"PubModel\":\"eCollection\",\"JCR\":\"Q2\",\"JCRName\":\"ENDOCRINOLOGY & METABOLISM\",\"Score\":null,\"Total\":0}","platform":"Semanticscholar","paperid":null,"PeriodicalName":"Journal of the Endocrine Society","FirstCategoryId":"1085","ListUrlMain":"https://doi.org/10.1210/jendso/bvaf011","RegionNum":0,"RegionCategory":null,"ArticlePicture":[],"TitleCN":null,"AbstractTextCN":null,"PMCID":null,"EPubDate":"2025/2/4 0:00:00","PubModel":"eCollection","JCR":"Q2","JCRName":"ENDOCRINOLOGY & METABOLISM","Score":null,"Total":0}
引用次数: 0

摘要

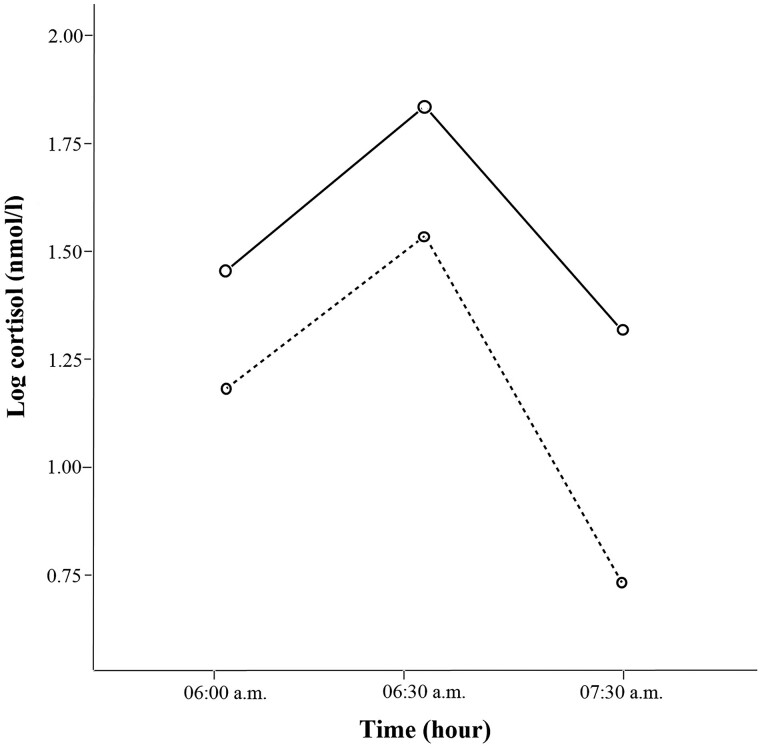
背景:肥胖与皮质醇和脱氢表雄酮(DHEA)硫酸盐浓度的变化、压力水平的增加和食物成瘾有关。目的:在一项横断面研究中,我们探讨了儿童肥胖患者早晨唾液皮质醇和脱氢表雄酮的变化及其与身体成分、代谢特征、食物成瘾、食物消耗和压力的关系。方法:将7 ~ 12岁的男女儿童按年龄体重指数分为对照组(60例)和肥胖组(98例)。测量了人体测量、身体成分、血清葡萄糖、胰岛素、血脂和脱氢表雄酮。在不同的时间收集唾液来测量早晨唾液皮质醇的浓度。通过问卷调查对食物成瘾、食物消耗和压力进行了评估。结果:肥胖儿童DHEA [1.04 (0.87-1.25) ng/mL vs 1.65 (1.30-2.07) ng/mL, P = 0.002]和唾液皮质醇(6:00 Am: 1.17±0.89 vs 1.45±0.82 nmol/L, 6:30 Am: 1.53±0.68 vs 1.83±0.70 nmol/L, 7:30 Am: 0.72±0.99 vs 1.31±0.94 nmol/L,时间P值< 0.001,组P值= 0.002)低于对照组。DHEA与腰围(r = -0.20, P < 0.05)、年龄体质指数(BMI-Z) (r = -0.21, P < 0.01)、体重(r = -0.25, P < 0.01)呈负相关。DHEA与皮质醇曲线下面积呈正相关(r = 0.29, P = 0.002)。食物成瘾与腰围(r = 0.21, P < 0.01)、BMI-Z (r = 0.22, P < 0.01)、体重(r = 0.20, P < 0.05)、总能量摄入(r = 0.20, P < 0.05)、血脂(r = 0.24, P < 0.01)呈正相关。结论:肥胖儿童唾液皮质醇和脱氢表雄酮浓度较低,食物成瘾程度较高。随着时间的推移,这些变化可能导致慢性疾病的发展。
本文章由计算机程序翻译,如有差异,请以英文原文为准。

Lower Cortisol and Dehydroepiandrosterone Sulfate and Higher Food Addiction in Childhood Obesity: Associations With Stress and Dietary Parameters.

Lower Cortisol and Dehydroepiandrosterone Sulfate and Higher Food Addiction in Childhood Obesity: Associations With Stress and Dietary Parameters.

Lower Cortisol and Dehydroepiandrosterone Sulfate and Higher Food Addiction in Childhood Obesity: Associations With Stress and Dietary Parameters.

Lower Cortisol and Dehydroepiandrosterone Sulfate and Higher Food Addiction in Childhood Obesity: Associations With Stress and Dietary Parameters.

Context: Obesity has been associated with changes in cortisol and dehydroepiandrosterone (DHEA) sulfate concentrations and increased stress levels and food addiction.

Objectives: We explored changes in morning salivary cortisol and DHEA in childhood obesity and their associations with body composition, metabolic profile, food addiction, food consumption, and stress in a cross-sectional study.

Methods: Children aged 7 to 12 years of both sexes were allocated into 2 groups according to body mass index-for-age: control group (n = 60) or obesity group (n = 98). Anthropometric, body composition, serum glucose, insulin, lipid profile, and DHEA were measured. Saliva was collected at different times to measure morning salivary cortisol concentrations. Food addiction, food consumption, and stress were assessed using questionnaires.

Results: Lower DHEA [1.04 (0.87-1.25) ng/mL vs 1.65 (1.30-2.07) ng/mL, P = .002] and salivary cortisol (6:00 Am: 1.17 ± 0.89 vs 1.45 ± 0.82 nmol/L, 6:30 Am: 1.53 ± 0.68 vs 1.83 ± 0.70 nmol/L, 7:30 Am: 0.72 ± 0.99 vs 1.31 ± 0.94 nmol/L, P-value of time < 0.001 and P-value of group = .002) were observed in children with obesity compared to the control. DHEA correlated negatively with waist circumference (r = -0.20, P < .05), body mass index-for-age(BMI-Z) (r = -0.21, P < .01), and weight (r = -0.25, P < .01). DHEA showed a positive correlation with the cortisol area under the curve (r = 0.29, P = .002). Food addiction was positively correlated with waist circumference (r = 0.21, P < .01), BMI-Z (r = 0.22, P < .01), body weight (r = 0.20, P < .05), total energy intake (r = 0.20, P < .05), and lipids (r = 0.24, P < .01).

Conclusion: Children with obesity showed lower concentrations of salivary cortisol and DHEA and higher food addiction compared to control children. These changes may contribute to the development of chronic diseases over time.

求助全文
通过发布文献求助,成功后即可免费获取论文全文。 去求助
来源期刊
Journal of the Endocrine Society
Journal of the Endocrine Society Medicine-Endocrinology, Diabetes and Metabolism
CiteScore
5.50
自引率
0.00%
发文量
2039
审稿时长
9 weeks
×
引用
GB/T 7714-2015
复制
MLA
复制
APA
复制
导出至
BibTeX EndNote RefMan NoteFirst NoteExpress
×
提示
您的信息不完整,为了账户安全,请先补充。
现在去补充
×
提示
您因"违规操作"
具体请查看互助需知
我知道了
×
提示
确定
请完成安全验证×
copy
已复制链接
快去分享给好友吧!
我知道了
右上角分享
点击右上角分享
0
联系我们:info@booksci.cn Book学术提供免费学术资源搜索服务,方便国内外学者检索中英文文献。致力于提供最便捷和优质的服务体验。 Copyright © 2023 布克学术 All rights reserved.
京ICP备2023020795号-1
ghs 京公网安备 11010802042870号
Book学术文献互助
Book学术文献互助群
群 号:604180095
Book学术官方微信